Prez Profile picture
Dec 26, 2024 23 tweets 10 min read Read on X
This new Chinese jet has really thrown people for a loop. A lot are pushing this as a “6th Gen Fighter” b/c it shares a lot of vague commonalities with the NGAD artistic depictions. I don’t believe this to be the case, but there’s still a lot to be inferred from the pics so far— Image
Let’s talk shape since it’s what has blown people away the most. The tailless, compound delta wing design is extremely reminiscent of NGAD depictions. Do they fulfill the same role? Idk, I’m not on either design team. But this is still a clear indication of intent— Image
Image
The compound delta suggests a very strong intent to produce a very high speed, long range platform. Tons of lift provided for cruising, and the high sweep angles promote very high top speeds. I estimate a ~67 and ~55 deg swept wing. Much higher than your typical fighter—
For comparison, most fighters have between a 40 and 45 degree wing to allow for high speed and (very importantly) maneuverability. Even the mighty MiG-25 of Mach 3 fame had a ~42 deg wing. Another benefit arises from this extreme sweep angle. Improved stealth—
Famously, the F-117 has a ~67 deg swept wing! This suggests an intent to defeat low frequency search radars since they care less about angles than your typical X-band, but this also more thoroughly defeats medium freq like S & L bands. Very indicative of a penetration platform— Image
Image
We can further see the indication that this will be a high speed platform through the use of CARET inlets (a la F-22). Notably less stealthy than the DSI inlets of the F-35/J-20, but removes the inlet spiked cowl decreasing parasitic drag during supersonic flight— Image
Image
Image
Talking control surfaces is important here since this is the first piloted, tailless design we’ve seen from China. First note is simply the insane amount of control surfaces that make up the trailing edge of this plane. I count at least 10 independently moveable surfaces here— Image
Starting with the outermost surfaces, we have split rudders similar to, say, the B-2/21. This suggests a need for variable control based on flight profile. This furthers the high speed hypothesis as one large split rudder may be too much control, but required at low speed— Image
Image
Looking inward, we have 6 total elevons. Why so many? I’m really not sure. Again, perhaps an indication of need for a large continuous surface for low speed handling, but refined control for extremely high speed flight regimes. There’s another more important detail here tho—
Note the 6 actuator protrusions. Something seen on almost all stealth designs today. This suggests China is somewhat behind in actuator design as the F-35 notably omits these to improve stealth qualities on the wing and tail. So perhaps not as 6th gen as people think ;) — Image
Image
While we’re back here, let’s talk engines. The most fascinating thing is the triple engine design inferred from the sort of awkward top mounted DSI intake, and the noticeable middle bump between the more obvious twin engine exhausts. My initial thought was perhaps— Image
Image
A high efficiency medium or high bypass turbofan for long range. Now, I’m more inclined to believe it to be a ramjet. Top mounted intakes are not known for their high-AoA performance, so it leads to the thought of an engine that operates best in straight line flight conditions.—
All the other points made prior further bolster the “High Speed Hypothesis” and a possible ramjet would make sense for a large top mounted intake. Besides this, we can assume the 2 regular engines are of the WS-10 family which is proliferated on pretty much all PLA fighters.—
This is further inferred given the size of this aircraft. Notably much larger than the J-20, but still quite small for a bomber. This lends itself to being a tactical or even medium strategic strike platform similar, again, to the F-117.— Image
Furthermore, the large delta wing means ample space for fuel, and with it being larger than the J-20 at an advertized combat radius of 1200NM (2000km), this new platform may be capable of at least 2000NM. A necessity for operating in the vastness of the Pacific Orient.—
It’s hard to tell w/out front shots of this jet, but given its large, wide body, lack of an obvious bubble canopy and comparing it to the new twin seat J-20S, the new platform could be a side-by-side configuration a la F-111 or Su-34. Furthering itself as a strike platform.— Image
Image
This isn’t to say it can’t perform the air superiority role as we’ll see in a moment, but it just doesn’t make sense to push that capability out there when the J-20 and J-35 are very new designs while the PLAAF bomber and attacker fleets are aging into oblivion.—
Can it do A2A tho? The weapon bay configuration lends itself to the idea that it can use very large, long range missiles such as the PL-17 only really seen on the J-16. This also means the ability to carry large cruise missiles/PGM internally and still hold A2A for self-escort.— Image
Image
There’s no visible EOTS-esque system anywhere on the underside, so how does this thing do ground targeting? My theory is that it’s again a more strategic strike platform like the B-2/21. There aren’t any noticeable serrations on the nose to infer a typical forward looking array—
However, there are noticeable discolored side panels to suggest more side looking arrays in a similar configuration to the B-2. This would provide extremely capable SAR mapping and air-to-surface target designation capabilities before target approach. Image
Image
Image
I’d assume some sort of forward looking array to be installed, but it’s hard to tell at this moment. There’s also those very obvious glass windows forward of the discolored panels. Perhaps a side looking infrared system? Maybe just extra pilot visibility :P Image
Image
A final bit is the main landing gear for this beast. Doubled up gear means this thing is HEAVY. Furthering the hypothesis of a strike platform, and if correct, we can expect MTOWs of up to and over 100k lbs (45k kg)! This really puts it into a whole other category.— Image
Image
This is all completely speculative hearsay tho, so just stay open-minded. It’ll be very interesting to see what comes of it, and what its true capabilities are. Anyways, thank you very much for reading, and if I missed anything that you may have noticed please let me know :D

