M. Ridha Intifadha Profile picture
Sep 21, 2020 16 tweets 5 min read Read on X
Mereka yang Mulai Kelelahan

Hari ini saya berdiskusi dg salah seorang penyuluh kesehatan masyarakat di DKI Jakarta

Penyuluh kesehatan ini memang tdk bergerak di ranah medis spt di RS atau Lab. Mereka langsung berinteraksi dg masyarakat—mengingatkan protokol kesehatan

{UTAS}
Mereka mungkin terjun bersama pejabat wilayah, Satpol PP atau pihak berwenang lainnya.

Tekanan mental hampir selalu terjadi setiap ada penolakan ataupun ekspresi ketidakpedulian atas anjuran 3M.

Lelah? Ya. Mereka mengaku lelah dan juga sedih
Dan jangan salah. Mereka juga punya risiko terpapar karena terjun ke masyarakat dan melakukan upaya contact tracing

Ditambah harus melatih kesabaran saat berhadapan dg masyarakat yg belum sepenuhnya patuh (atau mungkin memahami) pentingnya protokol kesehatan
Di sisi lain, setiap mereka kembali ke Puskesmas dan masuk ke ruangan UKM (Unit Kesehatan Masyarakat). Mereka kadang membantu surveilans untuk memasukkan (input) seluruh data terkait pandemi COVID-19

Surveilans inilah yang sejatinya membantu pemerintah dalam merumuskan kebijakan
Surveilans sendiri mulai kelelahan. Berada di hadapan layar seharian, memastikan data yg diinput itu tepat, bahkan terkadang di akhir pekan masih harus berkutat membereskan data yg menumpuk

Tapi masalahnya bkn hanya di jumlah tenaga surveilans atau penyuluh kesehatan yg kurang
“Per hari, input itu bisa mencapai ratusan. Bukan hanya satu jenis, tapi bisa 5-6 jenis. Sumber daya terbatas dan sekarang mulai pada sakit, kelelahan”

Begitu yang saya dengar dari Penyuluh Kesahatan tsb. Kata kuncinya pada 5-6 jenis inputan itu.
Jadi gini

Perlu disadari bersama bhw banyaknya jenis input itu tdk terlepas dari brbagai jenis formulir (platform) yg ada di berbagai jenjang

Mulai dari pemerintah daerah sampai pemerintah pusat punya format pengisian masing2. Apalagi ketika ada pendefinisian yg berubah. Eh 🤫
Artinya? Sistem kesehatan kita blm terintegrasi dg baik. Sebagian dari kita mungkin menyadari bahwa data yg disajikan Pemerintah Pusat dan Daerah itu setiap harinya terus menghasilkan gap yg makin lebar

Mungkin mas @aik_arif maupun @firdzaradiany bisa menjelaskan khusus soal ini
Dampak sistem yg tdk terintegrasi ini terlihat dari kelelahan para surveilans.

Di akhir pekan, kadang mereka harus membawa pulang dokumen mentah untuk memastikan kembali hasil input mereka benar-benar sesuai.
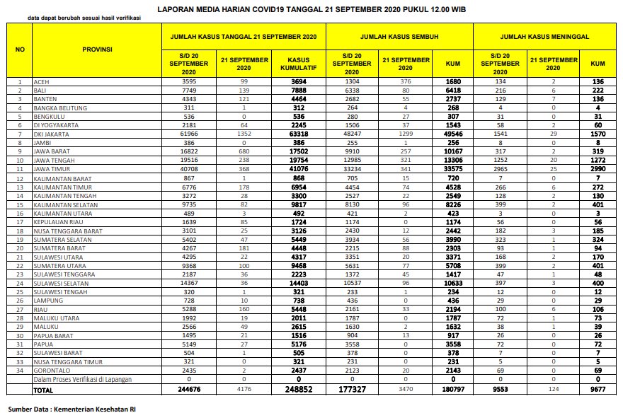
Di DKI Jakarta saja, kita kadang mendapati jumlah kasus laporan harian yg meningkat itu adalah hasil input dari beberapa hari terakhir.

Contoh:
m.liputan6.com/news/read/4275…
Kalau kita lihat dokumen mentah dari DKI Jakarta seperti diunduh melalui situs …dki-jakarta-jakartagis.hub.arcgis.com

Kita mendapati ada sekitar 17.745 data yg masih menjalani proses update utk dimasukkan ke data Kec, Kel, atau Luar Jakarta.

