ŞEHİR Mimarlık Tasarım Profile picture
Aug 17, 2018 7 tweets 7 min read Read on X
"Sahibinin özçabası ile üretilecek konut birimi önerisi".20 m2 ve ahşap.Turgut Cansever ve Emine Öğün 1999 depremlerinden etkilenen aileler için müthiş bir sorumluluk duygusuyla hazırlamışlardı."Ufkî Şehir" [bit.ly/2wenqbb], Video [bit.ly/2w7bnwa]
#17Agustos1999 ImageImageImageImage
[1] Kesitler

"Turgut Cansever Mimarlık Ltd. / mimar Emine Öğün / ölçek: 1/50 / 22.11.1999"

Sahibinin Öz Çabası ile Üretilecek Konut Birimi Önerisi'nin üzerine "ücretsizdir" damgası basılmış ve Akyazı'ya gönderilmişti. Bu tweet dizisinde projenin ayrıntılarını bulacaksınız. ImageImage
[2] Planlar ve Görünüşler

"21.61 m2 dıştan dışa brüt alan / 12.82 m2 ranzalı altı kişilik oda / 2.62 m2 mutfakçık / 1.48 m2 wc-tuvalet" ImageImageImageImage
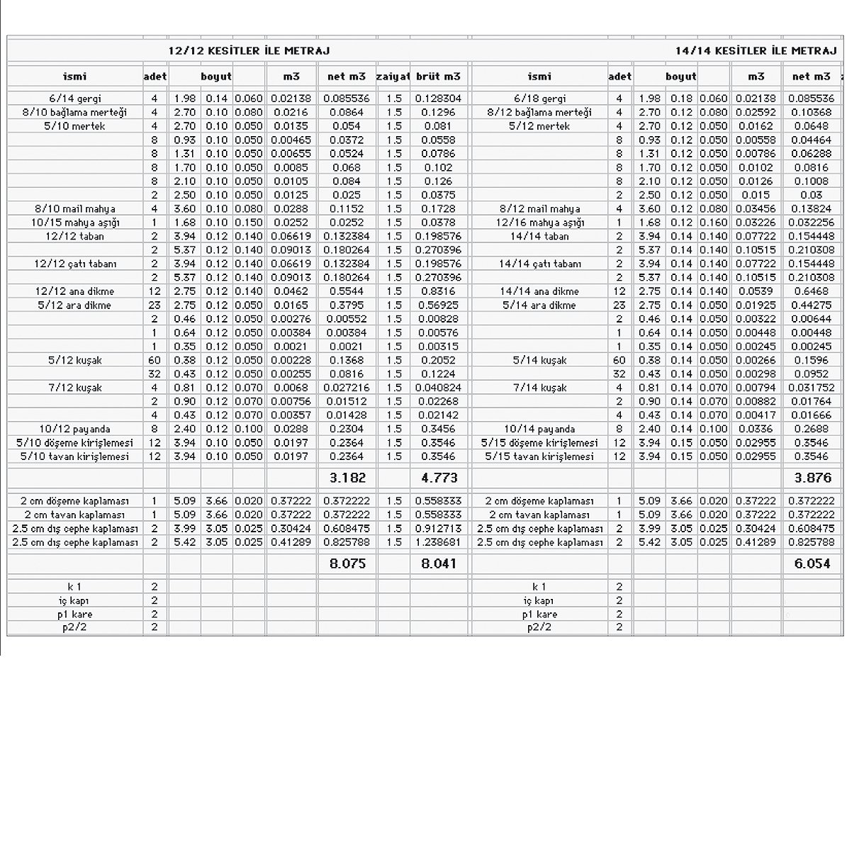
[3] Metraj

Malzeme ve maliyet hesabı. İki ihtimalli olarak hesaplanmış. 12x12 cm kesitli ya da 14x14 cm kesitli ahşap kullanımına göre.. ImageImageImageImage
[4] Ahşap Karkas Montaj Süreci

Mimarlar, depremzedeler için 12 aşamalı olarak ahşap karkas montaj sürecini çizmişler. Bu basit ve sade bilgi, kendisi için "ahşap ev", "küçük ev", "yazlık", "köy evi", "hobi evi" yapmak isteyen bir çok kişinin ilgisini çekebilir. İlk dört aşaması: ImageImageImageImage
[5] Ahşap Karkas Montaj Süreci

Sürecin 5, 6, 7 ve 8. aşamaları:"Ana dikmeler ile payandaların yerleşmesi ile birlikte çatı tabanları da yerleştirilecek ve yapının gönyede ve düşey dikmelerin şakülünde olması kontrol edilip sağlanacaktır","tavan kirişleri yerlerine yerleşecektir" ImageImageImageImage
[6] Ahşap Karkas Montaj Süreci

9, 10, 11 ve 12. aşamalar: "Pencere, kapı kasaları yerlerine takılacak", "...yapının üstü kiremit vs su geçirmez bir malzeme ile örtülecektir". ImageImageImageImage

• • •

Missing some Tweet in this thread? You can try to force a refresh
 

Keep Current with ŞEHİR Mimarlık Tasarım

ŞEHİR Mimarlık Tasarım Profile picture

Stay in touch and get notified when new unrolls are available from this author!

Read all threads

This Thread may be Removed Anytime!

PDF

Twitter may remove this content at anytime! Save it as PDF for later use!

Try unrolling a thread yourself!

how to unroll video
  1. Follow @ThreadReaderApp to mention us!

  2. From a Twitter thread mention us with a keyword "unroll"
@threadreaderapp unroll

Practice here first or read more on our help page!

Did Thread Reader help you today?

Support us! We are indie developers!


This site is made by just two indie developers on a laptop doing marketing, support and development! Read more about the story.

Become a Premium Member ($3/month or $30/year) and get exclusive features!

Become Premium

Don't want to be a Premium member but still want to support us?

Make a small donation by buying us coffee ($5) or help with server cost ($10)

Donate via Paypal

Or Donate anonymously using crypto!

Ethereum

0xfe58350B80634f60Fa6Dc149a72b4DFbc17D341E copy

Bitcoin

3ATGMxNzCUFzxpMCHL5sWSt4DVtS8UqXpi copy

Thank you for your support!

Follow Us!

:(