Eyyup Akıncı Profile picture
Nov 29, 2024 9 tweets 6 min read Read on X
Yargıtay 1. Ceza Dairesi
Başkanı Osman ATALAY’ın başta infaz hesaplama tablosu olmak üzere 25 sayfadan ibaret son güncel pratik tablolar serisini ekliyorum.

1-) Hapis cezalarının ve adli para cezalarının infaza başlama sürecini anlatan tablo Image
Image
2-) Adli para cezalarında kesinlik sınırı tablosu Image
Image
Image
Image
3-) Şartla tahliye ve koşullu salıverilme ve denetimli serbestlik tablosu Image
Image
Image
4-) Şartla tahliye ve koşullu salıverilme tablosu-2 Image
Image
5-) 👉Ceza yasalarının zaman bakımından uygulama tablosu
👉Suçta tekerrür tablosu
👉Ertelenmiş suçlarda tekerrür tablosu
👉İkinci kez tekerrür tablosu Image
Image
Image
Image
6-) İstinaf ve temyiz kanun yolu tabloları Image
Image
Image
Image
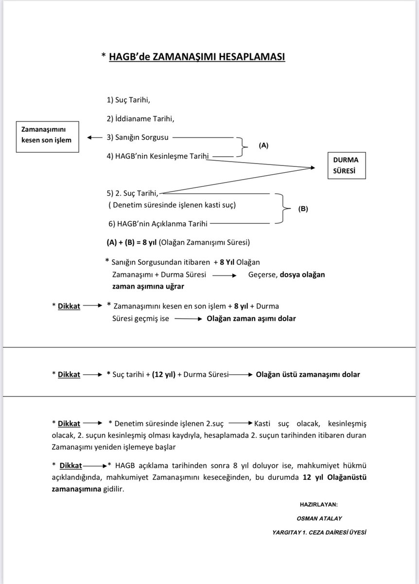
7-) Zamanaşımı tablosu

👉Dava zamanaşımı tablosu
👉HAGB lerde zamanaşımı tablosu Image
Image
Image
8-) Uzlaşmaya tabi tüm suçların tablosu Image
9-) Kasten yaralama ve kasten öldürme suçları ve cezalarının tablosu

(İddianamedeki sevk maddelerine göre ne ceza çıkar tablosu) Image
Image

• • •

Missing some Tweet in this thread? You can try to force a refresh
 

Keep Current with Eyyup Akıncı

Eyyup Akıncı Profile picture

Stay in touch and get notified when new unrolls are available from this author!

Read all threads

This Thread may be Removed Anytime!

PDF

Twitter may remove this content at anytime! Save it as PDF for later use!

Try unrolling a thread yourself!

how to unroll video
  1. Follow @ThreadReaderApp to mention us!

  2. From a Twitter thread mention us with a keyword "unroll"
@threadreaderapp unroll

Practice here first or read more on our help page!

More from @av_eyyup_akinci

Feb 3, 2024
BİR CMK PRATİĞİNDEN:

Bir soruşturmada kaç kişi avukatın sabrını zorlar

Bu soruya tüm birimler dersek yeridir. Karşılaştığımız tüm kamu görevlileri demiyoruz. Ama her bir birimin ayrı ayrı işi yokuşa süren personelleri vardır.

1-) Savcı:

Savcı yasal yayın yapan ve hakkında hiç bir soruşturma bulunmayan soruşturmanın konusu da olmayan bir yayınevinin logosunun resminin şüphelinin dijital inceleme raporunda telefonun resimler klasöründe çıkmasının sebebini örgütsel faaliyet çerçevesinde şüpheliye soruyor.

Müdafii olarak bize söz hakkı verildiğinde savcının sorduğu soruları karşı soru taktiği ile eleştiriyorum.

Öncelikle bu yayınevi ve yayınevinin logosunun isnat ile ilgisi nedir sayın savcı? Yayınevinin hangi yayını yasaklanmış, bu yayınevinin dahil edildiği bir soruşturma var mıdır? Yayınlarının dahil olduğu bir soruşturma var mıdır? Yasaklanan bir yayını var mıdır, bu logonun resimler klasöründe bulunmasının suç ile bağlantısı nedir?

Şüpheliye bu yayınevinin sorulması savcı olarak bu yayınevini bilmediğiniz için cahillikten mi kaynaklanıyor, yoksa şüpheliye sorulacak soru bulunmadığı için ifadenin ve dosyanın abartılmaya çalışılma çabası mı?

Savcı bir anda parladı. Burada soruları ben sorarım. Sen savunmanı yap.

Tabi bunları açıklayabilirseniz biz de neyi savunacağımızı öğrenmiş oluruz. İster bunu eleştiri kabul edin. İster cevap verin. Ama siz şüpheliye soru sorarken ben müdahale etmedim. Ben de savunma yapıyorum. Söylediklerimi zapta geçirin. Sorularıma savunma olarak mı soru olarak mı veya başka nasıl bir anlam vermek isterseniz verin.