• • •

Missing some Tweet in this thread? You can try to force a refresh
 

Keep Current with Prez

Prez Profile picture

Stay in touch and get notified when new unrolls are available from this author!

Read all threads

This Thread may be Removed Anytime!

PDF

Twitter may remove this content at anytime! Save it as PDF for later use!

Try unrolling a thread yourself!

how to unroll video
  1. Follow @ThreadReaderApp to mention us!

  2. From a Twitter thread mention us with a keyword "unroll"
@threadreaderapp unroll

Practice here first or read more on our help page!

More from @PrezGHz

Jun 13, 2025
The Guidance Methodology of the S-75 Surface-to-Air Missile System aka SA-2 Guideline

Note: This is just a basic description. If you wish to see the math and explanations, please click the link at the end of the thread to view the full article on my FREE Substack.Image
Introduction to the S-75 Guidance Logic

The S-75 missiles (known as V-750, 755, 759, or 760 depending on version) guide to target via “Command Guidance”. This means the missile maneuvers in relation to the target solely through commands issued from the guidance station (RSN-75) similar to how a remote controlled drone functions. Therefore, the missile can be extremely simple in construction only requiring a way to receive command signals from the guidance station. This is unlike most modern missiles which have some sort of component for onboard computation in tandem with a radar or electro-optical seeker to intercept the target either on its own or with aid from an off-board command unit. The simplicity of the guidance method is further understood when we note that the S-75 only requires three measurements to generate an intercept solution. These are the slant range from the RSN-75 to the target and missile, the elevation angle (denoted as Epsilon) of the RSN-75 antenna wrt the horizon, and the azimuth angle (denoted as Beta) of the RSN-75 wrt true north. Using these measurements with respect to time, the RSN-75 can calculate everything necessary from target velocity, altitude, and very importantly the “cross-range” distance which is the minimum distance the target will be if it remains on its current course.

The primary issue that stems from the use of command guidance is the inaccuracy that is generated by the system as the missile attempts to intercept the target at greater range. The reason this occurs is almost entirely due to the difficulty in calculating the missile’s kinetic trajectory after the rocket motor runs out of fuel. Because of this, the S-75 only had an accurate interception range of roughly 36 km upon introduction. The S-75 could intercept targets much further after the introduction of the V-755 missile and its derivatives thanks to a new automatic throttleable engine. This increased range to about 43 km against supersonic targets, and 56 km against cooperative subsonic targets.

The S-75’s guidance loop is simple. First, the RSN-75 detects and tracks the target. The missile location is either estimated and/or directly observed in flight by the RSN-75. This information is passed to the “Coordinate Determination System” (SOK) that calculates where in space the target and missile are in relation to the RSN-75. These values are then sent to the “Command Generation System” (SVK) to calculate the error between where the missile is and where it should be so corrective commands can be generated and sent to the missile via the P-16 command signal antenna. The target continues to be observed, the missile corrections are observed by the RSN-75, and the cycle repeats until either a successful or failed missile intercept occurs. Up to three missiles may be commanded on a single target at any given time.

One last note is that for the first 5-6 seconds after launch, the missile flies to the target completely uncontrolled. The purpose of this is two fold. First, this ensures that enough altitude is achieved such that large corrections early in the flight do not cause the missile to strike the ground and thus terminate the intercept. Second, the large plume of the initial rocket booster stage and ignition of the primary missile motor essentially jam radio frequency transmission, so this ensures that when guidance begins the signals are not disrupted thus causing errors in missile control.Image
Determining Target Location

The standard RSN-75 consists of two perpendicular 10 cm wavelength rectangular antennas (P-11V for azimuth and P-12V for elevation) that produce 1x10 degree fan-shaped beams. Both beams scan a 20 degree wide pattern which creates a 10x10 degree box at the center where the beams intersect. This allows simultaneous determination of the azimuth and elevation coordinates. A fighter can be detected at up to 80 km with these antennas and bombers up to 150 km. Later upgrades included narrow beam antennas (P-13V for azimuth and P-14V for elevation) that are of the typical paraboloid design with 1.7 degree pencil beams that scanned in a 7.5 degree wide pattern or focused on the target in a method known as “Lobe-On-Receive-Only” or “LORO”. This improved fighter-size target detection range up to 130 km. The RSN-75 can track a target 360 degrees in azimuth, and 6 to 70 degrees in elevation. Note that while the minimum scan elevation is 6 degrees with the wide beam antenna, the system still scans all the way to the floor since this 6 degrees is just the center of the scan which is up to 20 degrees wide. The specific azimuth and elevation of the target can be determined by the radar operator manually centering the vertical and horizontal beams on the target image presented on their screens.

