Yann Duroc est sur BlueSky Profile picture
Sep 30, 2022 12 tweets 3 min read Read on X
Selon les verts européens les NBT posent problèmes à cause notamment des modifications off target que l’on ne maîtrise pas

Ils mettent ainsi en avant le fait que la culture in vitro appliquée aux OGM est un pb

Qq exemples pour vous montrer que c’est un mauvais argument Image
Dans les quelques exemples que je vais lister, aucun ne concerne des variétés qui sont considérées comme OGM … hé oui la culture in vitro n’a rien de spécifique a la création variétale par édition du génome et est largement utilisée comme on va le voir
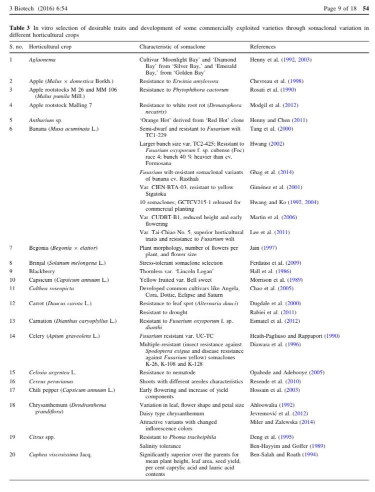
Ici une revue de la littérature très complète des variations somaclonales issues de la culture in vitro

doi.org/10.1007/s13205…
Les variations somaclonales sont des variations héritées du passage par la culture in vitro, technique utilisée pour régénérer/multiplier une plante entière à partir de quelques cellules

Ici un exemple avec le Saintpaulia , en partant du même matériel on produit ici 3 variants Image
Je vous laisse aller voir dans le tableau 3, la liste des variétés commerciales (avec toutes les références et les dates, certaines antérieures a 2001)

On y trouve :
Pomme (portes greffe et greffons), Anthurium, banane, bégonia, Aubergine, mure, piment, carotte, oeillet, céleri Image
chrysanthème, citron, ail, géranium, barbera, gingembre, vigne, kiwi, menthe, mangue, olive, pois, pêche, poire (portes greffe et greffons), ananas, pomme de terre, fraise, patate douce, orange, tomate, tulipes, curcuma, canne à sucre
Toutes ses variétés ont été mises sur le marché depuis longtemps !

Elles ne devraient donc pas être commercialisées sans régulation si on suit la logique des verts européens puisqu’on n’est pas capable d’y identifier les éventuelles modifications off target
Ensuite , l’exemple bien connu et emblématique du sauvetage de la variété de pomme de terre "Belle de Fontenay" par culture de méristèmes (qui permet de produire des plantes exemptes de virus)

D’autres exemples ici
doi.org/10.1016/0160-9…
La culture in vitro est aussi utilisée dans un but de conservation

Par exemple la conservation de cépages de vigne par cryopréservation "virus free" dans les banques de germplasm

l'USDA notamment conserve 3649 accessions uniques de vignes in vitro

doi.org/10.3390/plants…
Je m’arrête là, vous pouvez donc constater que la culture in vitro n’est pas spécifique de l’édition du génome et que de nombreuses variétés commercialisées depuis longtemps en sont issus !
C’est ainsi une technique qui a montré par sa longue utilisation qu’elle a une “history of safe use” et l’utilisation d’un argument la présentant comme un pb n’est pas pertinent
@threadreaderapp unroll please

• • •

Missing some Tweet in this thread? You can try to force a refresh
 

Keep Current with Yann Duroc est sur BlueSky

Yann Duroc est sur BlueSky Profile picture

Stay in touch and get notified when new unrolls are available from this author!

Read all threads

This Thread may be Removed Anytime!

PDF

Twitter may remove this content at anytime! Save it as PDF for later use!

Try unrolling a thread yourself!

how to unroll video
  1. Follow @ThreadReaderApp to mention us!

  2. From a Twitter thread mention us with a keyword "unroll"
@threadreaderapp unroll

Practice here first or read more on our help page!

More from @DurocYann

Oct 2, 2024
Voici mon avis de lecture du chapitre 18 du dernier livre "Les illusionnistes" de @GeWoessner et @ErwanSeznec

J'ai déjà posté que je n'ai pas trouvé ce chapitre particulièrement bon mais ici je vais donner des justifications. Image
Je vais détailler les problèmes que posent certains passages du livre mais avant de rentrer dans les détails , j'ai un problème plus général sur la construction de ce chapitre
Les auteurices naviguent dans ce chapitre entre plusieurs concepts différents ce qui donne une impression que tout ce vaut.
Read 36 tweets
Sep 2, 2024
Merci pour vos votes et participations !

