Geoengineering Info Profile picture
Aug 27 11 tweets 4 min read Read on X
🚨In a new study published in @OneEarth_CP, researchers reveal that human land activities have stripped away roughly 24% of terrestrial carbon stocks (equivalent to 344 billion metric tons of C), underscoring an urgent need to reframe land-use & climate policy.

Details🧵1/10 Image
2/ Plants + soils store more carbon than the atmosphere + all fossil reserves combined.

But farming, grazing, and forest use have stripped away this natural shield, turning land from a carbon bank into a carbon source.
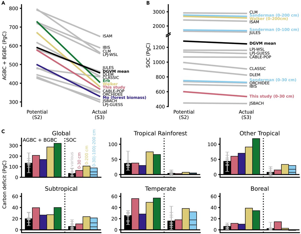
3/ Researchers call this loss the terrestrial carbon deficit - the gap between what ecosystems could hold (‘potential’) vs. what they actually hold (‘actual’).

The shortfall? 344 PgC (24% of natural stocks). Image
4/ Biggest vegetation carbon deficits:

—Subtropics & temperate zones outside rainforests.

Largest soil carbon deficits:
—Temperate & boreal regions

China, Brazil, Europe, and the US emerge as hotspots Image
Image
5/ Major drivers include:

— Pasture expansion (≈30%)
— Cropland expansion (≈24%)
— Forest management (≈23%)

These land-use changes disrupt carbon retention by reducing both biomass and soil organic carbon (SOC). Image
6/ According to this study, Dynamic Global Vegetation Models (DGVMs) underestimate this deficit by an average of 37%, ranging from 2% to as much as 58%.

This suggests a widespread underappreciation of the scale of carbon loss in current modelling frameworks. Image
7/ Researchers concluded that, the terrestrial C deficit (~344 PgC) ≈ 70% of all fossil fuel emissions since 1750.

Addressing this “hidden debt” requires aligning emission cuts with large-scale ecosystem restoration & better integration of land-use science into climate models.
8/ For more details, read the study entitled "Humans have depleted global terrestrial carbon stocks by a quarter" here:


#CarbonSink #CarbonBudgetsciencedirect.com/science/articl…
9/ Here’s the short explainer of this paper’s findings:
You can also listen to the discussion on this paper here:
youtu.be/g5YWI698dV4?si…

Or here:
open.spotify.com/episode/15EMxm…

🧵10/10 #CarbonStock #CarbonSink
"Unroll" @threadreaderapp

• • •

Missing some Tweet in this thread? You can try to force a refresh
 

Keep Current with Geoengineering Info

Geoengineering Info Profile picture

Stay in touch and get notified when new unrolls are available from this author!

Read all threads

This Thread may be Removed Anytime!

PDF

Twitter may remove this content at anytime! Save it as PDF for later use!

Try unrolling a thread yourself!

how to unroll video
  1. Follow @ThreadReaderApp to mention us!

  2. From a Twitter thread mention us with a keyword "unroll"
@threadreaderapp unroll

Practice here first or read more on our help page!

More from @geoengineering1

Aug 22
🚨Can aeosols counter AMOC collapse?

A NEW study suggests Stratospheric Aerosol Injection (#SAI) could help prevent the decline of the Atlantic Meridional Overturning Circulation (#AMOC), but only if aerosols are injected in the appropriate latitude & hemisphere.

DETAILS🧵1/12 Image
2/ The AMOC is a key component of Earth’s climate system, transporting heat and nutrients across the Atlantic.

Its decline, already underway, is projected to accelerate under global warming, possibly approaching a tipping point this century. Image
3/ Using CESM2(WACCM6), Bednarz et al. ran sensitivity experiments with SO₂ injections at latitudes from 45°S to 45°N.

Each scenario injected 12 Tg-SO₂/yr (2035–2069) to test how SAI location affects AMOC stability.
Read 13 tweets
Aug 21
🚨Enhanced Rock Weathering (#ERW) could remove up to 700 Mt CO₂ by 2070 in the UK if quarry production scales 5–10×.

Larger extraction sites boost efficiency but raise major social, logistical & policy challenges.

A new @CommsEarth study models the trade-offs.🧵1/11 Image
2/ ERW involves spreading crushed silicate rocks on croplands to capture CO₂.

