Arrêtez-vous, j'ai une bonne blague.

— Pour l'instant nous travaillons sur (...) des possibilités de purification de l'air, on en a beaucoup parlé.
— Dès cette rentrée ?
— Dès cette rentrée. Le ministère de la Santé a déjà mis pas mal de moyens pour pouvoir équiper [les écoles].
La journaliste : "c'est la première rentrée qui se passe sans protocole sanitaire particulier"

C'est marrant, personnellement j'avais plutôt l'impression que c'était la troisième.
"Est-ce qu'il y a un objectif sur l'installation de filtrage dans les écoles ?"

Le ministre : "Il y a déjà eu des moyens financiers qui ont été mis. Le filtrage il est aussi par le principe d'aérer les pièces de façon très régulière avec ces fameux capteurs de CO2."
"La rentrée est dans 1 mois et demi, 2 mois"

Élèves et enseignants seront ravis de savoir que leurs vacances ont été étendues jusqu'à la fin septembre.

• • •

Missing some Tweet in this thread? You can try to force a refresh
 

Keep Current with Maître Pandaï

Maître Pandaï Profile picture

Stay in touch and get notified when new unrolls are available from this author!

Read all threads

This Thread may be Removed Anytime!

PDF

Twitter may remove this content at anytime! Save it as PDF for later use!

Try unrolling a thread yourself!

how to unroll video
  1. Follow @ThreadReaderApp to mention us!

  2. From a Twitter thread mention us with a keyword "unroll"
@threadreaderapp unroll

Practice here first or read more on our help page!

More from @Panda31808732

Jul 24
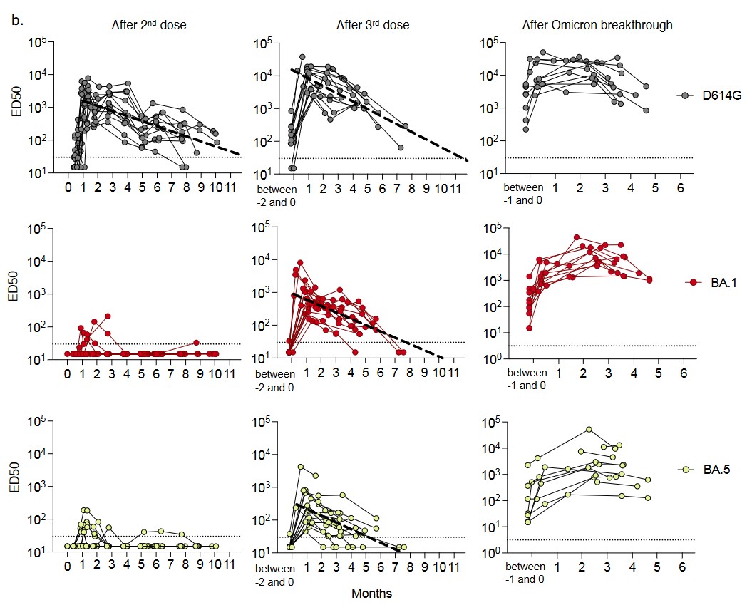
[Prépublication] Étude française sur la durabilité de la réponse des anticorps neutralisants, notamment face à BA.5.

"La durée de neutralisation était nettement raccourcie, d'une période estimée post-rappel de 11,5 mois avec D614G à 5,5 mois avec BA.5"

medrxiv.org/content/10.110… Image
« Après une infection post-vaccinale, nous avons observé une nette augmentation des anticorps neutralisants contre les sous-variants Omicron, suivie par un plateau et un lent déclin après 4-5 mois. Dans les prélèvements nasaux, l'infection, mais pas la vaccination, a déclenché...
... une forte réponse IgA et une activité de neutralisation Omicron détectable. Ainsi, la propagation de BA.5 est en partie due à une efficacité vaccinale raccourcie, particulièrement chez les individus qui n'avaient pas été infectés avec les précédents variants Omicron. »
Read 4 tweets
Jul 24
Philippe Bas : "Une fraction de plus en plus limitée de ces cas donne lieu à des hospitalisations, notamment en soins critiques, et une fraction heureusement encore plus limitée (...) débouche sur des formes longues de covid ou des décès."

