Kelly S. Profile picture
Apr 7, 2022 16 tweets 8 min read Read on X
A thread on SEL:

Social Emotional Learning is designed to combine with health & lead us into the CDC & the Association for Supervision & Curriculum Design's (ASCD) Whole School, Whole Community, Whole Child (WSCC) Community/Healthy schools model.

…j96fs3py0oq1b-wpengine.netdna-ssl.com/wp-content/upl…
The WSCC model may be found on the Centers for Disease Control's (CDC) link below. At this link, scroll down and click "Visit Our Virtual Healthy School" and interact within each room.

cdc.gov/healthyschools…
"Transformative SEL is a process whereby young people & adults... facilitate co-learning to critically examine root causes of inequity and to develop collaborative solutions that lead to personal, communal, and societal well-being."

aft.org/ae/summer2021/…
Equity & Activism:

"SEL is a way to uplift student voice & promote agency and civic engagement"

"...When SEL goes beyond behavior management & positions young people 'as experts in understanding & fashioning a world that is more just and equitable.'"

schoolguide.casel.org/what-is-sel/eq…
Systemic SEL:

"A systemic approach ensures that SEL is woven into all students’ educational experiences. More than a single lesson or activity, SEL is integrated across key settings where students live & learn: classrooms, schools, homes, & communities."
casel.org/systemic-imple…
An Aug. 2020 Penn State College of Health and Human Development Issue Brief discusses using SEL to Promote Equity (the agenda) saying, "...comes the opportunity to dismantle, rebuild, and restore our collective humanity and commitments to each other."

prevention.psu.edu/uploads/files/…
Social Emotional Learning is also correlated with Comprehensive Sexuality Education (CSE). CASEL recommends Planned Parenthood and CSE (because the two go together) in the following link:

pg.casel.org/get-real-compr…
SEL is designed to be integrated with Comprehensive Sexuality Education.

"Applying Emotional Literacy in Comprehensive Sex Education for Young People," was published in the
American Journal of Sexuality Education in June 2021:
researchgate.net/publication/35…
The following video is described as, "an SEL session crafted for Mira Costa High School that intends to provide the framework for understanding topics related to gender and sexuality."

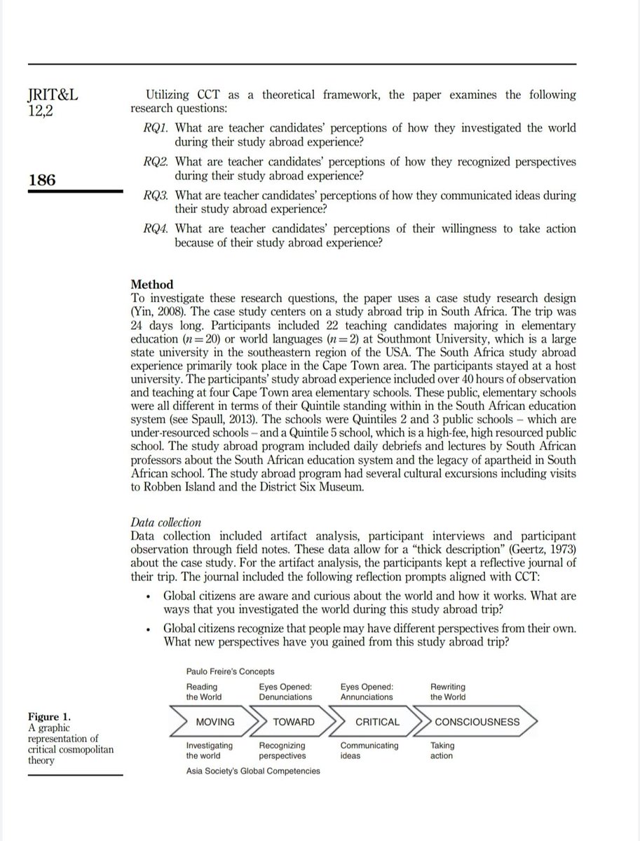
A 2019 article published in the Journal of Research in Innovative Teaching called, "Study abroad as social and emotional learning" says, "SEL is connected to the development of global citizenship development."

emerald.com/insight/conten…
..."The study weds the critical cosmopolitan framework with SEL to show how learners develop empathy through reading and rewriting the world." "SEL features...fostering
empathy, developing culturally responsive practices, and becoming critically conscious and cosmopolitan."
"The main presupposition of CCT is being a global citizen requires a social and emotional learning maturation toward critical consciousness. Such maturation includes the integration
of global competencies with Freirean skills like reading and rewriting the world."
I recommend reading this article in entirety to gain understanding of the current transformation of education we're witnessing. View the graphic at the bottom of this page emphasizing Paolo Freire's works including, "Moving Toward Critical Consciousness" & "Rewriting the World."
I created this diagram to help parents understand how the topics they are concerned about are integrated with oothers and each are built into the WSCC Model. Furthermore, these teachings are designed to be integrated into all subjects and all grades for systemic change.
Discovering Social Emotional Learning in the public school our child attended is what began this journey for me...daily mindfulness led by the Principal using a Buddhist singing bowl, The Tapping Solution, MindUP, Class Dojo videos, Dovetail Learning's ToolBox, BrainPop, etc.
Many are unaware of what is occurring in our nation's public schools. One of the first steps towards making significant changes is to inform others, accurately, with evidence. It's a time to stand up to this.

