Odessa Orlewicz Profile picture
Feb 4, 2025 2 tweets 1 min read Read on X
Breaking:
Pilot who didn't know he was being recorded is caught admitting to regularly dumping T0XIC chemicals from his plane all over humanity and nature. Important to listen to the whole 18 minute episode... Video of him at the end as well. This proves to the deniers it is not conspiracy theory. Please share widely.

• • •

Missing some Tweet in this thread? You can try to force a refresh
 

Keep Current with Odessa Orlewicz

Odessa Orlewicz Profile picture

Stay in touch and get notified when new unrolls are available from this author!

Read all threads

This Thread may be Removed Anytime!

PDF

Twitter may remove this content at anytime! Save it as PDF for later use!

Try unrolling a thread yourself!

how to unroll video
  1. Follow @ThreadReaderApp to mention us!

  2. From a Twitter thread mention us with a keyword "unroll"
@threadreaderapp unroll

Practice here first or read more on our help page!

More from @OdessaOrlewicz

Jan 9, 2025
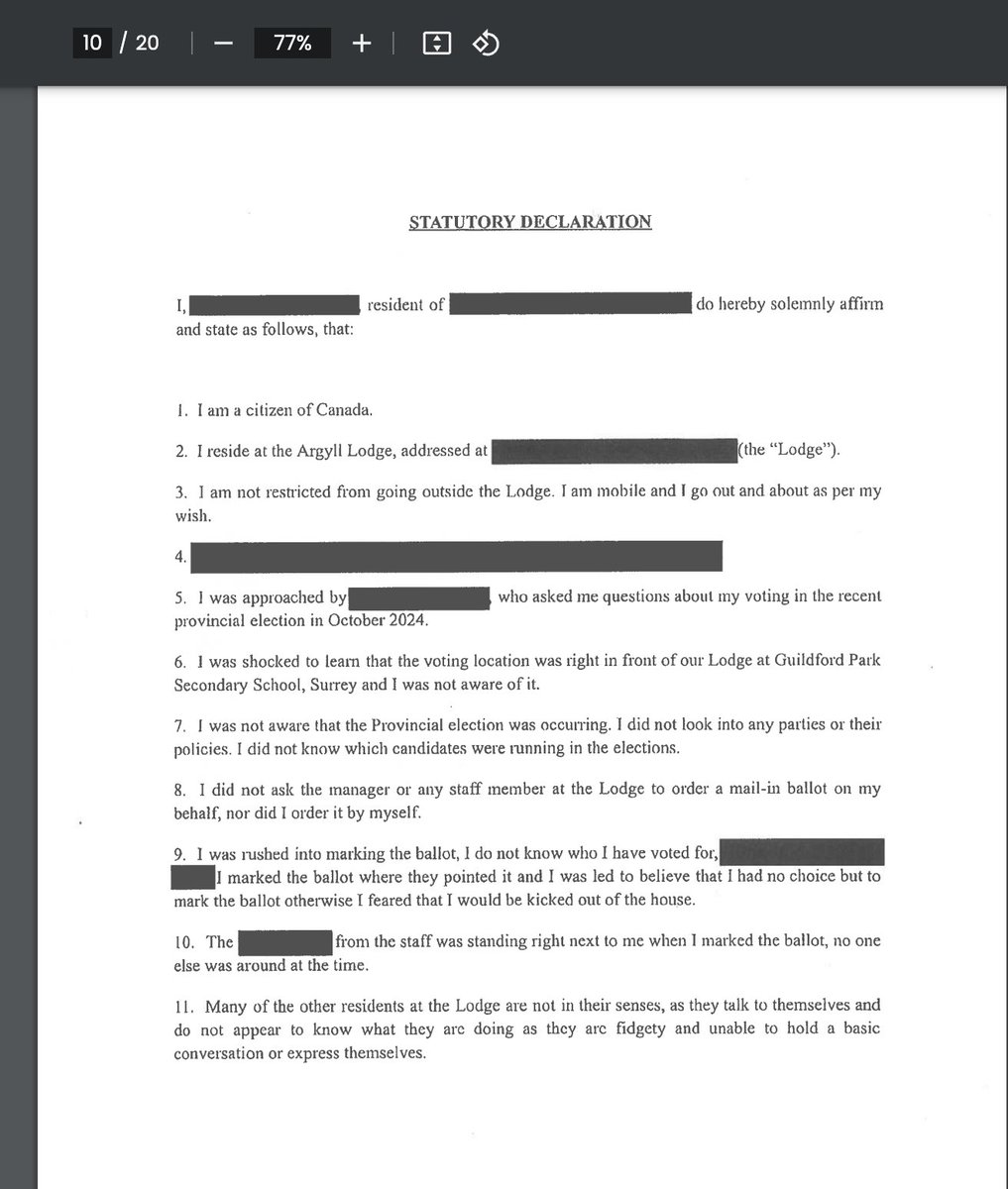
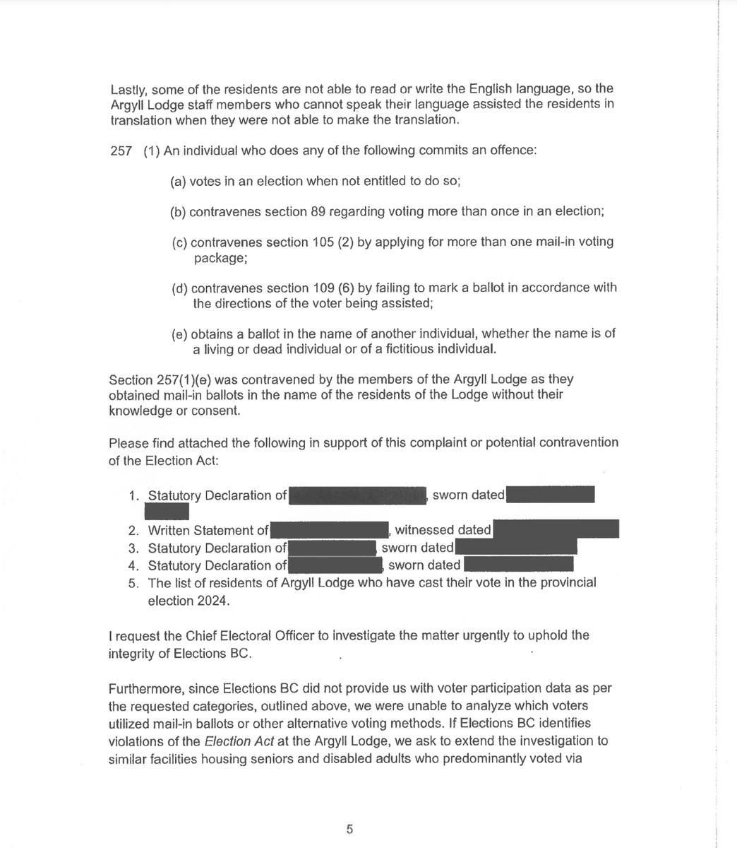
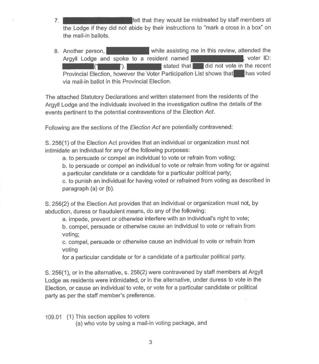
Here is the ENTIRE package that BC media received with MORE intricate details about the alleged possible election fraud by the BC NDP and/or their supporters during the recent BC election. There's a total of 20 pages so there are 4 per post and the rest are in the comments section:Image
Image
Image
Image
Image
Image
Image
Image
Image
Image
Image
Image
Read 5 tweets
Nov 10, 2024
Just for the record I live in the most corrupted province with the most corrupted health authority, and it is coincidentally OUR BC health authority that just found the "first case of HUMAN BIRD FLU" in Canada coincidentally RIGHT after the Trump win.
Don't forget that LEAKED tape of Bonnie Henry and the other corruptibles desperate to start PCR testing us to find the "bird flu" back in May.
Leaked tapes in comments section...
Read 6 tweets
Apr 28, 2024
Regarding this tweet I did awhile ago (photo below) someone NOT "vaxxed" who received the survey decided to open up the survey & take screenshots so we could see it. The part that says "why are you asking" was actually inserted by the person that sent it to me.
They asked about both covid/boosters and the flu "vaccine." If you see a question about the flu vax assume they asked the exact same question about the covid vax and vice versa so I don't have to do double the screenshots. All of the photos will be in the comments section...This survey was recently mailed out...2024 April.Image
Image
Read 42 tweets
Feb 20, 2024
S.n.uffff M.r.d.r video producer & drag performer assigned to work with Canadian children!! Because "inclusivity."
This person has been assigned to work with autistic children in Vernon (etc) BC, Canada. Okanagan Regional Library also continued with their Freida Whales event on Jan. 27, 2024, after MUCH parental public outcry about his theatrical s.n.u.f.f mrrrrdr videos because... "inclusivity."
