HaemSTAR 💙 Profile picture
May 5 6 tweets 6 min read
1/6
YESSSS!!!
Our second ever Flash Mob project is now published and is Open Access in @JTHjournal. In the largest ever, multicentre study of time to treatment in #TTP we found that diagnostic uncertainty was the most frequent reason for treatment delay. onlinelibrary.wiley.com/doi/full/10.11…
2/6
We audited practice against @BritSocHaem guidelines (onlinelibrary.wiley.com/doi/full/10.11…) and gathered data on 251 patients with #TTP across 80 sites thanks to 148 cited collaborators. WOW!!! Image
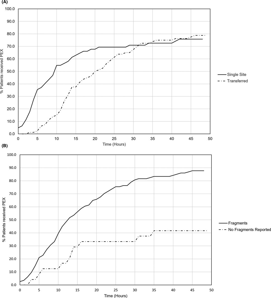
3/6
Only 65% patients received plasma exchange within 24h of presentation with the cause of delays being diagnostic uncertainty because of older age, higher Hb (>100g/l) & platelets (>30x10^9/l), and absence of RBC fragments on blood film. Lack of on-site PEX also contributed. Image
4/6
This work supports improving access to out-of-hours ADAMTS13 testing to enable earlier diagnosis in cases where there is uncertainty. We are told to start PEX before ADAMTS13 results are back but clearly this is not reflective of the realities of practice and tricky diagnoses
5/6
Well done to @TomboxaneA2 (@WestSuffolkNHS , @rorym21 (@UHP_NHS, now @gloshospitals), @PipNicolson (@ICVS_UoB), @doyley1_ (@GSTTnhs), & Marie Scully (@uclh) for all your hard work leading on this. Thanks to @bicops, @CRCTU and @TTP_Network for help, guidance, & hard work.
6/6
Do you want to get involved with HaemSTAR and be part of something powerful? You can get involved with our current Flash Mob audit of DOAC reversal agents now. Head to haemstar.org/rapido to find out more or DM us.

• • •

Missing some Tweet in this thread? You can try to force a refresh
 

Keep Current with HaemSTAR 💙

HaemSTAR 💙 Profile picture

Stay in touch and get notified when new unrolls are available from this author!

Read all threads

This Thread may be Removed Anytime!

PDF

Twitter may remove this content at anytime! Save it as PDF for later use!

Try unrolling a thread yourself!

how to unroll video
  1. Follow @ThreadReaderApp to mention us!

  2. From a Twitter thread mention us with a keyword "unroll"
@threadreaderapp unroll

Practice here first or read more on our help page!

Did Thread Reader help you today?

Support us! We are indie developers!


This site is made by just two indie developers on a laptop doing marketing, support and development! Read more about the story.

Become a Premium Member ($3/month or $30/year) and get exclusive features!

Become Premium

Don't want to be a Premium member but still want to support us?

Make a small donation by buying us coffee ($5) or help with server cost ($10)

Donate via Paypal

Or Donate anonymously using crypto!

Ethereum

0xfe58350B80634f60Fa6Dc149a72b4DFbc17D341E copy

Bitcoin

3ATGMxNzCUFzxpMCHL5sWSt4DVtS8UqXpi copy

Thank you for your support!

Follow Us on Twitter!

:(