While previous studies examined its chemistry & agronomic benefits, this work focuses on the supply chain: can the UK sustainably scale rock extraction to meet net-zero needs?
3/ The authors model deployment from 2025–2070 under 3 supply scenarios:

Low (32 Mt rock/yr), medium (97 Mt rock/yr) & high rock (166 Mt rock/yr) demand with variations in whether expansion relies on active, inactive, or new quarries. Image
Read 12 tweets
Aug 17
📝💡𝐖𝐞𝐞𝐤𝐥𝐲 𝐂𝐃𝐑 𝐇𝐢𝐠𝐡𝐥𝐢𝐠𝐡𝐭𝐬💡📝

📰 Here's your round-up of top #CarbonDioxideRemoval News / Developments from this week (11 August - 17 August 2025):

🔗:

🧵0/19
Carbon removal company @equatic_tech raised $11.6M Series A led by Temasek Trust’s Catalytic Capital and Kibo Invest.

1/19
eco-business.com/press-releases…
Gevo, a US-based sustainable aviation fuel producer, generated $1 million in revenue from selling BECCS credits during the second quarter.


2/19qcintel.com/carbon/article…
Read 21 tweets
Aug 13
🚨A new CSIRO-led study finds Australia can achieve net-zero emissions cost-effectively by 2050 if it acts early.

Rapid decarbonisation of electricity, scaled #CarbonRemoval, and strategic land offsets are central to success.

Details🧵1/9 Image
2/ The research adapts the IEA’s global net-zero scenarios to Australia’s economy using an integrated economic–energy model.

It compares a Rapid Decarbonisation pathway, consistent with limiting warming to 1.5 °C, with a Stated Policies path leading to ~2.6 °C by 2100. Image
3/ Electricity emerges as cornerstone. In rapid pathway, coal is 85% retired by 2030 & fully phased out by 2035.

Renewables supply ~90% of generation by 2030, cutting emissions intensity to ~15% of 2020 levels & enabling deeper decarbonisation across various sectors. Image
Read 10 tweets
Aug 10
📝💡𝐖𝐞𝐞𝐤𝐥𝐲 𝐂𝐃𝐑 𝐇𝐢𝐠𝐡𝐥𝐢𝐠𝐡𝐭𝐬💡📝

📰 Here's your round-up of top #CarbonDioxideRemoval News / Developments from this week (04 August - 10 August 2025):

🔗:

🧵0/18
Evero’s Ince biomass plant will be converted into the UK’s first BECCS site by 2029, capturing 217,000 t CO₂/year, processing 170,000 t waste wood, and powering 100,000+ homes.

1/18
bioenergy-news.com/news/evero-bio…
Ottawa-based DAC developer Terrafixing secured $1.8M from the Canadian government.


2/18carbon-pulse.com/424910/
Read 20 tweets
Aug 5
🚨New research out on US public perceptions of #SolarGeoengineering:

More Americans oppose SRM research than support it, and 1 in 5 believe government-led atmospheric modification is already underway.

DETAILS🧵1/11 Image
2/ Using 64 interviews, 10 focus groups, and a survey of 3,076 Americans, the study found strong initial rejection of solar radiation modification (#SRM) as a research priority.

Skepticism, fear of unintended consequences, and concern over “playing God” were dominant themes. Image
3/ Only 32.6% supported further SRM research. A notable 43.7% opposed it. For comparison, support was ~80% in similar studies from a decade ago. Enthusiastic support is now virtually nonexistent in qualitative responses. Image
Read 12 tweets

Did Thread Reader help you today?

Support us! We are indie developers!


This site is made by just two indie developers on a laptop doing marketing, support and development! Read more about the story.

Become a Premium Member ($3/month or $30/year) and get exclusive features!

Become Premium

Don't want to be a Premium member but still want to support us?

Make a small donation by buying us coffee ($5) or help with server cost ($10)

Donate via Paypal

Or Donate anonymously using crypto!

Ethereum

0xfe58350B80634f60Fa6Dc149a72b4DFbc17D341E copy

Bitcoin

3ATGMxNzCUFzxpMCHL5sWSt4DVtS8UqXpi copy

Thank you for your support!

Follow Us!

:(