#99 Profile picture
Mar 23 12 tweets 4 min read
Surat terbuka pegawai Milenial Bea Cukai atas kejanggalan yg terjadi di lingkungan kerja mereka
Bukti2 yang kami share dalam thread ini sepenuhnya adalah info orang dalam Bea Cukai sendiri. Apapun motif dan tujuannya kami rasa publik perlu tahu bagaimana negara ini dikelola
Dalam lampiran surat terbuka Milenial Bea Cukai tersebut terdapat dua file, yaitu:
1. Daftar lengkap 13.652 data penumpang yg registrasi IMEI di Kualanamu, petugas yg meregistrasi, dll. Kami tidak bisa memposting lengkap krn ada nomor IMEI yg beresiko kena UU ITE jika diposting
Menariknya pada data tersebut banyak hp Iphone (dgn nomor depan IMEI angka 3) yg didaftarkan sebagai Android (nomor depan IMEI angka 8).
Dibawah kami akan jelaskan dimana letak fraud-nya.
Sebagai info, ada aturan pembebasan barang penumpang sebesar US$ 500. Diatas nilai tersebut akan dikenai cukai yg harusnya masuk ke kas negara. Aturan inilah yg menjadi celah fraud bagi para petugas registrasi IMEI Bea Cukai.
Caranya yaitu dgn mendaftarkan Iphone mahal penumpang yg mau bekerjasama sbg merek Android yg murah, sehingga cukai yg harusnya masuk ke kas negara berubah jadi nol. Tentu ada imbal jasa dari penumpang kpd petugas tsb. Yg harusnya masuk ke kas negara beralih ke kantong oknum
Aturan pembebasan US$ 500 (Rp 7,6 jutaan) itu berarti jika harganya lebih kecil atau sama dengan 7,6 juta tdk kena pajak, lebih dari itu kena. Modus fraudnya kira2 begini, Iphone yg harganya 24 juta dicatatkan sbg Android murah dgn harga 3 juta, bebas pajak tapi bayar petugas
Biaya kpd petugas utk 'memurahkan' Bea Masuk iphone itu sekitar 800 ribu sampai 1 juta per-unit. Lebih murah dibanding harus bayar negara sampai 5 jutaan. Tp jika dari 13 ribuan data tersebut 10 persennya saja dibuat laporan abal2 maka oknum2 tsb dapat 800.000 x 1.300 perbulan!
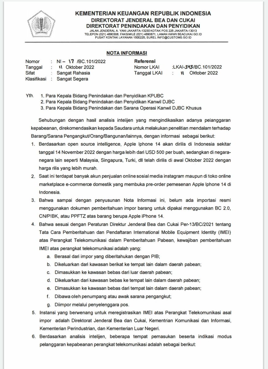
Selain dari Milenial Bea Cukai kami juga dapat bocoran nota informasi Kepala Subdurektorat Intelijen beserta lampirannya yg isinya mengkonfirmasi surat Milenial Bea Cukai tersebut. Berikut isi surat lengkapnya.
Selain nota informasi disertakan juga data Kanwil2 Bea Cukai dgn jumlah registrasi EMEI antara bulan Januari hingga September.
Dari beberapa nama yg dianggap terlibat dalam aksi fraud yg merugikan negara tersebut hanya satu pegawai yg diberi sanksi, itupun cuma berupa teguran tertulis. Itulah mungkin yg mendorong Milenial Bea Cukai membuat surat terbuka karena kesannya ada upaya saling melindungi
Sekian thread kami. Semoga Indonesia menjadi lebih baik.

• • •

Missing some Tweet in this thread? You can try to force a refresh
 

Keep Current with #99

#99 Profile picture

Stay in touch and get notified when new unrolls are available from this author!

Read all threads

This Thread may be Removed Anytime!

PDF

Twitter may remove this content at anytime! Save it as PDF for later use!

Try unrolling a thread yourself!

how to unroll video
  1. Follow @ThreadReaderApp to mention us!

  2. From a Twitter thread mention us with a keyword "unroll"
@threadreaderapp unroll

Practice here first or read more on our help page!

More from @PartaiSocmed

Mar 24
Calon Hakim Agung khusus pajak Triyono Martanto ini kaya banget. Total kekayaannya (yg dilaporkan ke LHKPNG) 51M! Hebatnya sebagian terbesar asetnya berupa kas atau setara kas alias rekening gendut. ImageImage
Rupanya beliau sejak lama sudah menjadi Hakim Pengadilan Pajak. Image
Tahun 2021 pencalonannya sebagai Hakim Agung pernah ditolak oleh DPR
cnnindonesia.com/nasional/20210…
Read 4 tweets
Mar 22
Selamat sore Pak Sekda Riau..
Numpang tanya apakah isteri Bapak seorang time traveler? Dalam klarifikasi Bapak tempo hari katanya isteri ke Turki sudah lama yaitu 2017-2019 tapi dari foto ajudan kok baru 10 Januari kemarin?
Just friendly reminder, ini klarifikasi Pak Sekda sendiri kan bukan klarifikasi jin KW?
Lalu mari kita cocokkan dgn postingan isteri Bapak sendiri (yg sudah di delete tentunya). Bulannya sama, Januari 2023.
Read 4 tweets
Mar 20
Hallo Pak Sekda Riau, Tas Hermès dan Sepatu Valentino anak Bapak ini asli atau KW juga?
Dan tas LV ini KW jugakah?
Dan Sandal Hermès yg dipakai anak Bapak ini KW atau pinjaman?
Read 5 tweets
Mar 18
Masha Allah isteri pegawai Setneg ngapain tutup akun segala? Image
Emang cakep sih mobilnya.. Image
Serba pinky.. Image
Read 12 tweets
Mar 17
Piye sih ini? Suaminya mengingatkan pejabat lain agar tidak hidup mewah tapi isterinya malah pamer Brompton dan liburan keliling dunia? ImageImage
Koleksi Brompton-nya banyak pula Image
Gowes dulu kita..
Read 17 tweets
Mar 12
Setelah dipelajari ternyata tas yg dipakai isterinya Sudarman Harja Saputra, Kepala Kantor Pertanahan Jaktim ini bukan sembarang Hermès tapi model Hermès Birkin Sellier yg harga barunya bisa mencapai setengah milyar! Coba bandingkan dgn harga rumah KPR-mu.
Daan.. utk birkin itu ternyata bukan utk sembarangan orang. Hanya mereka yg punya koleksi Hermès dan yg sudah punya riwayat belanja min "six figures" yg bisa dapat akses membelinya. Akan menarik jika @KPK_RI memeriksa koleksi tas isteri Kepala Kantor Pertanahan Jaktim kita ini
Sedangkan untuk gaunnya Elie Saab harganya US$ 12.457 atau hampir 200 juta
Read 6 tweets

Did Thread Reader help you today?

Support us! We are indie developers!


This site is made by just two indie developers on a laptop doing marketing, support and development! Read more about the story.

Become a Premium Member ($3/month or $30/year) and get exclusive features!

Become Premium

Don't want to be a Premium member but still want to support us?

Make a small donation by buying us coffee ($5) or help with server cost ($10)

Donate via Paypal

Or Donate anonymously using crypto!

Ethereum

0xfe58350B80634f60Fa6Dc149a72b4DFbc17D341E copy

Bitcoin

3ATGMxNzCUFzxpMCHL5sWSt4DVtS8UqXpi copy

Thank you for your support!

Follow Us on Twitter!

:(