Heatloss Profile picture
Jun 16 23 tweets 8 min read Read on X
The AIM-7E-2 "Dogfight Sparrow" is one of the least well-understood variants of the Sparrow, and yet one of the most important ones in the transition between the Sparrow as a bomber-hunter and the Sparrow as a dogfight missile. A short 🧵to explain the changes. Image
The first thing to get out of the way is the identification: the AIM-7E-2 is identical to the AIM-7E visually, except for black stripes on the forward wings. A common myth about the 7E-2 is that it incorporated "clipped wings", but this is wrong. (7E | 7E-2 pictured)
Image
Image
The biggest changes to the AIM-7E-2 were the decrease in the minimum range, from approximately 3,300 feet on the AIM-7E to 1,500 feet on the 7E-2 under ideal situations, and a significant increase in combat maneuverability.
Image
Image
These were accomplished first by decreasing the time between separation from the aircraft and arming/the beginning of guidance, and a different autopilot gain constant.
The arming time change should be self-explanatory, but the autopilot changes require some explanation.
AIM-7E-2 had two modes: Dogfight and Normal. The dogfight mode used a boosted autopilot gain constant to improve missile responsiveness to target signals, and therefore would turn harder, increasing the chance of a hit at short range.
An autopilot gain constant in missile guidance adjusts the magnitude of the commands being sent to the control surfaces by the autopilot.
The AIM-7E had automatic switching of some gain constants based on launch altitude and a variable gain value based on the closing velocity. Image
With gain constant C, optimized for high altitude, all incoming signals are processed as maximum value wing deflection commands to be multiplied by closing velocity.
Though this might seem like the best option, at lower altitudes it could cause instability and lowered max range. Image
Below constant C are two other gain constants, B and A. Most shots taken by AIM-7s in Vietnam were taken below 22,000 feet, and therefore used gain constant A, the least responsive.
Combined with the low closing velocity in stern-chase engagements, this meant poor responsiveness.
On the initial applications of the AIM-7E-2, the autopilot gain constant appears to have been changed before takeoff (the first excerpts, from PROJECT CHECO, are incomplete and non-technical).
In modified US Navy F-4s, this switching was automatically done by a digital computer.

Image
Image
Image
Although I don't have any details about this change besides what I've presented here, I've often seen it claimed that this doubled the short-range rear aspect/combat maneuverability of the AIM-7E-2 when compared to the "base model" AIM-7E. Image
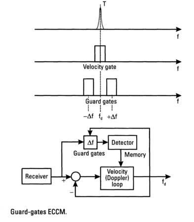
A less significant, but still noteworthy change was the introduction of something called "guard gates" to improve fuzing.

From what I can tell, before the AIM-7F, the Sparrow family relied on the target disappearing from the seeker radar returns to trigger warhead detonation.
To explain how these two sentences tie together, we need to go through a short refresher on the guidance of the AIM-7E.
The radar of the launching aircraft provides frequency-modulated continuous-wave RF energy. A triangular FMCW is shown below. The transmitted signal is in red, and the received signal is in green. Image
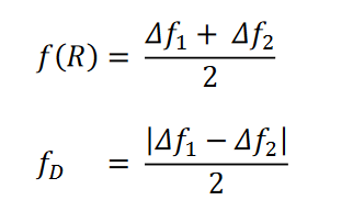
This looks very complicated, and it is, so we're going to skip most of it. But most of this exists to provide the transmitting radar range (f(R)) and velocity information (fD). For the purposes of the missile, we care primarily about the fD, or Doppler shift.
Image
Image
The Sparrow, being a semi-active missile, does not transmit the FMCW signal, so it has to have a separate receiver to allow the missile to compare the transmitted and received signals. The Sparrow III, as originally designed, locks on to the fD of the target. Image
Much like a range gate, a velocity gate tracks a target. However, it tracks it in velocity shift from transmitted frequency, rather than in range return. Image
Now for the problems this caused. In a rear-aspect launch against a MiG in Vietnam, the AIM-7E suffered greatly from early fuze detonations.
These could be caused by a plethora of different issues, but the primary ones were automatic gain control and jet engine modulation.
Automatic gain control allows a radar or seeker to filter out noise below a certain level, but if the target does not provide a strong enough return above the noise floor, the AGC could lower the strength of the target return enough to accidentally trigger the fuze of the AIM-7. Image
Jet engine modulation could also cause a similar issue.
From certain angles, the turbine blades of jet engines on fighters could provide a stronger Doppler return than the target itself, dragging the velocity gate off of the real target. Once the JEM faded away, the false target would disappear and the warhead would detonate early. Image
Now for guard gates. These are a pair of velocity gates adjacent to the main tracking gate that, when a target appears in them, interrupt the tracking loop and reset the guidance to "memory", or simulating the previously tracked real target, until the guard gates are empty.
Image
Image
In the AIM-7E-2, which incorporated these guard gates, the fuzing was far more reliable. Image
This finally allowed the AIM-7E-2 to make the jump from a bomber-destroyer to the first true "dogfight" radar missile. From here, lessons learned in its development would go on to influence the AIM-7F, which proved to be an exceptional dogfight missile.

