Tim Andrews Profile picture
Sep 21, 2022 12 tweets 4 min read Read on X
🚨We have a new paper published in JGR:

On the Effect of historical SST patterns on radiative feedback

[1/n] Thread🧵: doi.org/10.1029/2022JD…
Image
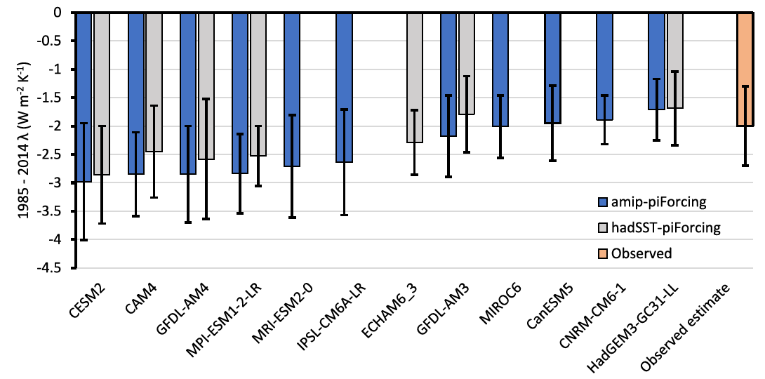
[2/n] We investigate the dependence of radiative feedback on the pattern of sea-surface temperature (SST) change in fourteen Atmospheric General Circulation Models (AGCMs) forced with observed variations in SST and sea-ice over the historical record from 1871 to near-present. Image
[3/n] We find that over 1871-1980 Earth warmed with feedbacks largely consistent & strongly correlated with long-term climate sensitivity feedbacks. That is good news for constraining ECS, but mostly can't be used as obs poor & forcing/climate change signal weak. Bad news.
[4/n] Funky stuff happens post 1980. Here Earth warmed with unusual trends in Pacific SSTs (enhanced warming west, cooling east) & cooling in Southern Ocean that drove feedback to be uncorrelated with [& indicating much lower ECS] than that expected for long-term CO2 increase. Image
[5/n] That is bad news and an unfortunate situation, because the period since ~1980 contains a well observed global temperature response to large GHG forcing. Yet despite this, it turns out to be the worst time-period for inferring the Earth’s long-term feedbacks or ECS. Image
[6/n] For this reason, I am sceptical of many papers that use the observed global temp record over recent decades as an emergent constrain on ECS. The constraint must arise from deficiencies/biases in AOGCM simulations of recent SST patterns and pattern effects.
[7/n] We further show that the AGCM feedback estimates over recent decades (1985-2014) are in agreement with observations of the Earth’s energy budget. Image
[8/n] We discuss various hypothesis for what caused the particular configuration of SST patterns over recent decades that gave rise to a strong pattern effect, and how it might evolve in the future. Image
[9/n] We show that these conclusions are not strongly dependent on the AMIP II SST dataset used to force the AGCMs, though the magnitude of feedback post 1980 is generally smaller in nine AGCMs forced with alternative HadISST1 SST boundary conditions. Image
[10/n] 🚨 New dataset🚨:

The global-annual-mean radiative fluxes from all the amip-piForcing and hadSST-piForcing simulations can be found here

github.com/timothyandrews…
[11/n] #OpenAccess version of the manuscript:

onlinelibrary.wiley.com/share/author/D…
[END] Finally thank you to an awesome set of co-authors. Including some on here @karmour_uw @YueDong35680721 @rpallanuk

• • •

Missing some Tweet in this thread? You can try to force a refresh
 

Keep Current with Tim Andrews

Tim Andrews Profile picture

Stay in touch and get notified when new unrolls are available from this author!

Read all threads

This Thread may be Removed Anytime!

PDF

Twitter may remove this content at anytime! Save it as PDF for later use!

Try unrolling a thread yourself!

how to unroll video
  1. Follow @ThreadReaderApp to mention us!

  2. From a Twitter thread mention us with a keyword "unroll"
@threadreaderapp unroll

Practice here first or read more on our help page!

More from @Tim_AndrewsUK

Feb 10, 2020
New paper with @piersforster now out in @NatureClimate - Energy budget constraints on historical radiative forcing nature.com/articles/s4155…

Provides a top down energy budget constraint on historical radiative forcing of 2.3 (1.7 to 3.0) [5-95%] Wm-2. Thread: [1/n]
Radiative forcing is a fundamental quantity for understanding the drivers of climate change, yet significant uncertainty remains in our quantification & model representation of it. For example see any paper that includes @gunnarmy including this epic journals.ametsoc.org/doi/abs/10.117… [2/n]
What we do is combine measurements of historical temperature change dT & Earths heat uptake dN alongside model reconstructions of Earth’s radiative response Y. Constrains historical forcing F via energy budget eqn F=dN+YdT. Like Otto etal nature.com/articles/ngeo1… in reverse [3/n]
Read 15 tweets

Did Thread Reader help you today?

Support us! We are indie developers!


This site is made by just two indie developers on a laptop doing marketing, support and development! Read more about the story.

Become a Premium Member ($3/month or $30/year) and get exclusive features!

Become Premium

Don't want to be a Premium member but still want to support us?

Make a small donation by buying us coffee ($5) or help with server cost ($10)

Donate via Paypal

Or Donate anonymously using crypto!

Ethereum

0xfe58350B80634f60Fa6Dc149a72b4DFbc17D341E copy

Bitcoin

3ATGMxNzCUFzxpMCHL5sWSt4DVtS8UqXpi copy

Thank you for your support!

Follow Us!

:(