One major whitepill is the fact that people on our side, anons who appear out of nowhere and have no institutional backing, can consistently outsell the most astroturfed establishment writers of today. BAP has made an absolute mockery of the field of "classics". 👇
Since August, my new book The Eggs Benedict Option has outsold, often by a massive margin, Regenesis, the new book by globalist shill George Monbiot. Despite Amazon awarding his book an "Editor's Pick of 2022" badge, and despite it winning a variety of other meaningless awards...
it languishes 50 or 60,000 places lower in the Amazon US rankings than mine. If this is what we can do without any official backing, imagine what will come with power. We have every reason to be optimistic. This is just the beginning.

• • •

Missing some Tweet in this thread? You can try to force a refresh
 

Keep Current with RAW EGG NATIONALIST

RAW EGG NATIONALIST Profile picture

Stay in touch and get notified when new unrolls are available from this author!

Read all threads

This Thread may be Removed Anytime!

PDF

Twitter may remove this content at anytime! Save it as PDF for later use!

Try unrolling a thread yourself!

how to unroll video
  1. Follow @ThreadReaderApp to mention us!

  2. From a Twitter thread mention us with a keyword "unroll"
@threadreaderapp unroll

Practice here first or read more on our help page!

More from @Babygravy9

Jan 28
New study suggests that paternal exposure to a chemical in plastic can have negative health effects two generations down the line. 👇 Image
Researchers looked at the impact of paternal exposure to dicyclohexyl phthalate (DCHP), a chemical added to plastic to increase its durability.

Using mice, they showed that exposure resulted in insulin resistance and impaired insulin signalling two generations down the line.
Using new sequencing methods, they showed that the chemical affected the RNA of sperm. Interestingly, while the effects carried over to offspring of both sexes in the 1st generation, it only carried over to male offspring in the 2nd.
Read 5 tweets
Jan 27
PFAS WHITEPILL.

I've talked a lot about PFAS and their terrible obesogenic and gender-bending effects, but maybe things aren't quite as bad as they might seem. 👇 Image
A 2018 study of PFAS exposure reveals that the obesogenic effects of these chemicals may be substantially mitigated by exercise.

The study compared the effects of PFAS on two groups: one who followed standard dietary and exercise guidelines (placebo), and another which exercised "intensively" and ate "healthier food" (lifestyle group).
Read 7 tweets
Jan 26
New fish study reveals that microplastic contamination makes it easier for pathogens like viruses to enter the body and cause damage or death.
This is something of a first for microplastic studies. A lot of researchers study them in isolation from other harmful factors in the environment. In this case, though, the researchers studied the interaction between concentrations of microplastics in the environment and a virus.
Trout in a lab setting were exposed to low, medium and high levels of microplastics, as well as a particular virus found in aquaculture systems called IHNV. Results showed that mortality was greater as exposure to microplastics increased.
Read 5 tweets
Jan 26
THE VINCE GIRONDA FROG crunch.

If you've been following my Gironda threads, you'll know Vince had strong opinions on every single popular exercise, from the bench press to the barbell back squat. That included sit ups, which he hated. His alternative? The frog crunch. 👇
Vince's beef with the sit-up, which for many is the go-to abdominal exercise, is that it brings into play too many other muscles, especially hip flexors and lower back, and doesn't tax the abdominals enough. "Flopping back and forth... is for the birds" he said.
To isolate the abdominals fully, Vince would fold the legs back and under themselves - sometimes even strapping his legs to the bench - and then perform short crunches with a tight isometric at the top.
Read 7 tweets
Jan 23
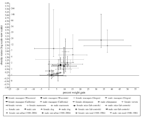
Guess what? The obesity epidemic isn't just confined to human beings. In reality, rhesus monkeys, meerkats, blue monkeys, chimpanzees, mice, rats, cats and dogs are all getting fatter too, which suggests that the reasons for obesity are not simply overeating. 👇
Yann Klimentidis et al. gathered data from animal studies that contained at least ten years' data for animal weights to investigate whether what's happening to humans is happening to animals as well. And guess what? Analysis of results for 20k animals showed that it is.
This is true of animals living in controlled conditions (i.e. lab animals) and animals that don't, like cats and dogs. The probability of all trends being in the same direction was calculated as 1.2 × 10 to the −7, i.e. vanishingly vanishingly small.
Read 6 tweets
Jan 22
As I say in my piece for American Mind on the MSM response to the Tucker documentary, the imputation of homosexuality to all forms of male association serves a very simple purpose: to discourage men from associating with one another.
In the Politics, Aristotle describes this as one of the principal methods of tyrants: to prevent free association among men and instead to foster distrust, so that people squabble among themselves rather than uniting against their real oppressor.
Groups of determined men, bound by friendship and a shared vision, have been, are, and always will be among the greatest forces for social change in human affairs. That's why men can no longer be allowed to associate freely.

Read 4 tweets

Did Thread Reader help you today?

Support us! We are indie developers!


This site is made by just two indie developers on a laptop doing marketing, support and development! Read more about the story.

Become a Premium Member ($3/month or $30/year) and get exclusive features!

Become Premium

Don't want to be a Premium member but still want to support us?

Make a small donation by buying us coffee ($5) or help with server cost ($10)

Donate via Paypal

Or Donate anonymously using crypto!

Ethereum

0xfe58350B80634f60Fa6Dc149a72b4DFbc17D341E copy

Bitcoin

3ATGMxNzCUFzxpMCHL5sWSt4DVtS8UqXpi copy

Thank you for your support!

Follow Us on Twitter!

:(