MacroBS Profile picture
Sep 16, 2020 16 tweets 2 min read Read on X
Так, унда бошлаймиз.

Китобнинг номи - "Савдо урушлари – синфлар уруши". Савдо уруши тушунарли – ҳаммамиз кўриб, эшитиб турган АҚШ ва Хитой ўртасидаги уруш. Лекин, синфлар урушичи? 1/16
Китобнинг бош мавзуси давлатлар ўртасидаги савдодаги низоларнинг бош сабаби – бу ишлаб чиқариш ҳаражатлари ўртасидаги фарқ ёки геополитик келишмовчиликлар эмас, балки даромадлар тақсимланишидаги тенгсизлик ортидан пайдо бўлган жамғармалар дисбаланси ўртасидаги тафовутдир. 2/16
Авторлар фикрича, савдо урушлари савдодаги дисбаланс – яъни бир давлат бошқа давлатга нисбатан кўпроқ экспорт қилиши туфайли мавжуд.

Нима учун савдода дисбаланс мавжуд? 3/16
Сабаби давлатлар ичида даромадлар шундай тақсимланганки, ишчилар, ўрта синф вакиллари ўзлари ишлаб чиқарган маҳсулотни истеъмол қила олмайди. Натижада ортиқча ишлаб чиқариш четга чиқарилади ва бошқа давлатлар ўзининг даромадига нисбатан кўпроқ истеъмол қилишга "мажбурланади"4/16
Савол туғилиши мумкин – нима қилибди агар бир давлат савдо баланси профицит бўлса, иккинчи давлат дефицитда бўлса деб?

Катта дефицит ёки профицит ўз-ўзича яхши ҳам, ёмон ҳам эмас. Бундай дисбаланснинг ҳам “яхши” ва “ёмон” кўрииниши бор. 5/16
“Яхши дисбаланс” бой ёки профицит давлатлардан жамғармани ривожланаётган давлатлар томон йўналтириб, уларнинг яшаш стандартини оширади. Бунга мисол қилиб, тарихда АҚШ, Жанубий Корея. Норвегия каби давлатларнинг ривожланишини келтириши мумкин. 6/16
Шу билан бирга жамғарма ёмон ҳам бўлиши мумкин. Муаллифлар иддао қилишича бугунги вазият унинг “ёмон” кўриниши ҳисобланади ва бу ҳолатни 19-асрнинг охирлари ва 20-асрнинг бошларида Евпропада кузатилган вазиятга ўхшатадилар. 7/16
Ўша пайтда Европанинг бой давлатларидаги даромадлар тақсимланишидаги кескин фарқ натижасида ишчилар ўзлари яратган маҳсулотни истеъмол қила олмайди.

Ўз навбатида бойлар катта капиталга эга, бироқ капитални ишлатиш учун ичкарида етарли инвестиция лойиҳаларга эга бўлмайди. 8/16
Агар истеъмолчилар товар ва хизматларни сотиб олишга қурби етмаса унда янги завод, фабрика қуришдан фойда йўқ. Даромадлар тенгроқ тақсимланганда, аҳоли нарсаларни сотиб олган, бойлар капиталини ишлатган ва ундан даромад олган бўларди.

Бироқ элита бундай йўлни рад этади. 9/16
Шу билан бирга улар ишсизлик даражасини юқорилашидан ва буни революцияга олиб келиши мумкинлигидан қўрқишади. Натижада ечим сифатида ортиқча ишлаб чиқаришни ташқи бозорга олиб чиқишни афзал деб билишади. 10/16
Шу ҳолат ўтган асрнинг бошларидаги империалистик ҳаракатларнинг асосида ётган асосий мотив сифатида қайд этилади. Ачинарлиси бу ҳолат биринчи жаҳон уруши билан якунига етади.

Демак мазкур жараёнларнинг боғлиқлик занжири қуйидагича: 11/16
Даромад тақсимотидаги юқори тенгсизлик => одамлар томонидан истеъмолнинг пастлиги ва элита томонидан ортиқча жамғарманинг пайдо бўлиши => капиталнинг экспорти яъни инвестиция қилиш учун янги макон қидириши => колония ва империализм => Уруш. 12/16
Авторлар хавфсирашича худди ўтган асрдаги сингари бугунги кундаги АҚШ, Хитой ва Европа (асосан Германия) ўртасидаги вазият урушгача бормасада ўта жиддийлашиши мумкин. Қайсидир маънода улар дунёни огоҳликка чақиришмоқда. 13/16
Лекин, қизиқ томони мазкур аргумент иқтисодий тарихчилар томонидан рад этилган. Яъни, бир марталик гигант воқеа-ходисаларни “умумий қонуниятга” солиш нотўғри эканлиги ва юқоридаги боғлиқлик занжирида муаммо борлиги таъкидланади.