• • •

Missing some Tweet in this thread? You can try to force a refresh
 

Keep Current with Kelly S.

Kelly S. Profile picture

Stay in touch and get notified when new unrolls are available from this author!

Read all threads

This Thread may be Removed Anytime!

PDF

Twitter may remove this content at anytime! Save it as PDF for later use!

Try unrolling a thread yourself!

how to unroll video
  1. Follow @ThreadReaderApp to mention us!

  2. From a Twitter thread mention us with a keyword "unroll"
@threadreaderapp unroll

Practice here first or read more on our help page!

More from @kellyske

Dec 2, 2025
🧵 This is a must-read article by @RhyenStaley from 2024, exposing the "Global Brain Economy" which is directly correlates to ESG and the corrupt, global "Mental Health" agenda that is also in WSCC Model Community Schools. @M8maBear told me of the term...

dailycaller.com/2024/02/26/opi… x.com/RhyenStaley/st…
🧵 The following article details how the Brain Economy model, advanced by Harris Eyre, is designed for business, "brain capital", and ESG scores...
psychiatrictimes.com/view/brain-cap…Image
🧵 @RhyenStaley has done excellent research on this topic, including notating the letter below that Harris Eyre wrote. Harria seems to have an ESG Utopian dream for his extravagant, controlling Brain Capital/Brain Economy agenda: "Dear Larry Fink" 👇

linkedin.com/pulse/dear-lar…Image
Image
Image
Read 23 tweets
Nov 2, 2025
Some perceive the sudden, global push to promote mental health in schools, especially via WSCC Model Community Schools, as new - resulting from Covid-19. That perception is false. This has been strategized for decades. Covid-19 was just their vehicle for "social change" See🧵 👇 Image
Image
Image
Image
Read 22 tweets
Sep 21, 2025
As we remember the life and legacy of Charlie Kirk, may we pray for his wife, his children, and his family and friends.

Charlie Kirk said, "I want to be remembered for courage for my faith. That would be most important. The most important thing is my faith in my life." Image
May this portion of scripture from Matthew 4 be an encouragement to all of us as we mourn and grieve, and seek to live honorably...

May our lives be fruitful, honorable, principled, and may we speak the truth in love and glorify God... Image
John 1:5 says, "The light shines in the darkness, and the darkness has not overcome it."

John 16:33 says, "These things I have spoken to you so that in Me you may have peace. In the world you have tribulation, but take courage; I have overcome the world."
Read 15 tweets
Sep 9, 2025
🧵 My main education concern combines health and education in the "Whole School, Whole Community, Whole Child" #WSCCModel of Community Schools, using "system change" theory to transform schools into govt. social services hubs.

👇🧵- Why I call it a #SchoolToSterilizationPipeline Image
🧵🚨 To the Board, Faculty, & Community in Temecula Valley Unified School District, this MOU-Memorandum of Understanding (voted down at a recent board meeting and placed on the agenda again) is subtle, concealing information - there's no mention of WSCC but this is the #WSCCModel Image
🧵 Let's see the source of "Behavioral Health" for "Substance Abuse Prevention, Intervention, Education, and Rehabilitation Services" at Riverside University Health System, shall we?

The Memorandum of Understanding never informed of these "services" 👇

rcdmh.org/Portals/0/Webs…Image
Image
Image
Read 15 tweets
Jun 21, 2025
"Mental Health" is suddenly and continuously marketed to everyone. The messaging also claims this is a global problem. Do not be fooled. Much of this field is captured by ideology, money, and political interests. When it's sold like a Covid vaccine - don't fall for it.
Read 17 tweets
Apr 15, 2025
THREAD: Ed Stetzer, a Dean at Biola University, is listed as the Regional Director for North America of the Lausanne Movement which is using faith to advance the United Nation's Sustainable Development Goals

lausanne.org/leader/ed-stet…
lausanne.org/about/blog/ed-…
lausanne.org/global-analysi… Image
Image
🧵The Lausanne Movement partnered with the World Evangelical Alliance Sustainability Center to form the LWCCN: Lausanne/WEA Creation Care Network to achieve the United Nation's Sustainable Development Goals...

wea-sc.org/en/about/globa…Image
Image
🧵The Faith for Earth Initiative SDG link on the World Evangelical Alliance site about LWCCN says "page can't be found" but it's archived here and page 5 advances Planned Parenthood Sexual and Reproductive Health & Rights goals 👇

web.archive.org/web/2020060114…

wea-sc.org/en/about/globa… Image
Image
Image
Read 11 tweets

Did Thread Reader help you today?

Support us! We are indie developers!


This site is made by just two indie developers on a laptop doing marketing, support and development! Read more about the story.

Become a Premium Member ($3/month or $30/year) and get exclusive features!

Become Premium

Don't want to be a Premium member but still want to support us?

Make a small donation by buying us coffee ($5) or help with server cost ($10)

Donate via Paypal

Or Donate anonymously using crypto!

Ethereum

0xfe58350B80634f60Fa6Dc149a72b4DFbc17D341E copy

Bitcoin

3ATGMxNzCUFzxpMCHL5sWSt4DVtS8UqXpi copy

Thank you for your support!

Follow Us!

:(