Savcı yine müdahale etti avukat bey sen asıl sorulara karşı savunma yap.

Sen de sadece suç ile ilgili soru sorsaydın ya. Şüpheliye sormadığınız alakasız bir konuda mı savunma yapıyorum. İlgisiz ise niye sordunuz, soru ile müvekkili zan altında bıraktınız, gereksiz sorularla zamanımızı aldınız. Savunma yapılmasına gerek olmayan o soruları niye sordunuz o zaman?

Buyrun katibe yazdırın diyen savcı sorularımdan rahatsız olunca da bir anda katibe yazma ben not alırım sonra yazdırırım dedi.

Ben savunmamı yapıyorum. Yani savcıya yazdırıyorum. Savcı da önündeki boş sayfalara yazdığı savunmamı bu defa aynı ifadelerle katip aracılığıyla ifade tutanağına yazdırıyor.

Savcı not alıp kendisi yazdırınca da eksik yazdırdı. Müdahale edince de söylediklerinizi yazdırdım diyerek ekleme yapmak istemedi. Bu defa da yazdırdınız ama eksik not almasaydınız ve eksik yazdırmasaydınız ben de müdahale etmezdim.
….
2-) Adliyenin güvenlik görevlileri ve kalem personeli:

Savcılık ifadesinden sonra duruşma salonlarının önünde sevkleri bekliyoruz.

Dosya sulh cezaya geldi hakimlere dağıtımlar yapıldı. Listeler güvenliklere verildi. Güvenlik listeleri vermiyor. Duruşma salonu önüne astığımızda görürsünüz diyor. Mahkeme kalemi kimin hangi mahkemeye sevk edildiğini söylemiyor. Ve gece saat 9 suları…

Çıkıp gidesim var… saatlerce bekleterek ama bekleyen meslektaşlarıma aileleri bekleyen diğer memurlara haksızlık etmiş olurum düşüncesiyle la havle çektim geçtim.
3-) Sulh Ceza Hakimliği:

Her zaman için sorgu başlamadan savcının sevk yazısını isterim. Gizlilik kararı olmayan dosyaları her zaman inceleme imkanı var. Ancak gizlilik kararı olan dosyalarda özellikle sevk yazısı veya gerekçeler savunmaya da yol gösterici olabiliyor.

Sorguda sorgusu yapılacak olan son şüphelinin avukatı olmama rağmen dikkat ettim de avukatlar sevk gerekçelerini öğrenmeden savunma yapmış. Çünkü bu soruyu sorduğumda hakimler hep şaşkınlıkla sevk yazısını arayıp çıkarıyor ve okuyorlar. Bundan da kimsenin sormadığını anlıyorum.

Sorgu hakiminin kalemi sevk yazısını vermeye yanaşmayınca sorgu sırasında hakimden duruşmada tutuklama isteminin gerekçelerini sormayı unutmamak gerek.

Bu talep aynı zamanda tutuklama istemini sevk gerekçeleri çerçevesinde değerlendirilmesini de sağlar.

Hakime hanım, avukat bey savcılık ifadesinde yok muydunuz?

Vardık ama ifadeyi alan savcı hangi gerekçelerle sevk etmiş, hangi isnatlarla tutuklanmasını talep ediyor, tam anlamıyla müvekkilimin hangi suçtan tutuklanmasını talep ediyor… Bunu bilmeden nasıl savunma yapacaz?

Savunma sırasında da hakim yine müdahale etti. Avukat bey savcılıkta savcı size söz hakkı verdiğinde savunma yapmadınız mı?

Savcı beye aldığı ifade çerçevesinde tutuklamaya sevk etmemesi ve salıverilmesi gerektiğinin savunmasını yaptım. Burda savcının tutuklama isteminin gerekçeleri çerçevesinde istemin reddi gerektiğini savunuyorum.

Tamam ama benzer şeyler. Orada yaptıysanız burda ne gerek var.

O savcı idi. Siz hakim. Yeterli ise niye kanun beni sizin karşınıza çıkarıyor, kanun neden savcıya sevk yazısı ve tutuklama isteminde bulunma zorunluluğu getiriyor, siz neden sorgu yapıyorsunuz, avukat neden atanır? Avukatsız sorgu yapın gitsin o zaman. Hatta savcı tutuklasın biz neden birbirimizi yoruyoruz ki?

Netice hakim savunmamı sonuna kadar dinledi sağolsun…
Read 9 tweets
Aug 25, 2023
Mutfağından CMK Pratikleri 2

Olay: İşyerinde gece araması, el koyma, yakalama, gözaltı ve ifade

İddia: silah ticareti.
1-) Yakalanan şüphelinin aramaya katılması:

Olay yerine varır varmaz müvekkilimi sordum….