Backlog pendataan masih menjadi PR tersendiri 😞
Melalui utas ini, saya hanya ingin menyatakan tenaga kesehatan yg mulai kelelahan itu

Bukan hanya garda pertahanan terakhir (dokter, perawat, pranata Lab, dsb),

Bukan hanya petugas pengantaran melalui ambulans

Bukan hanya tenaga pemulasaraan, pemakaman
Tapi juga pada Surveilans yg berada di balik layar, memberikan data dg sebenar2nya agar pemerintah bahkan kita semua bisa menganalisisnya

dan Penyuluh Kesehatan yg terjun langsung ke masy utk membangun kebiasaan baru melalui 3M dan contact tracing

Akhirul Kalam
Wallahu A’lam
1. Brp hari gap input data di DKI?

Kita bisa melihat waktu cutoff input pendataan sblm disebar ke publik

Rekap dokumen mentah dr Pemprov diunggah setiap pukul 10:00 pagi

Sedangkan utk laporan ke media yg dilakukan oleh Pemerintah Pusat, waktu cutoff terlihat pukul 12:00 😬 ImageImage
2. Petugas input data ini "siapa"?

Saya berpikir petugas entry data sudah ada di Puskesmas sebelumnya. Dan sekarang ditambah relawan yang baru saja direkrut akhir bulan lalu

Tapi tetep saja, menurut diskusi yg saya lakukan, jumlah itu masih kurang Image
Untuk dua pertanyaan lainnya, yaitu

- apakah "tabel formulirnya sama" antar pusat+daerah?
- bagaimana sistem quality control / audit datanya?

saya harus konfirmasi lebih lanjut dan melanjutkan diskusi kembali insyaAllah

Tapi saya meyakini tabelnya pasti ada perbedaan 😬

• • •

Missing some Tweet in this thread? You can try to force a refresh
 

Keep Current with M. Ridha Intifadha

M. Ridha Intifadha Profile picture

Stay in touch and get notified when new unrolls are available from this author!

Read all threads

This Thread may be Removed Anytime!

PDF

Twitter may remove this content at anytime! Save it as PDF for later use!

Try unrolling a thread yourself!

how to unroll video
  1. Follow @ThreadReaderApp to mention us!

  2. From a Twitter thread mention us with a keyword "unroll"
@threadreaderapp unroll

Practice here first or read more on our help page!

More from @RidhaIntifadha

Oct 26, 2024
Iklan judi online ini sebelumnya marak di YouTube khususnya pemain game yang bermain secara live dan membuka donasi/saweran.

Sempat juga hadir sebagai iklan video di beberapa platform. Sekarang masuk ke TikTok, whatsapp, dsb.

Harusnya bisa pakai metode “follow the money” untuk mengetahui dari manakah uang itu semua bermuara dan siapa orang di baliknya.
Saya khawatir Judi Online ini dianggap sebagai masalah individu aja. Masalah personal yg tdk menjadi political will secara struktural.

Padahal dampak dari Judi Online ini kan bisa jadi ke perekonomian nasional. Uang yg harusnya berputar di tengah masyarakat, justru lari ke luar
Dan kita tahu sendiri bahwa penopang paling besar pertumbuhan ekonomi kita adalah konsumsi rumah tangga. Yes, uang yang biasa kita pakai buat jajan sehari-hari.

Sebagian gaji kita itu bisa jadi sumber penghidupan bagi keluarga sebangsa.
Read 6 tweets
Oct 17, 2024
Tahu enggak sih kalau program pascasarjana UI itu sebelumnya memang terpisah seolah jadi fakultas sendiri. Warna makaranya tuh coklat.

Namun sejak 1999, terdapat kebijakan agar mengembalikan pascarasarjana kembali ke fakultas sesuai rumpun keilmuannya masing-masing

Sayangnya…
Sayangnya, tidak semudah itu ferguso.

Ada beberapa jurusan di pascasarjana yang dianggap multidisipliner dan akhirnya tidak bisa kembali ke fakultas, khususnya yg bersifat kajian (study)

Ada kajian ilmu lingkungan, perkotaan, terorisme, ilmu kepolisian, wilayah, dsb.
Ah ya. Salah satu alasan program pascasarjana kembali ke fakultas masing2 itu sejatinya utk memudahkan administrasi, khususnya bagi dosen.

Misal. Kriminologi ada program magister dan doktor. Bisa tuh kembali ke FISIP. Penjadwalan utk mengajar dan kuliah juga akan lebih mudah
Read 13 tweets
Oct 2, 2024
Kalian tahu tidak sih...
Sejarah kata "santai" yg akhirnya jamak kita ucapkan hari ini?