Il y a 2 personnes sur 3 qui ne savent pas de quoi on parle quand on dit "OGM stérile" et parmi les réponses il y a beaucoup de confusions entre différents concepts (comme attendu ... rien d'exceptionnel !)

Alors c'est parti

🧶🧶🧶
Un fil pour essayer de démêler tout ça !

Il y a suffisamment de ressources écrites sur le sujet donc je vais vous diriger vers des articles ou des fils xwitter

Disclaimer : Je ne parlerai ici que de plantes
Dans les réponses il y a eu plusieurs confusions entre

1- Les hybrides interspécifiques / intergénérique

2- Les hybrides F1

3- Les technologies GURT (ce dont on parle quand on dit "OGM stériles")

🔽🔽🔽
Read 24 tweets
Jul 21, 2024
Article fascinant sur le Physalis Improvement Project

Comment avec Crispr accélérer la domestication/amélioration de la Physalis ?

🧶

doi.org/10.1002/ppp3.1…
Débuté il y a plus de six ans, le "Physalis Improvement Project" porté par une équipe de l'Institut Boyce Thompson (Cornell US) a pour but de transformer la Physalis , que l’on connaît plus pour être une curiosité, en fruit de consommation grand public Image
Et ce n’est pas une mince affaire tant la domestication n’est pas celle d’autres plantes cultivées !

En effet la croissance de Physalis grisea est désordonnée et très ramifiée (les auteurs parlent de croissance tentaculaire - sprawling)
Read 10 tweets
Apr 3, 2024
Vous avez peut être vu passer depuis qq semaines des annonces sur l'utilisation de Crispr pour obtenir des variétés de betteraves sucrières résistantes a certains virus de la jaunisse (certaine affirmant même que 1 mutation ponctuelle suffisait 🤔)

alors qu'en est il ?
🔽🔽🔽
Comme on va le voir et comme d'habitude : "C'est beaucoup plus complexe"

L'article qui décrit ces betteraves est ici

doi.org/10.1111/pbi.14…
Quelques rappels avant de commencer a regarder les résultats de cette étude

La jaunisse de la betterave est due à un complexe de 3 virus
Beet Chlorosis Virus (BChV)
Beet Mild Yellowing Virus (BMYV).
Beet Yellows Virus (BYV)

itbfr.org/tous-les-artic…
Read 26 tweets
Jan 25, 2024
Je lis beaucoup d'approximations sur les NBT/NGT et pas seulement de la part des anti ... il y a aussi du ménage a faire dans les propos des personnes favorables à ces outils et ça nuit à la compréhension

Fil improvisé que j'essaierai d'amender au gré de mes lectures ici
1- Les variétés OGM ce ne sont que les variétés transgéniques

❌ Faux

La définition de ce qu'est un OGM est avant tout une définition réglementaire, issue de 2 textes :
- la directive UE 2001-18
- la décision de la Cour de Justice de l'UE en 2018 confirmée par le CE en 2020
Pour une explication didactique je vous conseille la dernière série de vidéos de @Matadon_ dont celle sur la legislation

Read 41 tweets
Nov 15, 2023
Merci @Borolum168 pour ce fil qui reprend les mensonges de cette video sur les NGT

je voudrai revenir sur certains points et ajouter certains éléments.

⬇️
Un des points cruciaux a comprendre et qui change totalement la perception de cette vidéo est le statut des techniques de mutagenèse aléatoire induite vis a vis de la réglementation.
En 2018 la Cour de Justice de l'UE (CJUE) a statué sur le fait que les techniques de mutagenèse aléatoire induite aboutissaient bien a des variétés OGM. Cette décision a été confirmée en 2020 par le Conseil d'Etat français.
Read 31 tweets

Did Thread Reader help you today?

Support us! We are indie developers!


This site is made by just two indie developers on a laptop doing marketing, support and development! Read more about the story.

Become a Premium Member ($3/month or $30/year) and get exclusive features!

Become Premium

Don't want to be a Premium member but still want to support us?

Make a small donation by buying us coffee ($5) or help with server cost ($10)

Donate via Paypal

Or Donate anonymously using crypto!

Ethereum

0xfe58350B80634f60Fa6Dc149a72b4DFbc17D341E copy

Bitcoin

3ATGMxNzCUFzxpMCHL5sWSt4DVtS8UqXpi copy

Thank you for your support!

Follow Us!

:(