Julie Kelly 🇺🇸 Profile picture
Jun 21 5 tweets 3 min read Twitter logo Read on Twitter
NEW filing in case of Ryan Nichols, veteran and rescuer charged with multiple charges for J6.

Atty Joe McBride demands govt info on FBI informants, uncharged agitators incl Ray Epps, role of Sedition Hunters, and identity of one of the most mysterious provocateurs--1% Watchdog twitter.com/i/web/status/1… ImageImage
My article here is a footnote.

1% Watchdog created a "Stop the Steal" Zello private chat on Jan 1, added users then switched the channel to public right before the breach.

A reporter just happened to be there to report content of call in real time:

amgreatness.com/2022/09/15/the… twitter.com/i/web/status/1…
1% Watchdog--whom Judge Amit Mehta overseeing Oath Keepers case where this Zello chat was critical evidence against Jessica Watkins--had no interest in his identity.

Defense suspects 1% Watchdog is a fed: Image
Defense also wants info on another known agitator who ingratiated himself with Nichols, participated in events of Jan 6, but remains uncharged: ImageImage
Specific requests for govt files on uncharged individuals and role of informants. More on this later! ImageImage

• • •

Missing some Tweet in this thread? You can try to force a refresh
 

Keep Current with Julie Kelly 🇺🇸

Julie Kelly 🇺🇸 Profile picture

Stay in touch and get notified when new unrolls are available from this author!

Read all threads

This Thread may be Removed Anytime!

PDF

Twitter may remove this content at anytime! Save it as PDF for later use!

Try unrolling a thread yourself!

how to unroll video
  1. Follow @ThreadReaderApp to mention us!

  2. From a Twitter thread mention us with a keyword "unroll"
@threadreaderapp unroll

Practice here first or read more on our help page!

More from @julie_kelly2

Jun 16
Just a reminder how this whole thing started.

William Bosanko. the very self-important CEO of NARA, told House Intel what triggered their inquiry into missing presidential records was the fact Trump didn't give them the transition letter from Obama and letter from Kim Jong Un.… twitter.com/i/web/status/1… Image
Bosanko then claimed there was a list of missing items. When pressed by Rep. Stefanik for the list, he said there wasn't one. Kept referring to 2 letters 😂 Image
Bosanko also tried to evade answering questions about specificity of "missing" Trump records.

DOJ "put him on notice" that the matter was under investigation: ImageImage
Read 6 tweets
Jun 14
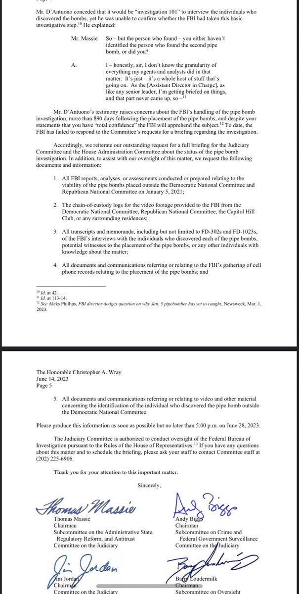
NEW: I’ve obtained ⁦@JudiciaryGOP⁩ letter disclosing details of interview with Steve D’Antuono, former Washington FBI field office chief who led pipe bomber investigation.

He disputes law enforcement analysis that bombs were “diversionary,” admits devices were inoperable. Image
Oh my. D’Antuono says cell phone data of one provider on Jan 5 was “corrupted”—FBI couldn’t detect cell phone of alleged bomber on January 5.

“With our luck” that would’ve happened to be provider of suspect. Cautions against “conspiracy theories” related to missing cell data: ImageImage
D’Antuono doesn’t know if FBI interviewed individual who located DNC device—unclear if FBI interviewed Karlin Younger, woman who happened to find pipe bomb outside RNC HQ launching first wave of panic and evacuations on Jan 6

Just too “granular” for his pay grade. Image
Read 5 tweets
Jun 13
DC appellate court also overturned Judge Howell's egregious order to deny release of Eric Munchel (zip tie guy) and his mother (a nurse), intervening after local judge authorized their release. They were inside for roughly 12 minutes.

She then ordered both transported to DC… twitter.com/i/web/status/1… Image
Every time I see one of these transport orders, it fries me. No need to move defendants to DC Gulag--court was under COVID restrictions at the time--except to torture them.

I believe Lisa Eisenhart was the only woman ordered to DC Gulag to await trial. (She committed no… twitter.com/i/web/status/1… ImageImage
The case was then transferred from Howell to Royce Lamberth (Reagan) who followed Howell's marching orders to keep both detained.

Quite the smackdown of Howell's court: ImageImage
Read 4 tweets
Jun 9
Trump made some terrible judicial picks (see everyone on DC District).

Aileen Cannon was one of his best. She called bullsh*t on DOJs classified docs case from start.

Some of her greatest hits from Sept 2022 special master order: Image
She totally busted DOJ for its history of leaking confidential investigatory info to the press to smear Trump Image
Cannon also busted govt for sloppy (intentional, no doubt) handling of evidence. She did not mince words ImageImage
Read 4 tweets
Jun 3
I've reported on this before but worth reposting some very interesting revelations in J6 committee interview with Jamie Fleet--who was staff director for House Adm committee AND senior advisor to Pelosi.

He admits they planned ahead of time for election objections on Jan 6: Image
Fleet -- a longtime Dem Hill staffer--said he knew in the summer of 2020 that Trump would claim the election was stolen so he started planning for "contingencies" Image
Democrats meet with Biden-Harris "team" to discuss what to do if Pence goes with Eastman strategy. Fleet admits security is on the back burner: Image
Read 4 tweets
May 30
DC US Atty Graves said this under oath: "Out office prosecutes all acts of violence, regardless of political motivation, the same."

He refused to say if he's investigating DC 2020 rioters. (He's not) But let's compare at least one case of the few NOT dropped related to 2020:
4 men arrested in late June 2020 as the terroristic threat against the White House continued. (Graves wasn't US Atty until Nov 2021.)

They were charged with a 1752 violation, a very common charge in J6 cases. All pleaded guilty in Sept 2021.

BUT Image
Graves did NOT ask for prison time for any defendant. (Set aside all rioters in video who shoved police, tore down govt fencing, trespassed, etc who didn't get charged.)

He only asked for probation and fines.

Now let's compare his sentencing request for J6ers on same charge: Image
Read 5 tweets

Did Thread Reader help you today?

Support us! We are indie developers!


This site is made by just two indie developers on a laptop doing marketing, support and development! Read more about the story.

Become a Premium Member ($3/month or $30/year) and get exclusive features!

Become Premium

Don't want to be a Premium member but still want to support us?

Make a small donation by buying us coffee ($5) or help with server cost ($10)

Donate via Paypal

Or Donate anonymously using crypto!

Ethereum

0xfe58350B80634f60Fa6Dc149a72b4DFbc17D341E copy

Bitcoin

3ATGMxNzCUFzxpMCHL5sWSt4DVtS8UqXpi copy

Thank you for your support!

Follow Us on Twitter!

:(