Any parent that doesn't like it has been labelled a "bigot" under the NDP/Liberal government alliance, and CSIS calls those parents that peacefully but publicly state their concern "terrorists." Take a look at his videos blud-jon- ning his lovers. Canada has fallen. Under the NWO will I one day be put in jail just for posting what can be found freely on the internet?
Image
Wait what? "Dr". Bonnie Henry of the BC, Canada Health Authority is in a video with him. This story keeps getting weirder:
Read 4 tweets
Dec 21, 2023
Today is day 13 of the Judicial Review- Healthcare workers against BC PHO Bonnie Henry's vaccine mandates. All notes will be in the comment section of this post.
1) The admin in the courts let us in late to listen to audio, so I missed the first 5 minutes...Bon's lawyer has an objection to petitioner's lawyer... to do with freedom of conscience argument. Judge saying it may be too late for petitioner's lawyer argument. Petitioner's lawyer disagrees, and refers to an older argument she did make. She is showing him the evidence of that. He is listening...Petitioner's lawyer wants to argue back as to something Bon's lawyer said. Argument about section 7 vs 2A and "conscience." "The WHO refers to conscience" argues petitioner's lawyer. Judge asks WHICH petitioners are freedom of conscience argument. She shows him. Petitioner's lawyer says she has "nothing on reply about this issue..." (from Bonnie's team.) "Prejudice" mentioned by judge. Judge says he thinks he WILL allow this issue to come ALIVE again... Jan 15 deadline judge says Bon's lawyer will get to "reply." 5 pages for PHO (Bonnie) mentioned. A week after the 15th the judge gives to petitioner's lawyer for an argument.
2) A male lawyer starts in now..."Diana Lee" affidavit mentioned by him. "Not engaged" mentioned..."IS engaged" is mentioned.Section 7 "Right to life liberty and security of person"...mentioned. Limits to that mentioned. A person must prove an infringement. Fundamental Justice argument used. Sec 7 is "not engaged here"...he says. Impune gov doesn't impose a limit. He argues Bonnie's lawyer about this. He disagrees with any infringement re section 7. He says they are trying to RE-FRAME section 7 because of the "life liberty.and security of person"...He says they are dressing this up. Carter decision mentioned. Your choice to not get vaxxed IS PRESERVED in the order or law. Choice is preserved. There are Degree of coersion says JUDGE. Judge says "he doesn't really see that it is a CHOICE and "Depends on how coercive it is...that If a "gun was held to your H.E.DD (I spelled this wrong to not get in trouble on twitter) Judge does not see this is as a free and meaningful choice." Lewis case...Even if there is a chance of d.e.t.hh.h it does not involve? section 7...bodily autonomy. He shows other cases...Musanni decision. Court of appeal. Sexual abuse case. Doctor and patient. Doctor was found guilty of sexual abuse even though it was consensual sex. "No constitutional rights to practice a profession. Draconian actions are not prohibited by the charter. There is no right to practice under the constitution." He's still taking about that other case. He says the same applies here. He is Bonnie's lawyer too. OMG this dude lost his license for having sex with his own wife....as he was doing a teeth cleaning on her. You can't have sex relations with a patient so he lost his license. Judge says "WOW" like he is as surprised as the rest of us. Bon's lawyer is arguing petitioners have limits on their freedom. He shows that in this other sexual case.