Semua itu tdk terlepas dari peran jurnalis @tempodotco untuk mencari padanan kata "relax". Ternyata, santai diserap dari bahasa Komering di Sumatera Selatan

Kok bisa? Gimana kisahnya?
Jadi gini, pada tahun 1971, para penulis maupun wartawan kesulitan untuk mencari padanan kata "relax" dalam bahasa Indonesia.

Cara paling mudah memang cukup menuliskan "rileks". Sayangnya, tidak semua orang saat itu memahami maknanya sekaligus dirasa sulit dalam pengucapannya.
Nah...

Bur Rasuanto, novelis dan wartawan Tempo, memperkenalkan kata santai melalui artikelnya sebagai padanan kata Inggris 'relax' pada 1971.

Ah ya.. Bur Rasuanto juga merupakan penanggung jawab rubrik ekonomi majalah Tempo ketika itu
Read 13 tweets
Sep 29, 2024
Meski bnyk faktor kriminologis lainnya, kekerasan oleh remaja spt ini akan jauh berkurang saat kesejahteraan keluarganya meningkat.

Saya pernah mendampingi Anak yg berkonflik dg Hukum krn kasus senjata tajam. Sembari menangis, dia mengaku hanya ingin diperhatikan keluarganya...
Kasih sayang dan kehangatan yang ia sulit dapatkan di rumah, justru ditemukan dengan teman-temannya.

Mereka kerap nongkrong hingga berganti hari, tanpa pengawasan orang tua.

Bagaimana ceritanya?
Saat saya mewawancarainya di Kepolisian... Anak ini mengaku kurang dekat dengan ayahnya. Orang tuanya kerap bertengkar hingga bercerai hingga Anak tidak fokus belajar dan akhirnya tidak menamatkan SD.

Sejak itu, Anak itu tinggal bersama ibu dan saudara-saudara kandungnya.
Read 10 tweets
Aug 19, 2024
Barangkali ada yg bingung kenapa vonis hukuman 20 tahun, tapi kok baru menjalani penjara sekitar 8 tahun, Jessica Wongso bisa bebas bersyarat?

Jadi Narapidana tuh punya hak reintegrasi sosial setelah menjalani 2/3 masa pidananya.

Tapi bukannya 2/3 dari 20 tahun itu 13 tahunan?
Jadi gini… perlu diketahui kalau narapidana itu bisa berkurang masa hukumannya krn masa tahanan.

Masa tahanan: sejak ditangkap hingga vonis hakim

30 Januari 2016 ditangkap.
27 Oktober 2016 vonis.

Jadi vonis 20 tahun itu udh berkurang sekitar 9 bulan.

news.detik.com/berita/d-74956…
Terus bisa berkurang karena apa lagi?

Yup. Apalagi kalau bukan REMISI.

Remisi adalah pengurangan masa menjalani pidana yg diberikan kepada Narapidana yg memenuhi syarat-syarat yg ditentukan dlm peraturan perundang-undangan Image
Read 16 tweets
Jul 24, 2024
UPDATE KASUS DUGAAN BAHAN PENGAWET BERBAHAYA DI ROTI

Selasa kemarin (23/7), BPOM akhirnya merilis hasil uji lab terkait kandungan Natrium Dehidroasetat pada produk roti dua merek berbeda, yaitu Okko dan Aoka.

Jadi benarkah ada kandungan berbahaya tersebut?

UTAS Image
HASIL UJI LAB ROTI AOKA

28 Juni 2024, BPOM mengambil sampel produk roti Aoka dari peredaran dan melakukan pengujian.

Hasil pengujian menunjukkan produk tidak mengandung natrium dehidroasetat. Image
Nah, hasil uji tersebut sejalan dengan hasil inspeksi BPOM ke sarana produksi roti Aoka pada 1 Juli 2024.

Inspeksi menunjukkan tidak ditemukannya natrium dehidroasetat di sarana produksi.
Read 10 tweets

Did Thread Reader help you today?

Support us! We are indie developers!


This site is made by just two indie developers on a laptop doing marketing, support and development! Read more about the story.

Become a Premium Member ($3/month or $30/year) and get exclusive features!

Become Premium

Don't want to be a Premium member but still want to support us?

Make a small donation by buying us coffee ($5) or help with server cost ($10)

Donate via Paypal

Or Donate anonymously using crypto!

Ethereum

0xfe58350B80634f60Fa6Dc149a72b4DFbc17D341E copy

Bitcoin

3ATGMxNzCUFzxpMCHL5sWSt4DVtS8UqXpi copy

Thank you for your support!

Follow Us!

:(