Once centered, the operator can enable automatic tracking of the target image. Tracking is maintained by measuring angular errors in the radar echo from the target between radar pulses. These angular errors are measured as voltages either positive or negative depending on where the target is relative to the center of the beam. This tells the system which direction to move the antenna to maintain the correct tracking direction. Working in tandem with a dedicated search radar, such as the P-18 “Spoon Rest”, initial target azimuth can be automatically commanded via an azimuth input in the search radar’s control station.

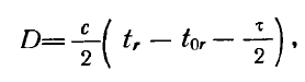
Once tracking of target elevation and azimuth is achieved, slant range to target can be determined. To do this, the RSN-75 emits its radar pulse alongside an internal reference pulse that is half the width and placed in the leading half of the radar pulse. When a return is received, another reference pulse is generated exactly 45 microseconds after. By measuring the time difference between the reference pulses and adding the 45 microseconds between the echo and reference pulse, the total travel time of the radar wave can be calculated thus allowing the system to calculate slant range with a simple mathematical calculation (illustrated in the attached images). Solving for Distance, D, we get: distance equals half the speed of light multiplied by the difference of the measured ranging time, echo reference pulse and half the pulse width.Image
Image
Image
Image
Read 8 tweets
Nov 18, 2024
When people talk about stealth aircraft performing air combat, it’s often stuck in the mindset of 4th Gen fights or simply fighting an inferior enemy. People love to taut on about how great stealth is, but always fail to think about what happens when the enemy is also stealthy. Image
For ex., people that don’t know much outside of Wikipedia articles will tell you things like thrust vectoring don’t matter when “le AIM-120D has 100 mile range!”. This of course doesn’t account for even the slightest bit of EW denying shots at that range let alone against stealth Image
Stealth, first and foremost, denies detection+tracking at range. This allows it to penetrate airspace a non-stealth craft would instantly explode in. By the time you get a solid weapons grade track on a stealth craft, he’d certainly be in range so 100NM AMRAAM(tm) doesn’t matter Image
Read 15 tweets
Oct 26, 2024
I think there is a very interesting doctrinal contrast to be made with Soviet vs US air superiority missions and how that lead to the ultimate design of the systems within the aircraft, not simply the airframes themselves. Let's contrast the Su-27 and F-15 of the 80s.-- Image
Now, my interest in this was renewed by a casual, tangential convo with @Combination_K earlier today on this very subject. The Su-27 and F-15 are often times seen as practically identical in purpose from the outside: large, long-range, high endurance air-superiority fighters.--
The primary topic of this talk was the radars. That being the APG-63 and the N001 radars. Both are large, modern PD-mech radars. However, their employment was very different which is where doctrine can be seen as the primary director of ultimate design. Where the USAF/USANG-- Image
Image
Read 16 tweets
Aug 3, 2024
The year is 202X. Through the fog of war, thickened by electronic warfare, you’ve accidentally merged w/ the enemy. It’s a clean head-on just like the movies. As you pass, the only question you ask yourself is: one circle or two? ITT: dogfighting in the age of the HOBS missile. Image
But what’s a HOBS missile? HOBS = High Off Boresight. Meaning the missile is able to launch at a target far off the direction of the launching aircraft’s nose. Now, this technology isn’t brand new. As far back as the AIM-9D(1965), the ability to shoot HOBS was made. Image
At the time, this was only 25 degrees. The AIM-9E’s Sidewinder Extended Acquisition Mode (SEAM) allowed the ability to acquire the lock off boresight as well! The AIM-9L/M enhanced this angle up to 40 degrees allowing pilots to give the missile extra lead for better hit chance. Image
Read 17 tweets

Did Thread Reader help you today?

Support us! We are indie developers!


This site is made by just two indie developers on a laptop doing marketing, support and development! Read more about the story.

Become a Premium Member ($3/month or $30/year) and get exclusive features!

Become Premium

Don't want to be a Premium member but still want to support us?

Make a small donation by buying us coffee ($5) or help with server cost ($10)

Donate via Paypal

Or Donate anonymously using crypto!

Ethereum

0xfe58350B80634f60Fa6Dc149a72b4DFbc17D341E copy

Bitcoin

3ATGMxNzCUFzxpMCHL5sWSt4DVtS8UqXpi copy

Thank you for your support!

Follow Us!

:(