John McCormack Profile picture
May 15 3 tweets 3 min read Twitter logo Read on Twitter
Colorado abortionist admits to @TheAtlantic most late-term abortions he performs involve healthy babies & moms.

He has even killed a baby girl simply because she was a girl.

theatlantic.com/politics/archi… ImageImageImageImage
Congressional Democrats and abortion organizations often claim elective late-term abortions never happen.

web.archive.org/web/2018120604… ImageImage
The abortion bill backed by almost every Democrat in Congress would create a right to abortion from viability until birth in all 50 states whenever a lone “health care provider” attests it is necessary to protect mental health.
nationalreview.com/2022/05/barbar…
Image

• • •

Missing some Tweet in this thread? You can try to force a refresh
 

Keep Current with John McCormack

John McCormack Profile picture

Stay in touch and get notified when new unrolls are available from this author!

Read all threads

This Thread may be Removed Anytime!

PDF

Twitter may remove this content at anytime! Save it as PDF for later use!

Try unrolling a thread yourself!

how to unroll video
  1. Follow @ThreadReaderApp to mention us!

  2. From a Twitter thread mention us with a keyword "unroll"
@threadreaderapp unroll

Practice here first or read more on our help page!

More from @McCormackJohn

Apr 14
Kemp, after signing 6-week limit, won by 8 points in a state Trump lost.

Ohio gov DeWine signed a 6-week limit and won by 25 points in a state Trump carried by 8 points.

Same story with Iowa gov Kim Reynolds, who won by 19 in a state Trump won by 8.

The Wisconsin Supreme Court election has big implications for state law, but electoral implications are overstated by many:

nationalreview.com/2023/04/the-cr… 2/ Image
At issue in Wisconsin was a ban throughout pregnancy with no exception for rape.

Florida’s 6-week limit has exceptions for rape, incest, fatal fetal abnormalities, and the life and physical health of the mother.

nationalreview.com/corner/florida… 3/
Read 9 tweets
Apr 13
5th Circuit: “it appears that the statute of limitations bars plaintiffs’ challenges to the Food and Drug Administration’s approval of mifepristone in 2000.”

storage.courtlistener.com/recap/gov.usco… Image
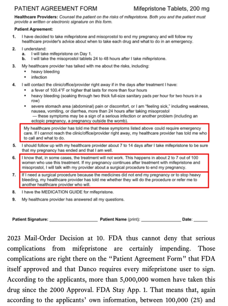
“Several doctors testified that they have seen an increasing number of women coming to the emergency room with complications from chemical abortions due to FDA’s virtual elimination of controls on the dispensing and administration of the drugs” under the Biden administration. ImageImageImageImage
Read 4 tweets
Nov 15, 2022
DCA “is experiencing gate hold and taxi delays lasting 15 minutes or less.” Image
This is Gaetz saying he can’t go to Mar-a-Lago because he has to comb his hair.
Read 4 tweets
Nov 14, 2022
Vance’s article conveniently skips over the question of whether a Republican can run in a primary as a snarling Bannonite who praises MTG without alienating some voters in the general election.
According to Vance, the main thing holding back GOP candidates was money.

But any normal Republican would have won in Georgia.

Only state where money might have made the difference was Nevada.
In Pennsylvania, Toomey would have won re-election.

McCormick was a stronger candidate than Trump-backed Oz, though possible Mastriano would have taken McCormick down with him.
Read 5 tweets
Nov 14, 2022
Puzzles for election truthers: Explain how the vote was rigged for Tony Evers but not Mandela Barnes in Wisconsin.

Explain how the vote was rigged against Masters but not Schweikert in Arizona.
Schweikert is a member of the Freedom Caucus.

(I know you’re being sarcastic)
I could add Kemp vs. Walker in Georgia, but the election truthers already believe Kemp rigged 2020 against Trump.
Read 5 tweets
Nov 13, 2022
If people (foolishly but) honestly believe Masters was an extra $10 million in campaign cash away from victory, wouldn’t they be just as angry with Thiel as they are with McConnell?
But, again, the whole premise that more ad spending could have swung this race several points toward Masters is pretty absurd.

Argument would be reasonable if Kelly’s margin of victory were less than a point. We’ll see where it ends up.
Point is that if you’re screaming at McConnell but not the billionaire who got Masters nominated, it’s pretty obvious you don’t really believe Masters lost due to insufficient spending on TV ads.
Read 5 tweets

Did Thread Reader help you today?

Support us! We are indie developers!


This site is made by just two indie developers on a laptop doing marketing, support and development! Read more about the story.

Become a Premium Member ($3/month or $30/year) and get exclusive features!

Become Premium

Don't want to be a Premium member but still want to support us?

Make a small donation by buying us coffee ($5) or help with server cost ($10)

Donate via Paypal

Or Donate anonymously using crypto!

Ethereum

0xfe58350B80634f60Fa6Dc149a72b4DFbc17D341E copy

Bitcoin

3ATGMxNzCUFzxpMCHL5sWSt4DVtS8UqXpi copy

Thank you for your support!

Follow Us on Twitter!

:(