Бироқ, китоб мазкур ғоя устига қурилган. 14/16
Хулоса қилиб айтганда, бугунги савдо уруши - Хитой ва Германия ичидаги синфлар - даромадларнинг ишчилар ва ўрта синфдан бойлар томон тақсимланишинг натижасидир. Агар муаммони ҳал қилмоқчи бўлсак, икки томонлама қўйиладиган тарифлар ёрдам бермайди. 15/16
Бунинг учун Хитой ва Германиянинг ички сиёсатида ўзгариш қилиш керак бўлади. Муаммо глобал, ечим эса локал. 16/16

• • •

Missing some Tweet in this thread? You can try to force a refresh
 

Keep Current with MacroBS

MacroBS Profile picture

Stay in touch and get notified when new unrolls are available from this author!

Read all threads

This Thread may be Removed Anytime!

PDF

Twitter may remove this content at anytime! Save it as PDF for later use!

Try unrolling a thread yourself!

how to unroll video
  1. Follow @ThreadReaderApp to mention us!

  2. From a Twitter thread mention us with a keyword "unroll"
@threadreaderapp unroll

Practice here first or read more on our help page!

More from @the_MacroBS

Sep 26, 2025
Ўзимни қуйидаги саволларга 2 центлик фикрларим:
1. Ортиқча пул резерв, уни бошқариш Марказий банк функциясидан бири. Нимага бу пулларни иқтисодни ривожлантиришга сарфламайди? Оддий бўлса ҳам жавоб - бу Марказий банкнинг функцияси эмас.
2. Иқтисодиётни ривожлантириш учун алоҳида суверен фонд (жамғарма) бор. Шу орқали деярли ҳар йили давлат банклари устав капиталига пуллар киритилади. Бу ишларни самарадорлигини жуда юқори деб айтиш қийин.
3. 23-25% пулнинг бозор нархи. Пул нархини пулни кўпайтириш билан тушириб бўлмайди. Бозордаги ставкалар бугунги кунда макроиқтисодий дисбаланс оқибати, монетар сиёсатнинг эмас.
Read 4 tweets
Dec 27, 2023
Замоннинг энг яхши иқтисодчиларидан бири Роберт Солоу ҳам оламдан ўтибди.

У бугун иқтисод фанидаги кам учрайдиган - оддий ва жуда муҳим иқтисодий ўсиш моделининг яратувчиси эди.

Солоу-Свон деб номланувчи ушбу модел учун Солоу Нобел мукофотига лойиқ кўрилган.

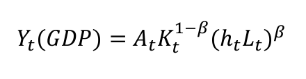
Шу ҳақида🧵1/n Image
Модел шу даражада универсалки, исталган давлатнинг иқтисодий ўсиш траекториясини шу орқали тушунтириш мумкин.

Ишлаб чиқариш (ЯИМ) 3 факторнинг ўзгариши орқали ифода этилади:
1) К - капитал (техника, ускуна, бино, иншоот)
2) L - ишчи кучи
3) А - технологик прогресс. Image
Энг муҳим саволлар – нима учун давлатлар ривожланиш даражаси ўртасида кескин фарқлар мавжуд?
Нега II жаҳон урушидан cўнг Япония/Германия кескин ривожланишни бошлади?
Нега Хитой сўнгги 30-40 йилда бошқа давлатларни қувиб келяпти? Хитойдаги мазкур юқори ўсиш яна давом этадими?
Read 11 tweets
Dec 26, 2023
Умуман олганда яхши мавзу кўтарилган. Иккита фикр берилган:
1. Одамлар бойлик (Беҳзод)
2. Ғарбдаги бугунги ривожланишга туғилиш суръатининг камайиши сабаб бўлган (тадқиқотга асосланиб - Элдар ака).
Бу масала қуйидаги китобда яхши муҳокама қилинган. Тушунтиришга уринаман 1/n
Image
Давлатлар ва умуман дунё ривожланишига назар солинса, иқтисодий ҳолат яхшиланиши билан туғилиш даражаси (фертильност) тушиб боради.
Бу эмпирик факт. Бугунги кунда айрим давлатларда (Япония, Корея) ушбу кўрсаткич негатив - яъни йилдан йилга аҳоли сони камайиб боряпти. Image
Бу ерда иккита саволни ажратиб олиш керак. 1-чиси бугунги кундаги иқтисодий ўсишда аҳоли ўсишининг роли қандай?
2-савол ғарбдаги 19-20 асрларда кузатилган юқори иқтисодий ўсишда аҳоли ўсиш суратининг камайиши қандай рол ўйнаган? (Элдар ака кўтарган масала)
Read 16 tweets
Feb 15, 2023
Шу бўйича 2 центлик қўшимча фикрлар🧵:
Миср, Покистон, Ливан, Аргентина каби давлатлар муаммолари фоиз ставкалар кўтарилишидан бошланди.

