My Authors
Read all threads
It's a Saturday, and the accounts whose recent tweets linking ZeroHedge have garnered the most retweets are @freezerohedge, which pretty much does nothing but spam ZeroHedge, and @StormIsUponUs, a #QAnonsense account that doesn't know what "terrorist" means.

cc: @ZellaQuixote
Despite the single-minded fixation on linking ZeroHedge, the @freezerohedge account may not actually be automated; tweets are mostly posted via a mix of the Android app and the Twitter website. Interestingly, the tweet schedule does not match the U.S. day/night cycle.
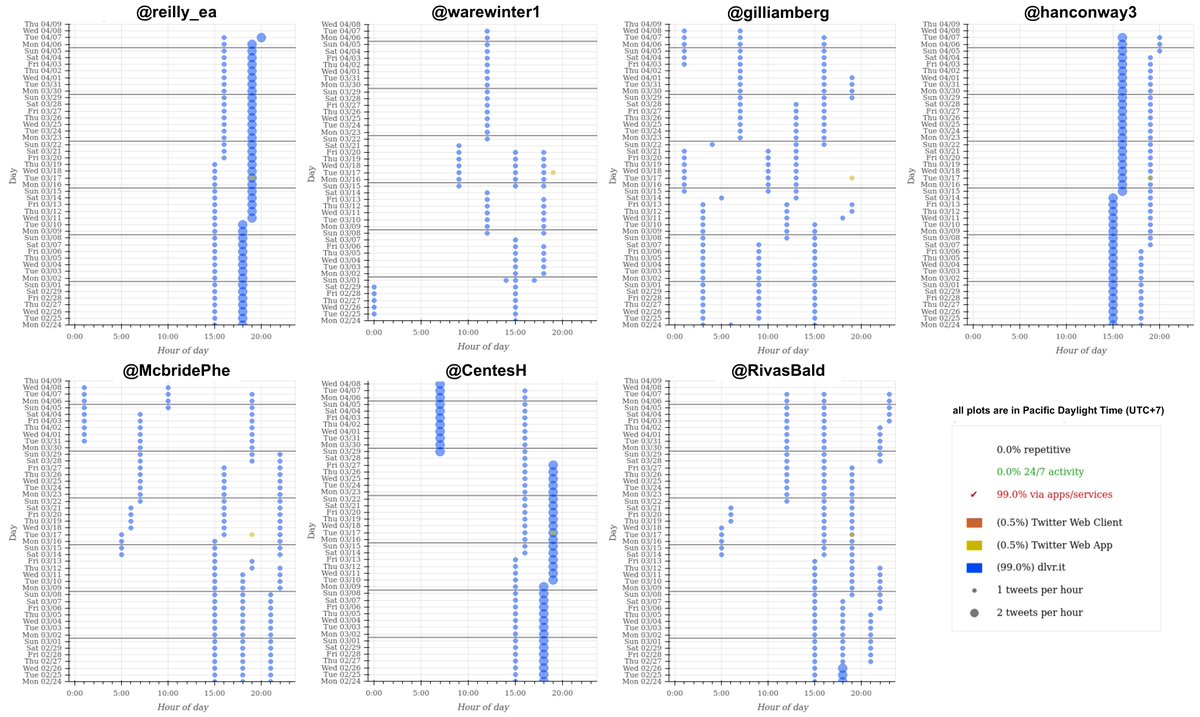
(that being said, there are a bunch of high-volume bots that spam ZeroHedge links. . .)
Missing some Tweet in this thread? You can try to force a refresh.

Enjoying this thread?

Keep Current with Conspirador Norteño

Profile picture

Stay in touch and get notified when new unrolls are available from this author!

Read all threads

This Thread may be Removed Anytime!

Twitter may remove this content at anytime, convert it as a PDF, save and print for later use!

Try unrolling a thread yourself!

how to unroll video

1) Follow Thread Reader App on Twitter so you can easily mention us!

2) Go to a Twitter thread (series of Tweets by the same owner) and mention us with a keyword "unroll" @threadreaderapp unroll

You can practice here first or read more on our help page!

Follow Us on Twitter!

Did Thread Reader help you today?

Support us! We are indie developers!


This site is made by just three indie developers on a laptop doing marketing, support and development! Read more about the story.

Become a Premium Member ($3.00/month or $30.00/year) and get exclusive features!

Become Premium

Too expensive? Make a small donation by buying us coffee ($5) or help with server cost ($10)

Donate via Paypal Become our Patreon

Thank you for your support!