• • •

Missing some Tweet in this thread? You can try to force a refresh
 

Keep Current with Heatloss

Heatloss Profile picture

Stay in touch and get notified when new unrolls are available from this author!

Read all threads

This Thread may be Removed Anytime!

PDF

Twitter may remove this content at anytime! Save it as PDF for later use!

Try unrolling a thread yourself!

how to unroll video
  1. Follow @ThreadReaderApp to mention us!

  2. From a Twitter thread mention us with a keyword "unroll"
@threadreaderapp unroll

Practice here first or read more on our help page!

More from @heatloss1986

Jun 6
Finally, more information on Diamondback!
There are a few frames in here which display the seeker design. This is fascinating. A short thread to describe what's going on:🧵
In short, this is another fantastic design out of China Lake. This is a dual mode seeker, likely using the lower error or stronger of the two returns at a given point in time, which allows for long range guidance over radar and short range, more accurate guidance over IR. Image
The mesh used for the radar reflector would have to be very thin wire, so as not to disrupt the IR signal. However, mesh makes for a very good radar reflector material. The radar reflector was likely angled to create a conical scan, like that of AIM-9C.
Read 9 tweets
Jun 4
The early F-106's Airborne Moving Target Indication (AMTI) system was an unusual method for dealing with the threat of Soviet bombers flying at low altitudes to avoid detection by radar. Though no pictures or official explanations exist, I think I can describe this system.🧵
First, I must admit that AMTI is only a partially correct method of describing the "clutter" function on the F-106's MA-1.
While it provided MTI based on target Doppler shift, it did so with a "coherent on receive only" system rather than a fully clutter-referenced MTI system.
Radar coherency is critical to Doppler processing. A fully coherent radar has a single, frequency-stable, continuous oscillator generating the frequency to be used by the radar. This is then amplified to produce the output power by a Klystron or Traveling Wave Tube. (Image: TWT) Image
Read 15 tweets
May 24
I've mentioned previously that I prefer the AV-8B to the earlier Harriers. This will be a short overview of the changes and improvements compared to the AV-8A. 🧵 Image
The first thing to consider is the point of the Harrier II. The USMC appreciated the flexibility that the Harrier I provided, but was concerned about low payload, short range, outdated avionics, and a poor safety record.
The Harrier II solved these issues.
Like usual, we're gonna start at the front with this one.
At the tip of the nose, the AN/ASB-19 Angle Rate Bombing system is covered by a glass dome. Right behind this, the aircraft computer is mounted, and the airframe structure is designed for but not with an APG-65 radar. Image
Read 15 tweets
May 9
A short thread on a less appreciated part of air-to-air missiles, the launchers. In this case, the LAU-7/A launcher for the AIM-9, as applied to the D/G/H. 🧵 Image
LAU-7/A had everything you needed for an AIM-9D. A power supply, a retaining assembly, fire control system tie-ins, a tone generator, safety devices, and most importantly, compressed gas.

Image
Image
Image
Dimensions. Image
Read 11 tweets
May 5
In 1958, the US began to search for an interceptor capable of shooting down bombers up to 100 nautical miles away. This eventually led to the F6D Missileer system program, built around an already-designed long-range missile.
This was the Bendix XAAM-N-10 Eagle.🧵 Image
Admin note: this is the first of the Eagle/APQ-81 threads, which will cover this missile and the radar and the F6D they were all supposed to go on. This will tie into the ASG-18/GAR-9/AIM-47 Falcon thread (much) later. You'll see.😉
The Eagle was a complicated missile, through and through. For the time period, it was by far the most ambitious missile, especially when combined with APQ-81, the colossal track-while-scan radar that the Eagle was paired with. Image
Read 15 tweets
May 3
In 1960, the Broad Jump program to upgrade the US Air Force's newest interceptor's radar, the F-106's MA-1 Automatic Weapon Control System, began. This would be a notable overhaul and improvement of the MA-1 system, giving it exceptional Electronic Protection capabilities. Image
The first systems added under Broad Jump were anti-chaff devices. One of these such devices was the leading/trailing edge range gate tracker. Normally a range gate operates as an evenly split gate, as described below. Image
A leading-edge range tracker sacrifices some range accuracy for electronic attack resistance. A trailing edge tracker works the same way, but in reverse. Image
Read 27 tweets

Did Thread Reader help you today?

Support us! We are indie developers!


This site is made by just two indie developers on a laptop doing marketing, support and development! Read more about the story.

Become a Premium Member ($3/month or $30/year) and get exclusive features!

Become Premium

Don't want to be a Premium member but still want to support us?

Make a small donation by buying us coffee ($5) or help with server cost ($10)

Donate via Paypal

Or Donate anonymously using crypto!

Ethereum

0xfe58350B80634f60Fa6Dc149a72b4DFbc17D341E copy

Bitcoin

3ATGMxNzCUFzxpMCHL5sWSt4DVtS8UqXpi copy

Thank you for your support!

Follow Us!

:(