Кўпчилиги тўлов балансидаги инқирозга учраган - импортга, қарзни тўлашга валюта (доллар) йўқ ёки етмайди. 1/n

Айтилганидек, умумий маҳраж бор ва бу ривожланаётган давлатлар доимий кассалиги. Уларни қуйидаги макро факторлар бирлаштиради:
-халқаро валютада қарз олиш
-юқори бюджет дефицити
-савдо балансдаги дефицит (импорт экспортдан кўп)
-юқори инфляция
-курсни ушлаб туришга уриниш
Юқоридаги макроиқтисодий ҳолатларга алоҳида феномен сифатида ном берилган - classic-emering market problems. Сабаби бу муаммо ривожланаётган давлатларга хос ва асосан улар бошдан кечиради.
Read 15 tweets
Jan 27, 2023
Китоб ўқишни яхши бир тарафи у ёки бу ғояларни мавжуд билимлар билан таққослаш, савол остига олиш ва ўзинг билан баҳслашиш имконияти бор.

Масалан, “Пул психологияси”ни ўқишда қизиқ бир савол пайдо бўлди ва жавоб қидиришда яхши бир тадқиқотга кўзим тушди. 🧵1/n
Аввал молия, кейин иқтисодни ўқиганим учун бир савол қизиқтирарди:
Нега шу ва шунга ўхшаш пул, инвестиция билан боғлиқ кенг ўқувчига мўлжалланган китобларда ёзилган нарсалар тўғрисида иқтисодчилар ёзишмайди ёки кам ёзишади?
Нима учун иқтисодчилар оддий одамларнинг пулни бошқариш борасидаги хатти-харакатлари устида унчалик ҳам бош қотирмайди?

Ёки шунчалик аҳамиятсизми ушбу савол?
Read 18 tweets
Jan 3, 2023
Макроиқтисодиёт билан боғлиқ жорий йил учун кутилаётган айрим тезислар:
1. Монетар сиёсат қаттиқлашиб боради. Халқаро бозорда капитал қимматлашади. Бу жараён 2022 йилда аллақачон бошланган бўлсада, 2023 йилда ҳам давом этади.
1/n
Бизга ўхшаган давлатлар учун қарз олиш нуқтаи назардан яхши ҳолат эмас бу. АҚШда фоиз ставка (Fed rate) йил охирига келиб 5%гача кўтарилиши фонида, халқаро капитал бозордан қарз олиш 3-4% премиум бериш талаб қилинади.
Иқтисодиёт 5-6% ўсиб турган шароитда, 8-9%дан қарз олиш яхши қарор бўлмайди.

Буни ижобий томони ҳам бор - қарз олиш иштаҳаси ортга сурилади.
Read 8 tweets

Did Thread Reader help you today?

Support us! We are indie developers!


This site is made by just two indie developers on a laptop doing marketing, support and development! Read more about the story.

Become a Premium Member ($3/month or $30/year) and get exclusive features!

Become Premium

Don't want to be a Premium member but still want to support us?

Make a small donation by buying us coffee ($5) or help with server cost ($10)

Donate via Paypal

Or Donate anonymously using crypto!

Ethereum

0xfe58350B80634f60Fa6Dc149a72b4DFbc17D341E copy

Bitcoin

3ATGMxNzCUFzxpMCHL5sWSt4DVtS8UqXpi copy

Thank you for your support!

Follow Us!

:(