Hoy voy a escribir un hilo sobre un tema que me flipa. De lo que más me gusta de las finanzas. Voy a hablar un poco de qué es el trading de cobertura. El único trading que (supuestamente) hacen las entidades bancarias. El único que les está permitido hacer. Image
Trading se puede hacer con todo tipo de instrumentos financieros. Hay un montón de mesas de trading, todas ellas con sus traders y sus quants. Esto es lo que en argot bancario se conoce como front office. Son los profesionales que más suelen cobrar junto con los banqueros de
inversión en este mundillo. Tenemos traders de rates (tipos de interés), traders de delta 1 (productos lineales, como swaps o futuros), traders de instrumentos de crédito (suelen solaparse con los de rates), traders de colaterales... Cada banco se lo monta de una forma distinta.
Los quants se front se dedican a darle soporte a los traders, a implementar modelos de valoración o incluso a diseñar ellos mismos estrategias de trading cuantitativo, convirtiéndose ellos mismos en traders. Hay bastante movilidad en front. Es muy común ver quants que acaben
de traders, por ejemplo. Los traders, por lo que me han contado, suelen retirarse cuando ya están hasta las pelotas a middle office, a hacer temas de riesgos, sobre todo. Los quants de riesgos en middle office ganan algo menos pero evidentemente tienen menos presión. Es un trade
off, valga la redundancia. En fin, ¿y qué demonios es un trader? Bueno, primero es importante mencionar que existen distintos tipos de trading. El trading propietario, el más conocido por las películas y demás, fue prohibido tras la crisis del 2008 por la ley Volcker.
En el trading propietario la propia entidad toma posiciones para operar en su propio beneficio. Es un tipo de trading de naturaleza especulativa, como os podréis imaginar. Es un trading que como ya he comentado los bancos no pueden hacer (aunque indirectamente lo hacen a veces),
pero esto no significa que todas las entidades lo tengan prohibido. Muchos fondos quant, no sujetos a la regulación bancaria, sí hacen trading propietario. Es el mundo de los variables gordísimos. Me hablaron de uno que se sacó aquí en España (ojo, en España, no UK) la friolera
de 150K de variable en un año. ¿Por qué estas entidades pueden hacer trading propietario y los bancos no? Básicamente porque al regulador se la pela si uno de estos fondos quant quiebran. ¿Por qué? Porque por lo general no tienen licencia para captar depósitos de la ciudadanía.
La mentalidad es "si quiebras, es tu problema". Eso en el caso de la banca no es así, pues un colapso bancario puede tener unas consecuencias sistémicas muy importantes, además de que los ciudadanos pueden ver cómo si el gobierno no interviene sus depósitos se esfuman.
La banca está por esta razón mucho más regulada. El trading prop tiene el problema de que trazar el límite entre el dinero de tus clientes y las posiciones que toma la entidad en su propio nombre es muy difícil. El riesgo se esparce como la pólvora. Una crisis de desconfianza
puede propagarse como un cáncer metastásico por todas las posiciones que tenga abierta la entidad, fulminándola en el acto. El negocio bancario es un negocio muy importante para el correcto funcionamiento de la economía pero también muy frágil. Y esto el regulador lo sabe.
Y actúa en consecuencia. Otro tipo de trading es el de arbitraje. Este trading está permitido, pero casi no se practica. Lo que busca el trading de arbitraje idílicamente es hacer P&L (profit and loses -> beneficio) positivo explotando las ineficiencias del mercado. El problema
de esto es que sobre el papel queda muy bien, pero como me dijeron una vez: ¿por qué casi nunca ves billetes de 50€ por la calle? Porque si a alguien se le cae, no va a estar esperando ahí el billete. Para ti. Alguien seguramente se lo lleve antes que tú.
De hecho, hay pelis sobre esto. Cuando los hedge funds están ahí a la caza, al milisegundo, intentando explotar oportunidades de arbitraje como sea. Evidentemente, con estos participantes en mercado, las entidades más pequeñas o tradicionales ni se esfuerzan en hacer este tipo
de trading. La mentalidad es que si tú ves una oportunidad de arbitraje, seguro que la ha visto alguien antes que tú. Si no la ha aprovechado él, por algo será. A lo mejor a priori la estrategia nos permite generar un P&L positivo pero nos fríen a comisiones. Esto ocurre con las
estrategias de trading en bolsa. Hay estrategias que a priori parecen muy chulas y haciendo backtesting decimos: joder, podríamos sacar un alfa positiva si aplicáramos esto. Ya, pero es que el problema es que si por cada compra o cada venta pagamos una comisión, puede que al
final la estrategia haga incluso underperformance respecto a otras más sencillas. En definitiva, que el trading de arbitraje suele ser un camino sin salida. Solo queda el trading de cobertura. ¿En qué consiste? Básicamente en inmunizar una cartera frente a sus factores de
riesgo. Conseguir que nuestro P&L sea un cero clavado. Eso es una cobertura perfecta. Ahora diréis, ¿y eso para qué sirve, si no ganas nada? Es que a lo mejor nuestra intención es proteger el valor de las inversiones de nuestros clientes, no jugar con su pasta para sacar
rentabilidad. Un ejemplo clásico de trading de cobertura de andar por casa sería una empresas muy intensiva en petróleo que compre futuros de petróleo para asegurarse frente a subidas. Su negocio no es especular, a lo mejor su negocio es fabricar automóviles. No le interesa
generar P&L, solo le interesa que subidas en los precios de las materias primas o movimientos en el tipo de cambio le hagan mucho daño. Por ejemplo. Y este trading es muy jodido. Inmunizar una cartera, con todo lo que ello conlleva, pues activos hay de todo tipo, implica manejar
muchos factores de riesgo al mismo tiempo. Tenemos que anular su efecto, contrarrestarlos. Pero cada factor de riesgo va por su cuenta. El ejemplo típico es el de una cartera de opciones. Tendríamos que hacer coberturas en las griegas más relevantes (delta, gamma y vega),
tal vez otras menos importantes pero que nos pueden jugar una mala pasada (volga y vanna) y también hacer una gestión constante de la superficie de volatilidad. Para un vencimiento fijo, un movimiento de la smile de volatilidad puede alterar el valor de las opciones.
Y cada cobertura se hace de una forma. La delta hedge o la cobertura de la delta se hace comprando y vendiendo subyacente. Sin embargo, la cobertura de vega se hace con opciones, por ejemplo con straddles o volatility swaps. En fin, un mundo apasionante.
Btw, todo esto son mates. Los traders, al menos los de opciones, a pesar de no ser quants necesitan un dominio bastante profundo de matemáticas. Las griegas son las derivadas parciales que salen de aproximar la opción por sus factores de riesgo (subyacente, vol, tipos...).
No hablamos de sumas, restas o proporciones. Las mates en el sector financiero, al menos para dedicarse a estas cosas, son un must. Sin ellas no entráis ni en el proceso.

