Blue Canaries (Publius) Profile picture
Aug 5, 2021 17 tweets 8 min read Read on X
1. The inventor of the PCR test, Kary Mullis died of pneumonia on Aug 7, 2019. I think it's safe to say that he was no fan of Tony Fauci. Image
Image
Image
2. Mullis won a 1993 Nobel Prize in chemistry for developing a process of rapidly replicating DNA sequences...

Unfortunately, he would not live to see how his invention would be used during the CoV pandemic. Image
3. Known to not hold anything back, Mullis speaks about Tony Fauci in this interview (date unknown).
odysee.com/@Dryburgh:7/ka…
4. The transcripts of the clip can be found here:
dryburgh.com/kary-mullis-pc…
5. The Fauci/COVID-19 Dossier, compiled by Dr. David E. Martin is also located at the link above. Image
Image
Image
6. CDC patented (illegally) the detection of SARS-CoV using a number of methods including reverse transcript polymerase chain reaction (RT-PCR).
Reversed PCR test. Image
Image
7. "No later than April 11, 2005, Dr. Anthony Fauci was publicly acknowledging the association of SARS with bioterror potential." Image
Image
Image
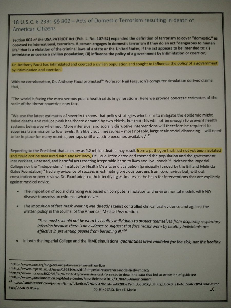
8. Acts of Domestic Terrorism resulting in the deaths of American Citizens, amongst other charges are documented next. Image
Image
9. It is all laid out. Image
Image
Image
10. Including market manipulation and interlocking directorates. Image
Image
11. Over 5,000 patents and patent applications have included references to ... SARS-CoV dating back to 1998. Image
Image
Image
12. And test kits - hundreds of millions were distributed in 2017 and 2018. Image
Image
13. But yet the CDC claims they developed their first lab test kits in early 2020. 🤔 Image
14. And they are using the FDA to control it all. Image
Image
Image
15. The narrative they came up with on who created the COVID PCR test. Image
Image
16. The outspoken Kary Mullis died ironically just before they unrolled their big presentation. Image
17. Fauci has been exposed over and over again. Crimes are well documented. We MUST demand that he is held accountable.

• • •

Missing some Tweet in this thread? You can try to force a refresh
 

Keep Current with Blue Canaries (Publius)

Blue Canaries (Publius) Profile picture

Stay in touch and get notified when new unrolls are available from this author!

Read all threads

This Thread may be Removed Anytime!

PDF

Twitter may remove this content at anytime! Save it as PDF for later use!

Try unrolling a thread yourself!

how to unroll video
  1. Follow @ThreadReaderApp to mention us!

  2. From a Twitter thread mention us with a keyword "unroll"
@threadreaderapp unroll

Practice here first or read more on our help page!

More from @CanariesBlue

Nov 30, 2025
🧵 Paulo Zampolli stated the idea of making Gaza a resort came to him after an "official" meeting in Israel 2016-17. At that time, Zampolli was the Dominican Ambassador for the UN. He also set up a lucrative resort deal on the small island of Dominica. Image
Image
Image
Image
2) 👉 Paulo Zampolli currently serves as the US Special Rep. for Global Partnerships, as well as on the Board @kencen.
He appears to be making his rounds all over the world for Pres. Trump, whom he has been a longtime friend, as well as a business partner at times. Image
Image
Image
Image
3) I found this on IG by aiglobalmark. 🤔 It's the account of Mark Minevich.

"Mark Minevich is a globally recognized AI strategist, investor, and UN advisor advancing AI innovation and AI-first digital transformation."
I found the complete comment he wrote about 7 years ago... Image
Image
Image
Image
Read 9 tweets
Sep 14, 2025
The GREAT* Trust
From a Demolished Iranian
Proxy to a Prosperous
Abrahamic Ally

* Gaza Reconstitution, Economic Acceleration and Transformation

(The so-called GREAT Trust, the chaotic and sophomoric 38-page document discussed at the White House meeting on Aug. 27, 2025) Image
2. The plan builds on President Donald Trump’s controversial February 4, 2025 remarks that the United States would “take over” Gaza and turn it into the “Riviera of the Middle East” after relocating its more than two million inhabitants to other countries.
3. "US-led multi-lateral Custodianship leading to a reformed Palestinian self-
governance. It can start as a US-Israel bilateral agreement taking control from
Israel to the US (once Hamas is disarmed) and evolve to a formal multilateral trusteeship. 👇
Page 2 of 38 Image
Read 26 tweets
Aug 5, 2025
🧵 July 2024 - Austin, TX based, Southwest Key was sued by the DOJ.

