Ziming Liu Profile picture
May 1 24 tweets 7 min read Read on X
MLPs are so foundational, but are there alternatives? MLPs place activation functions on neurons, but can we instead place (learnable) activation functions on weights? Yes, we KAN! We propose Kolmogorov-Arnold Networks (KAN), which are more accurate and interpretable than MLPs.🧵
This is a joint work w/ @tegmark and awesome collaborators from MIT, Northeastern, IAIFI and Caltech.
@tegmark 1/N MLPs are foundational for today's deep learning architectures. Is there an alternative route/model? We consider a simple change to MLPs: moving activation functions from nodes (neurons) to edges (weights)! Image
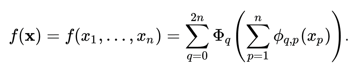
@tegmark 2/N This change sounds from nowhere at first, but it has rather deep connections to approximation theories in math. It turned out, Kolmogorov-Arnold representation corresponds to 2-Layer networks, with (learnable) activation functions on edges instead of on nodes. Image
@tegmark 3/N Inspired by the representation theorem, we explicitly parameterize the Kolmogorov-Arnold representation with neural networks. In honor of two great late mathematicians, Andrey Kolmogorov and Vladimir Arnold, we call them Kolmogorov-Arnold Networks (KANs). Image
@tegmark 4/N From the math aspect: MLPs are inspired by the universal approximation theorem (UAT), while KANs are inspired by the Kolmogorov-Arnold representation theorem (KART). Can a network achieve infinite accuracy with a fixed width? UAT says no, while KART says yes (w/ caveat).
5/N From the algorithmic aspect: KANs and MLPs are dual in the sense that -- MLPs have (usually fixed) activation functions on neurons, while KANs have (learnable) activation functions on weights. These 1D activation functions are parameterized as splines. Image
6/N From practical aspects: We find that KANs are more accurate and interpretable than MLPs, although we have to be honest that KANs are slower to train due to their learnable activation functions. Below we present our results.
7/N Neural scaling laws: KANs have much faster scaling than MLPs, which is mathematically grounded in the Kolmogorov-Arnold representation theorem. KAN's scaling exponent can also be achieved empirically. Image
8/N KANs are more accurate than MLPs in function fitting, e.g, fitting special functions. Image
9/N KANs are more accurate than MLPs in PDE solving, e.g, solving the Poisson equation. Image
10/N As a bonus, we also find KANs' natural ability to avoid catastrophic forgetting, at least in a toy case we tried. Image
11/N KANs are also interpretable. KANs can reveal compositional structures and variable dependence of synthetic datasets from symbolic formulas. Image
12/N Human users can interact with KANs to make them more interpretable. It’s easy to inject human inductive biases or domain knowledge into KANs. Image
13/N We used KANs to rediscover mathematical laws in knot theory. KANs not only reproduced Deepmind's results with much smaller networks and much more automation, KANs also discovered new formulas for signature and discovered new relations of knot invariants in unsupervised ways. Image
14/N In particular, Deepmind’s MLPs have ~300000 parameters, while our KANs only have ~200 parameters. KANs are immediately interpretable, while MLPs require feature attribution as post analysis.
15/N KANs are also helpful assistants or collaborators for scientists. We showed how KANs can help study Anderson localization, a type of phase transition in condensed matter physics. KANs make extraction of mobility edges super easy, either numerically, Image
16/N, or symbolically
Image
Image
17/N Given our empirical results, we believe that KANs will be a useful model/tool for AI + Science due to their accuracy, parameter efficiency and interpretability. The usefulness of KANs for machine learning-related tasks is more speculative and left for future work. Image
18/N Computation requirements:
All examples in our paper can be reproduced in less than 10 minutes on a single CPU (except for sweeping hyperparams). Admittedly, the scale of our problems are smaller than many machine learning tasks, but are typical for science-related tasks.
Also fun to collaborate (again) with my friend @RoyWang67103904 whom I knew from elementary school :)
19/N Why is training slow?
Reason 1: technical. learnable activation functions (splines) are more expensive to evaluate than fixed activation functions.
Reason 2: personal. The physicist in my body would suppress my coder personality so I didn't try (know) optimizing efficiency.
20/N Adapt to transformers: I have no idea how to do that, although a naive (but might be working!) extension is just replacing MLPs by KANs.

• • •

Missing some Tweet in this thread? You can try to force a refresh
 

Keep Current with Ziming Liu

Ziming Liu Profile picture

Stay in touch and get notified when new unrolls are available from this author!

Read all threads

This Thread may be Removed Anytime!

PDF

Twitter may remove this content at anytime! Save it as PDF for later use!

Try unrolling a thread yourself!

how to unroll video
  1. Follow @ThreadReaderApp to mention us!

  2. From a Twitter thread mention us with a keyword "unroll"
@threadreaderapp unroll

Practice here first or read more on our help page!

More from @ZimingLiu11

May 5, 2023
To make neural networks as modular as brains, We propose brain-inspired modular training, resulting in modular and interpretable networks! The ability to directly see modules with naked eyes can facilitate mechanistic interpretability. It’s nice to see how a “brain” grows in NN!
The paper can be found here: kindxiaoming.github.io/pdfs/BIMT.pdf
Joint work with @tegmark @ericgan02
Read 4 tweets

Did Thread Reader help you today?

Support us! We are indie developers!


This site is made by just two indie developers on a laptop doing marketing, support and development! Read more about the story.

Become a Premium Member ($3/month or $30/year) and get exclusive features!

Become Premium

Don't want to be a Premium member but still want to support us?

Make a small donation by buying us coffee ($5) or help with server cost ($10)

Donate via Paypal

Or Donate anonymously using crypto!

Ethereum

0xfe58350B80634f60Fa6Dc149a72b4DFbc17D341E copy

Bitcoin

3ATGMxNzCUFzxpMCHL5sWSt4DVtS8UqXpi copy

Thank you for your support!

Follow Us!

:(