• • •

Missing some Tweet in this thread? You can try to force a refresh
 

Keep Current with 𝑽𝒐𝒍𝒂𝒕𝒊𝒍𝒊𝒕𝒚'𝒔 𝒇𝒓𝒂𝒚

𝑽𝒐𝒍𝒂𝒕𝒊𝒍𝒊𝒕𝒚'𝒔 𝒇𝒓𝒂𝒚 Profile picture

Stay in touch and get notified when new unrolls are available from this author!

Read all threads

This Thread may be Removed Anytime!

PDF

Twitter may remove this content at anytime! Save it as PDF for later use!

Try unrolling a thread yourself!

how to unroll video
  1. Follow @ThreadReaderApp to mention us!

  2. From a Twitter thread mention us with a keyword "unroll"
@threadreaderapp unroll

Practice here first or read more on our help page!

More from @__ivan_init__

Jun 1
En el máster me dio clase de derivados, tipos de interés y modelos de volatilidad estocástica un tipo que es una locura. Un trader del BBVA que joder.

Igualito a muchos profesores de la pública que imparten cosas del estilo sin haber salido en su vida de la universidad.
Literalmente hicimos Excels como cabrones que simulaban casi completamente el trading book, pero a escala más pequeña. Coberturas, temas de IRS y swaptions... Yo no conocía lo que era un buen profesor hasta que vi a este tío.
Las clases que más me gustaron fueron las de gestión de las griegas de una cartera de opciones. Ahí ajustando el P&L de la cartera de cobertura añadiendo griegas. Metimos hasta la volga. Los ejemplos estaban cuidadosamente escogidos para ver situaciones históricas chungas.
Read 4 tweets
Jun 1
Al publicar la tesis fundacional de las matemáticas financieras, Bachelier cometió un error por el que los académicos de la época se cebaron con él: su modelo permitía precios negativos.

Un siglo después, Bachelier se cobraba su venganza: habían llegado los tipos negativos. Image
Con la llegada de los tipos de interés negativos, la industria financiera entró en una histeria total. ¿Qué hacemos ahora? Los marcos teóricos que tenemos no están preparados para recoger este fenómeno. En ese momento, los bancos, en concreto los traders y los quants, se
reunieron de urgencia para poner sobre la mesa soluciones. La elección de un modelo y otro tenía un impacto directo sobre las coberturas de los traders. Bancos con distintos modelos salían a mercado con coberturas distintas, y por tanto, con P&L que podían diferir en miles de
Read 7 tweets
Jun 1
La hipótesis fundamental de la teoría de la población multhussiana era muy explícita: la población crece a ritmo de progresión geométrica; los recursos, aritméticamente. Es decir, que en algún momento el planeta petaría.

