Ernest Ryu Profile picture
Aug 21, 2025 9 tweets 2 min read Read on X
This is really exciting and impressive, and this stuff is in my area of mathematics research (convex optimization).

I have a nuanced take. 🧵 (1/9)
There are 3 proofs in discussion:
v1. ( η ≤ 1/L, discovered by human )
v2. ( η ≤ 1.75/L, discovered by human )
v.GTP5 ( η ≤ 1.5/L, discovered by AI )

Sebastien argues that the v.GPT5 proof is impressive, even though it is weaker than the v2 proof. (2/9)
The proof itself is arguably not very difficult for an expert in convex optimization, if the problem is given.

Knowing that the key inequality to use is [Nesterov Theorem 2.1.5], I could prove v2 in a few hours by searching through the set of relevant combinations. (3/9)
(And for reasons that I won’t elaborate here, the search for the proof is precisely a 6-dimensional search problem. The author of the v2 proof, Moslem Zamani, also knows this. I know Zamani’s work enough to know that he knows.)
(4/9)
(In research, the key challenge is often in finding problems that are both interesting and solvable. This paper is an example of an interesting problem definition that admits a simple solution.)
(5/9)
When proving bounds (inequalities) in math, there are 2 challenges:
(i) Curating the correct set of base/ingredient inequalities. (This is the part that often requires more creativity.)
(ii) Combining the set of base inequalities. (Calculations can be quite arduous.)
(6/9)
In this problem, that [Nesterov Theorem 2.1.5] should be the key inequality to be used for (i) is known to those working in this subfield. (7/9)
So, the choice of base inequalities (i) is clear/known to me, ChatGPT, and Zamani. Having (i) figured out significantly simplifies this problem. The remaining step (ii) becomes mostly calculations. (8/9)
The proof is something an experienced PhD student could work out in a few hours. That GPT-5 can do it with just ~30 sec of human input is impressive and potentially very useful to the right user.

However, GPT5 is by no means exceeding the capabilities of human experts. (9/9)

• • •

Missing some Tweet in this thread? You can try to force a refresh
 

Keep Current with Ernest Ryu

Ernest Ryu Profile picture

Stay in touch and get notified when new unrolls are available from this author!

Read all threads

This Thread may be Removed Anytime!

PDF

Twitter may remove this content at anytime! Save it as PDF for later use!

Try unrolling a thread yourself!

how to unroll video
  1. Follow @ThreadReaderApp to mention us!

  2. From a Twitter thread mention us with a keyword "unroll"
@threadreaderapp unroll

Practice here first or read more on our help page!

More from @ErnestRyu

Oct 30, 2025
I firmly believe we are at a watershed moment in the history of mathematics. In the coming years, using LLMs for math research will become mainstream, and so will Lean formalization, made easier by LLMs. (1/4)
In Chess, Magnus Carlsen said:
“There was a period … where you could very clearly see which players have been using these [AI] and which players didn't. [We] got into it … got an advantage over basically everybody … it just made us understand the game a lot better.” (2/4)
This will also happen in mathematics. One by one, different fields will begin to pick the low-hanging fruits of the LLM-assisted research era. Occasionally, there will be contributions that feel distinctly non-LLM, and those will be celebrated as flashes of human genius. (3/4)
Read 4 tweets
Oct 25, 2025
I used ChatGPT to solve an open problem in convex optimization.

*Part III*

1/N

Actually, the real open problem is to establish point convergence of the Nesterov accelerated gradient (NAG) method. That is, the discrete-time, implementable algorithm.

2/N Image
NAG was introduced by Nesterov in 1983 as an accelerated improvement upon plain gradient descent, yet its point convergence remained unresolved until today. Nesterov ODE was studied as a simplified proxy, aimed at gaining insight into the behavior of its discrete counterpart.
3/N
Read 14 tweets
Oct 24, 2025
I used ChatGPT to solve an open problem in convex optimization.