Alors non...

senat.fr/seances/s20220…
Le taux de Covid long a toujours été bien supérieur au taux de formes sévères (en phase pré-vaccinale, 10-20% de Covid long pour ~3% d'infections hospitalisées), et c'est encore le cas aujourd'hui (4-5% de Covid long à >12 semaines chez les 3 doses [ONS] contre taux hosp à ~0,6%)
Quant au taux d'hospitalisation, rien n'indique qu'il baisse. Sous "Omicron," en moyenne 1,1% des cas ont été hospitalisés (ci-dessous, le taux d'hospitalisation observé avec 4 jours de décalage). Pas de différence aux pics BA.2/BA.5, et probable hausse depuis BA.1 par effet âge. Image
Read 5 tweets
Jul 21
Carte du taux d'incidence par département du 12 au 18 juillet 2022.

La France était à 1304 jeudi dernier, aujourd'hui elle est à 901 [semaine à jour férié]. Image
Le taux d'incidence par âge. Image
[S28-2022] Les trois paramètres (cas détectés, admissions à l'hôpital, passage aux urgences) étaient entrés en décroissance la semaine dernière.

santepubliquefrance.fr/maladies-et-tr… Image
Read 7 tweets
Jul 21
Première estimation de SPF : 1,9 à 2,2 millions d'adultes souffraient de Covid long (>3 mois) en France début avril 2022, soit autour de 4% de la population adulte.

santepubliquefrance.fr/content/downlo…
Le Covid long affecte davantage les jeunes adultes (vous savez, les soi-disant "non-fragiles" qui "ne risquent rien" ...).
Les patients Covid long sollicitent davantage le système de santé.
Read 10 tweets
Jul 16
Revenons sur l'article 2 du projet de loi Covid, car c'est quand même extraordinaire que le gouvernement ait réussi à faire croire que la gauche avait rejeté une mesure de protection sanitaire, alors que c'est exactement l'inverse qui s'est produit...
Avec l'article 2, le gouvernement avance qu'il cherchait à pouvoir rétablir le pass « pour rester en mesure de prévenir l’arrivée de nouveaux variants ou une circulation de l’épidémie entre territoires ».

assemblee-nationale.fr/dyn/16/textes/…
Le pass sanitaire peut être obtenu de 3 façons :

(a) vaccination complète
(b) test négatif de moins de 24h
(c) preuve d'infection confirmée récente (moins de 4 ou 6 mois)

gouvernement.fr/info-coronavir…
Read 13 tweets
Jul 14
Carte du taux d'incidence par département du 4 au 10 juillet 2022.

La France était à 1240 jeudi dernier, hier elle était à 1343. Image
Le taux d'incidence par âge. Image
En S27-2022, le R tests avait diminué à 1,2 avant son passage prochain sous 1.

santepubliquefrance.fr/maladies-et-tr… Image
Read 7 tweets

Did Thread Reader help you today?

Support us! We are indie developers!


This site is made by just two indie developers on a laptop doing marketing, support and development! Read more about the story.

Become a Premium Member ($3/month or $30/year) and get exclusive features!

Become Premium

Don't want to be a Premium member but still want to support us?

Make a small donation by buying us coffee ($5) or help with server cost ($10)

Donate via Paypal

Or Donate anonymously using crypto!

Ethereum

0xfe58350B80634f60Fa6Dc149a72b4DFbc17D341E copy

Bitcoin

3ATGMxNzCUFzxpMCHL5sWSt4DVtS8UqXpi copy

Thank you for your support!

Follow Us on Twitter!

:(