Hoy ya se apunta a justo lo contrario ⬇️ Image
El crecimiento demográfico es el que posibilita el crecimiento de los recursos, pues al contrario de lo que mucha gente cree, el volumen de recursos a los que tenemos acceso no es constante. La variable relevante aquí es que el desarrollo económico consiga explotar recursos
antes inaccesibles. O incluso aprovechar lo que antes no se aprovechaba porque no había tecnología apropiada para hacerlo. Y el principal enemigo del desarrollo económico es el invierno demográfico. Malthus se equivocó literalmente en todo. Y lo de este sinvergüenza es brutal.
Read 6 tweets
May 31
Si tuviera que definir qué representa la varianza, diría que Twitter. Es alucinante. Te encuentras desde lo peorcito del género humano, gente resentida, ultrapolarizada e imbécil de solemnidad, hasta gente súper interesante, con muchísimo que aportar y de muy alto valor añadido.
Es una red social en ese sentido bastante dura, sobre todo para el primer tipo de gente. En LinkedIn todo el mundo se muestra artificial. Nadie se cree nada. Aquí la gente escribe muy a menudo. Es difícil o imposible disfrazarse durante tanto tiempo. Y es que por esa misma razón
Twitter acaba poniendo a todo el mundo en su sitio. He visto gente que en la "vida real" se pasea con unas ínfulas que produce verdadera vergüenza ajena. Pero parece que Twitter en ese sentido es totalmente inflexible, porque cuanto más habla un descerebrado, más se expone.
Read 4 tweets
May 31
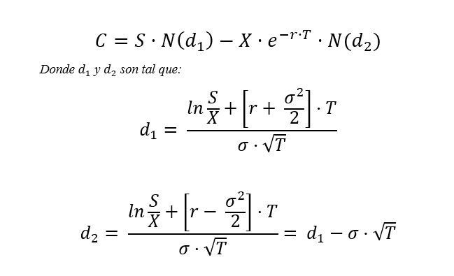
Esta es la fórmula de Black Scholes para una call. Básicamente sale de resolver la ecuación de Black Scholes con unas determinadas condiciones de contorno propias de la call vanilla.

Pues bien, ¿cómo rescatamos la volatilidad a partir del precio, que es lo que nos interesa? Image
Es decir, la fórmula de Black Scholes rara vez se usa para valorar. Generalmente las opciones, si son lo suficientemente líquidas, ya tienen un precio cotizado. La Black Scholes se usa al revés: se va desde el precio hasta la volatilidad implícita. ¿Por qué? Image
Porque la volatilidad implícita nos da un patrón homogéneo para medir el valor de una opción. A mí si me dices que una opción vale 100$ y otra 1000$, me estás diciendo muy poco. Necesito un valor en términos homogéneos. Los traders generalmente hablan de comprar un 20% de vol
Read 10 tweets
May 30
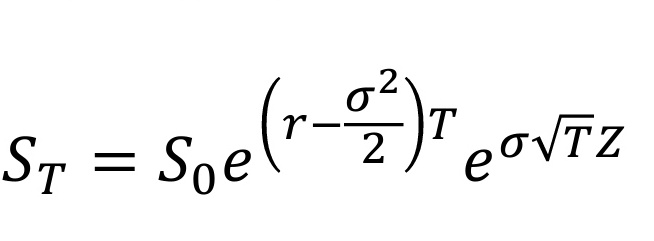
Black-Scholes fue una auténtica revolución en el campo de las finanzas no solo por su famosa fórmula, sino también por darnos una forma de modelizar la evolución del subyacente de un derivado.

Pero tiene limitaciones. Por eso nacieron los modelos de volatilidad estocástica. twitter.com/i/web/status/1… Image
En el marco Black Scholes, nos movemos a un mundo distinto. Imponemos nuestro juego de probabilidades risk neutral a través de la herramienta mágica de los quants: las martingalas. De hecho, supondremos que el subyacente dividido entre el numerario es una martingala lognormal. Image
De esta forma, implícitamente aplicamos un cambio de medida y volteamos el espacio de probabilidad. Si no te gusta la disposición de la mesa, gírala hasta que esté en la posición que a ti te convenga. El problema de esa evolución que veis arriba, que de alguna forma lo que está
Read 8 tweets

Did Thread Reader help you today?

Support us! We are indie developers!


This site is made by just two indie developers on a laptop doing marketing, support and development! Read more about the story.

Become a Premium Member ($3/month or $30/year) and get exclusive features!

Become Premium

Don't want to be a Premium member but still want to support us?

Make a small donation by buying us coffee ($5) or help with server cost ($10)

Donate via Paypal

Or Donate anonymously using crypto!

Ethereum

0xfe58350B80634f60Fa6Dc149a72b4DFbc17D341E copy

Bitcoin

3ATGMxNzCUFzxpMCHL5sWSt4DVtS8UqXpi copy

Thank you for your support!

Follow Us on Twitter!

:(