The lawsuit... filed in the Western District of Texas, against Southwest Key Programs covers over 100 instances of abuse against children ranging in age from 5 to 17 and occurring between 2013 and 2023. Image
Image
Image
Image
2. "Prosecutors allege employees at the Texas-based organization knew about the host of abuses, including rape and coercing nude photos, and failed to protect the children it received billions from the federal gov to support, according to the lawsuit." usatoday.com/story/news/nat…
3. In March 2025 - a motion to dismiss the suit against Southwest Key Programs was filed after the federal government announced it had moved all unaccompanied children to other shelters.
🤔🤔🤔 Image
Image
Image
Read 11 tweets
Jul 31, 2025
🧵USAID funded the Kenya Digital Health Ecosystem in 2023, so they are ahead of the US in receiving this.

Duke Research is involved and the USAID Health Systems Strengthening Vision 2030 appears to moving forward. This is part of the UN's Sustainable Development Agenda 2030 Image
Image
Image
Image
2. The Digital Framework is laid out in photo 2. Image
Image
3. The Grant Opportunity($14M+) was posted last year. Image
Image
Image
Read 6 tweets
Jul 11, 2025
@GTP_Podcast @virushunter Ghislaine Maxwell
TERRAMAR PROJECT:
UN meetings & UN AUTHORIZED
Spoke at the Artic Circle & CFR Showcased by Clinton Global
Oh, AND she was getting paid to protect our oceans while buying a submarine to go to Epstein Island and protect the waters. (it's true). Image
Image
Image
Image
"During Ghislaine Maxwell's October 2020 testimony, when she was asked her citizenship, she replied, "TerraMar." Some unit in the United Nations had given passports in the name of TerraMar a sovereign territory.

TerraMar was meant to provide Maxwell and her cohorts with diplomatic immunity which ended with the collapse of the project."-
🔥(Source:starfirecodes.com/p/ghislaine-ma…)Image
Image
Ghislaine Maxwell Had UN Authorized Control Over the World's Oceans

The TerraMar Project was a UN NGO micronation with diplomatic immunity and its own passports

By: The Starfire Codes, Nov 23, 2021
starfirecodes.com/p/ghislaine-ma…
Read 7 tweets
Jul 3, 2025
🧵 HEMP: Made in America
Hemp was a vital crop in Early America. It was used for sail making, clothing, paper, and currency in the American colonies before and during the Revolutionary War. It provided a path to FREEDOM, and was once, considered more valuable than cash. Image
2. The reason hemp was more valuable than cash was simple. Paper money had no value in the colonies. A thousand dollars in Virginia currency, for example, was only worth one faith in paper money, the American economy operated on the barter system.
() ushempmuseum.us/early-america/Image
Image
3. "Anything and everything could be bartered for hemp, from the local newspaper to the services of stud racehorses."
Hemp was only one of many commodities. Tobacco, corn, peanuts, cotton, whiskey & rum were also some of the popular items to trade. Image
Image
Image
Read 26 tweets

Did Thread Reader help you today?

Support us! We are indie developers!


This site is made by just two indie developers on a laptop doing marketing, support and development! Read more about the story.

Become a Premium Member ($3/month or $30/year) and get exclusive features!

Become Premium

Don't want to be a Premium member but still want to support us?

Make a small donation by buying us coffee ($5) or help with server cost ($10)

Donate via Paypal

Or Donate anonymously using crypto!

Ethereum

0xfe58350B80634f60Fa6Dc149a72b4DFbc17D341E copy

Bitcoin

3ATGMxNzCUFzxpMCHL5sWSt4DVtS8UqXpi copy

Thank you for your support!

Follow Us!

:(