Keep Current with Eric Fauman (he/him)

Eric Fauman (he/him) Profile picture

Stay in touch and get notified when new unrolls are available from this author!

Read all threads

This Thread may be Removed Anytime!

PDF

Twitter may remove this content at anytime! Save it as PDF for later use!

Try unrolling a thread yourself!

how to unroll video
  1. Follow @ThreadReaderApp to mention us!

  2. From a Twitter thread mention us with a keyword "unroll"
@threadreaderapp unroll

Practice here first or read more on our help page!

More from @Eric_Fauman

Sep 3, 2022
Happy to have been a part of this METSIM and @FinnGen_FI effort combining metabolomics, transcriptomics and disease traits.
Among many other results we see again lessons for appropriate and inappropriate ways to interpret eQTLs.
pubmed.ncbi.nlm.nih.gov/36055244/ Image
We confirm (again) that you cannot use eQTLs to identify, select or prioritize the true causal gene. As in 2020 paper by Ndungu & @markmccarthyoxf we find an 8% precision using TWAS alone
On average TWAS will flag 11 wrong genes for every 1 correct gene. pubmed.ncbi.nlm.nih.gov/31978332/ Image
You can improve the situation by including colocalization and a probabilistic framework (P-TWAS), which in our hands brings you to 37% precision - only 2 wrong genes for every 1 correct gene.

pubmed.ncbi.nlm.nih.gov/36055244/
pubmed.ncbi.nlm.nih.gov/32912253/ Image
Read 7 tweets
May 8, 2022
Why you can't use eQTLs to interpret GWAS hits:

A story in 2 parts
I like to peruse @gwascatalog for novel causal genes, especially for metabolite GWAS.
This paper was just added to the @gwascatalog.

Among other things it describes a GWAS for circulating copper levels.

(copper counts as a metabolite, right?)

ncbi.nlm.nih.gov/pmc/articles/P…
Manhattan plot and QQ plot show at least one robust signal, on chromosome 3, with a lead SNP at rs34951015
Who's that causal gene, you say?
ncbi.nlm.nih.gov/pmc/articles/P…
Read 17 tweets
Mar 28, 2022
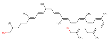
Another fantastic gene story from the METSIM metabolomics GWAS, now available in Nature Communications
rdcu.be/cJYVY Image
The trait is “carotene diol”. The @Metabolon platform identifies 3 unique metabolites, but the GWAS reveals some consistent signals across these 3 molecules
pheweb.org/metsim-metab/p… Image
Carotenes are long chain hydrocarbons produced by plants
Carotene diols have 2 extra hydroxyl groups
Lycophyll or lycopene gives the red color to tomatoes
Zeaxanthin gives the yellow color to corn

hmdb.ca/metabolites/HM…
hmdb.ca/metabolites/HM… ImageImageImageImage
Read 15 tweets
Mar 8, 2022
Folks who follow me on Twitter will have seen bits of this before, but with the help of my @pfizer colleague Craig Hyde we have now provided some mathematical structure to my observations about distances from GWAS lead SNPs to causal genes: biorxiv.org/content/10.110…
We started with the recent pQTL study from @pietznerm et al: pubmed.ncbi.nlm.nih.gov/34648354/
It is well known that the distance from lead SNP to cognate gene follows an approximate exponential decay: Image
But at distances > 10 Mb, SNP->gene distances don't follow an exponential decay and actually are perfectly described by the mathematics of picking 2 random points on a string: Image
Read 12 tweets
Jan 6, 2022
While it is true that the gene closest to a GWAS peak is not always the causal gene, it is also true that it usually is.
In fact, we can quantify how often we should expect the causal gene to be the closest gene, and that number is about 70%
3 papers from 2021 help pin this down:
Activity-by-contact (ABC-Max) predicts a causal gene for a GWAS SNP using a combination of cell-type specific chromatin accessibility, epigenome marks and chromatin conformation, which can also be estimated by SNP-TSS distance: pubmed.ncbi.nlm.nih.gov/33828297/
There were several large pQTL studies published in 2021. I've been referencing this one by @pietzner et al. When protein abundance is the trait, the hypothesis is the cognate gene (the one encoding the protein) is the causal gene:
pubmed.ncbi.nlm.nih.gov/34648354/
Read 6 tweets
Oct 16, 2021
Having this enormous collection of pQTLs allows us to answer the question (again):

Which is more relevant:

Distance of a GWAS SNP to the TSS (transcription start site) or to the gene body of a candidate gene?
pubmed.ncbi.nlm.nih.gov/34648354/
Usually you get the same closest gene measuring to TSS or to gene body.

But in the top case a pQTL for ACAA1 sits inside an irrelevant gene but is closer to the TSS for ACAA1.

But a pQTL for DNAJC17 sits closer to a TSS for a random gene despite sitting within DNAJC17.
Turns out if TSS_closest_gene and gene_body_closest_gene disagree, the gene body metric is right twice as often

This is especially true if the SNP sits within a gene, even if it is not a missense variant

(Again though, usually TSS and gene_body agree on the closest gene (77%))
Read 5 tweets

Did Thread Reader help you today?

Support us! We are indie developers!


This site is made by just two indie developers on a laptop doing marketing, support and development! Read more about the story.

Become a Premium Member ($3/month or $30/year) and get exclusive features!

Become Premium

Don't want to be a Premium member but still want to support us?

Make a small donation by buying us coffee ($5) or help with server cost ($10)

Donate via Paypal

Or Donate anonymously using crypto!

Ethereum

0xfe58350B80634f60Fa6Dc149a72b4DFbc17D341E copy

Bitcoin

3ATGMxNzCUFzxpMCHL5sWSt4DVtS8UqXpi copy

Thank you for your support!

Follow Us!

:(