Read 20 tweets
Dec 20, 2023
Today is day 12 of the Judicial Review- Healthcare workers against BC PHO Bonnie Henry's vaccine mandates. All notes will be in the comment section of this post.
1) ***Bonnie's lawyer references a hospital appeal board decision. A new affadavit from a paralegal at Bonnie's office says Novavax specific to a recent strain...the monograph says fetal cells are NOT used in this vaccine (The Pfizer whistleblower I interviewed said it WAS used in the trials, and anyone with a brain has heard about it and seen the leaked emails.) Veritas leaked this as well.
2) ***...Judge is listening to Bon's lawyer when she says "As of Dec 5th a vaccine became available that does NOT have fetal cell line..." Judge says "Is this really a record point or a question of whether charter rights have been infringed?" He says it is new evidence re: the fetal line objection. Direction of a charter breach questioned by the judge. Reasonableness challenge mentioned. This may change the case -(this is me talking Odessa). I'm not sure yet. Since it is new evidence the judge and Bon's lawyer are discussing how this could fit in or not. Judge says this is good news for the healthcare petitioners who didn't want the vax because of fetal cells. Now healthcare workers lawyer says "We are seeking that charter values have to be considered. This is new info PAST the record. We can't investigate in any way this new info. Is this REALLY true that there was no fetal line in production?? We can't investigate if this is true" (re the monograph saying there is no fetal cells.)" This cannot be put into the case as it is too late in the case ." "My petitioners are suspicious of the use of fetal cell lines. Don't deny the rights of what was asserted." Bonnie's lawyer ADMITS this is AFTER the record and late in the game...So there MAY have been fetal cell line in production... Bon's lawyer admits that as well. Judge decides in making decisions he will NOT take this new info into account, but may tell Bonnie that this may be a consideration in the future. He says it is a balancing act . (There is some paraphrasing in my notes.)
Read 27 tweets

Did Thread Reader help you today?

Support us! We are indie developers!


This site is made by just two indie developers on a laptop doing marketing, support and development! Read more about the story.

Become a Premium Member ($3/month or $30/year) and get exclusive features!

Become Premium

Don't want to be a Premium member but still want to support us?

Make a small donation by buying us coffee ($5) or help with server cost ($10)

Donate via Paypal

Or Donate anonymously using crypto!

Ethereum

0xfe58350B80634f60Fa6Dc149a72b4DFbc17D341E copy

Bitcoin

3ATGMxNzCUFzxpMCHL5sWSt4DVtS8UqXpi copy

Thank you for your support!

Follow Us!

:(