-P(polis)müvekkilin hakkında yakalama yaptık arabaya koyduk.
-M: işyerinde arama yerinde tutmanız ve nezaretinde arama yapmanız gerekmez mi
- P: Biz yakaladıklarımızı aramaya eşlik ettirmiyoruz.
-M(ben): Müvekkilim arama işleminde hazır bulunmak istiyor.
- P: ya kaçarsa…
- M: beni ilgilendirmez, aramada hazır bulunmak hakkı.

Neticede müvekkili getirdiler ve arama boyunca yanımızda bizzat bulundu. İşlemlere katıldı. El koyma işlemlerine şahitlik etmiş oldu

Müvekkiliniz aramaya katılabilir ve siz de arama işlemi esnasında hazır bulunabilirsiniz. Hiçbir gerekçe ile bu talebiniz engellenemez.
2-) Arama kararı ve aranan yer:

Akabinde arama kararını sordum ve inceledikten sonra arama işleminde hazır bulundum.

3 adres hakkında arama kararı var. Yalnız adresler eksik ve yetersiz yazılmış.

Çatıya çıkıyoruz. Arama kararı alt katta arama yapan memurlarda kaldığından

M: Aramanın bu çatı ile ilgili olduğunu ispatlayın.

P: arama kararında burası yazıyor.

M: telefonun ses kaydını açtım ve müvekkile burayı tarif et arama kararı bu adresle ilgili değilse burdan aldıkları herşey hukuka aykırı elde edilen delil olur ve polisler de suç işlemiş olurlar

Arama kararında adresin yanlış yazılması kolluğun sorunudur. Adres net bir şekilde yazılmalı ve ancak arama kararında yazılı olan yer aranabilir.
Read 13 tweets
Aug 17, 2023
1️⃣ (1-11) Haksız yakalama gözaltı ve tutuklama işlemi için CMK 141 başvurusu yapacaklar için güzel bir emsal karar 👇👉 (Yavuz Yakışkan, B. No: 2020/28007, 13/4/2023, § …)

Kararı herkes okur ama dava dilekçesine nasıl işlenmeli bilinmiyor.

İlgililer için bu kararı kısaca bu bağlamda değerlendirmek isterim 👇👇👇
2️⃣Başvurucu 5/4/2017 tarihinden 18/4/2017 tarihine kadar gözaltında kalmıştır.

AYM Ağır ceza mahkemesinin 4000 tl olarak verdiği manevi tazminatı yetersiz görmüş ve 15.000 TL daha manevi tazminat verilmesine karar vermiş.

Aynı durumda olanların başvurusu neden reddedilmektedir?

Cevabını da vermeye çalışacam. 👇
3️⃣AYM, CMK 141 uyarınca yapılan BB’larda vurgu yaptığı ve ilgili hukuk başlığında yer verdiği önemli bir karar var. 👉A.A. [GK], B. No: 2017/34502, 21/10/2021.

Dava dilekçesini hazırlarken bu kararı incelemenizde fayda var. Kriterleri açıkladığı önemli bir karar.
Read 11 tweets
May 26, 2023
Mutfağından CMK pratikleri:

1- Gece ifade alma

saat 22.15 sularında beni arayan polislerle aramda şöyle bir hadise geçmiştir.

+gündüzler çuvala mı girdi memur bey
- avukat bey işimiz vardı ancak hazırlayabildik ifadesini
+ gece dinlenme zamanıdır.
- ne yapabiliriz ki?
+ yarın saat 9 da ifadeye katılmaya gelirim.
-biz de barodan isteriz
+ ben önce baroyu arayacam gece ifade alınması yasak sorgu usullerindendir. Atama yapılmasını engellerim.
- savcı yarın mevcutlu istiyor. Seçim öncesi bitirmeliyiz.
+ o da savcının sorunu ek gözaltı alsın beni ilgilendirmez.
- avukat bey işi yokuşa sürmeyin.
+ Gece sizin nöbetiniz var ve nöbetinizi değerlendirmek istediğiniz için biz ve müvekkilim gece ifade vermek zorunda değiliz savcı ile görüşün biz gece ifade vermiyoruz.
Read 35 tweets

Did Thread Reader help you today?

Support us! We are indie developers!


This site is made by just two indie developers on a laptop doing marketing, support and development! Read more about the story.

Become a Premium Member ($3/month or $30/year) and get exclusive features!

Become Premium

Don't want to be a Premium member but still want to support us?

Make a small donation by buying us coffee ($5) or help with server cost ($10)

Donate via Paypal

Or Donate anonymously using crypto!

Ethereum

0xfe58350B80634f60Fa6Dc149a72b4DFbc17D341E copy

Bitcoin

3ATGMxNzCUFzxpMCHL5sWSt4DVtS8UqXpi copy

Thank you for your support!

Follow Us!

:(