*Part II*

1/N

Next, we extend the analysis to the generalized Nesterov ODE.

Prior work establishes convergence for r>3.

We established convergence for r=3.

What about 0<r<3?

2/N Image
For 0<r<=1, ChatGPT impressively constructs a divergent counterexample in one shot.



3/N chatgpt.com/share/68fa6104…Image
Image
Image
Read 11 tweets
Oct 21, 2025
I used ChatGPT to solve an open problem in convex optimization.

*Part I*

(1/N)
Problem statement:

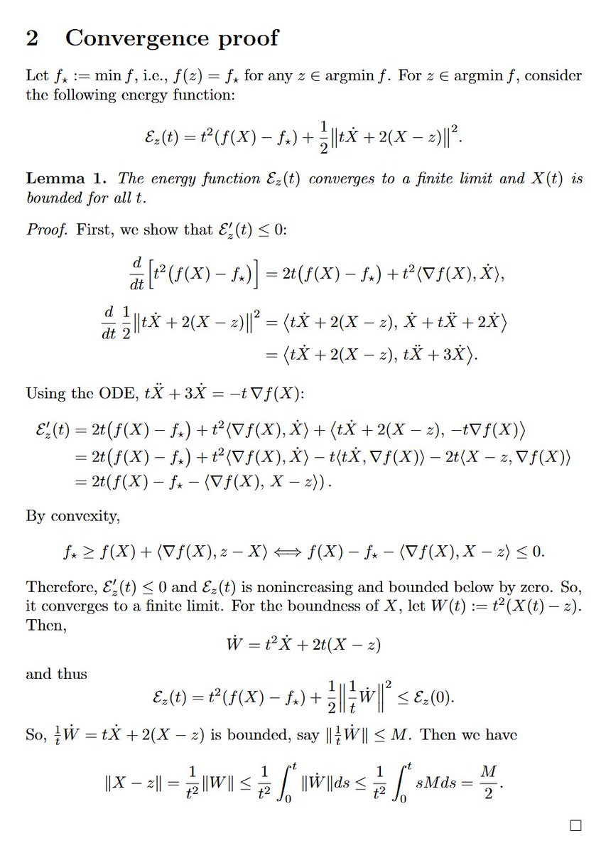
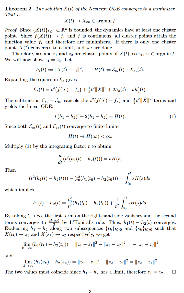
(2/N) Image
The proof, cleaned up and typed up by me:

(3/N) Image
Image
Read 16 tweets
Jul 19, 2025
Two cents on AI getting International Math Olympiad (IMO) Gold, from a mathematician.

Background:
Last year, Google DeepMind (GDM) got Silver in IMO 2024.
This year, OpenAI solved problems P1-P5 for IMO 2025 (but not P6), and this performance corresponds to Gold. (1/10)
The two cents:
1. The OpenAI IMO solutions to P1-P5 seem to be correct.
2. P6 is a significantly novel and more difficult problem. P1-P5 are arguably within reach of “standard” IMO problem-solving techniques, but P6 requires creativity. (2/10)
3. I’m hearing that Google DeepMind also got gold, but has not yet announced it. I have no knowledge of whether GDM got P6. (3/10)
Read 10 tweets

Did Thread Reader help you today?

Support us! We are indie developers!


This site is made by just two indie developers on a laptop doing marketing, support and development! Read more about the story.

Become a Premium Member ($3/month or $30/year) and get exclusive features!

Become Premium

Don't want to be a Premium member but still want to support us?

Make a small donation by buying us coffee ($5) or help with server cost ($10)

Donate via Paypal

Or Donate anonymously using crypto!

Ethereum

0xfe58350B80634f60Fa6Dc149a72b4DFbc17D341E copy

Bitcoin

3ATGMxNzCUFzxpMCHL5sWSt4DVtS8UqXpi copy

Thank you for your support!

Follow Us!

:(