Holden Culotta Profile picture
Sep 2 17 tweets 9 min read Read on X
There is a $2 million effort to get RFK Jr. ousted happening right in front of us.

A leaked memo EXPOSED the whole plan.

Now, it’s happening—and Pharma is holding NOTHING back.

CDC bureaucrats are subverting Kennedy.

Senators are demanding his resignation.

The vaccine industry is lobbying to get him fired.

And it’s all about to reach a fever pitch:

🧵THREAD
First, bookmark this thread above.

There is concerted effort from Pharma to get RFK Jr. OUSTED.

2 months ago, a leaked memo EXPOSED the plan.

Former CDC Directors, Pharma, Senators, public health “experts,” and the media just launched an all-out assault on MAHA:🧵
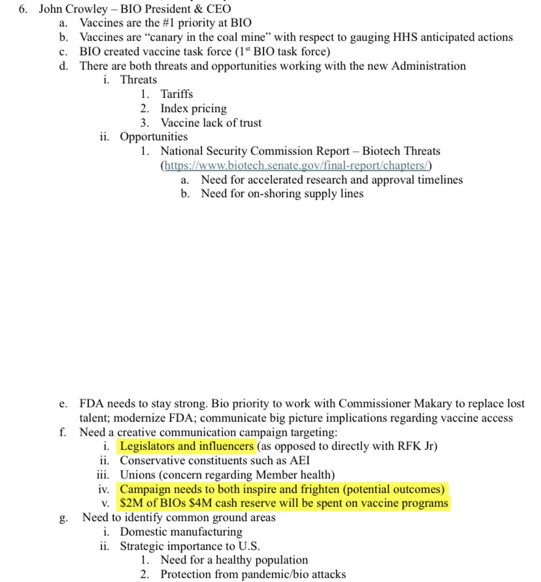
In July, the Brownstone Institute EXPOSED a leaked memo from BIO, the lobbying arm for Pfizer, Moderna, Merck, Eli Lilly, and Johnson & Johnson.

The memo made their goal clear:

“It’s time to go to The Hill and lobby that it is time for RFK Jr. to go.”

Why?

Because RFK Jr. and MAHA are a threat to the corrupt vaccine industry.

Vaccyte EVP/COO Jim Wassil allegedly stated there is “no opportunity to raise capital in the current environment.”

“Investors are sitting on the sidelines for next 6-9 months.”

“Vaccine pathway to approval is unpredictable.”

@brownstoneinstImage
Image
BIO’s leaked memo REVEALED that they set aside $2 million—half of its $4 million cash reserve—to stop RFK Jr.

They planned to target legislators and influencers.

The Brownstone Institute noted that the plan “reveals a timeline racing toward” September.

It’s now September, and we’re now seeing an all-out PR war from Senators like Bernie Sanders, former CDC Directors, and the media to try and get RFK Jr. ousted from the Trump Administration.

Read the Brownstone Institute’s full article exposing this memo here: brownstone.org/articles/the-p…

@brownstoneinstImage
On August 30, Senator Bernie Sanders called for RFK Jr. to resign.

His whole argument revolves around Kennedy’s “anti-vaccine views.”

He cited the American Academy of Pediatrics, the American Medical Association, and the World Health Organization to make his case.

What do these organizations have in common?🧵Image
Image
The American Academy of Pediatrics has received $50K+ from Pfizer, Moderna, Merck, and Sanofi, between $25K - $49K from Eli Lilly, and tens of thousands more from other Pharma companies.

The American Medical Association has received $1M+ from Pfizer, between $500K - $999K from Merck, AstraZeneca, and Eli Lilly, between $250K - $499K from Novo Nordisk and GSK, and hundreds of thousands more from other Pharma companies.

The heart of RFK Jr. and MAHA’s argument against these “expert” public health organizations is that they’re corrupted by Pharma.

But Sanders made no attempt to address these concerns.

He just regurgitated their talking points.Image
Image
Now, 9 former CDC Directors just wrote an article slamming RFK Jr. for “endangering every American’s health.”

It’s your typical appeal to authority—despite the total collapse of trust in public health authorities since 2020.

“Collectively, we spent more than 100 years working at the CDC, the world’s pre-eminent public health agency.”Image
Image
Guess what they held up as a “shining example” of success at HHS and CDC?

Operation Warp Speed.

But the American people have woken up to the TRUTH:

The Covid-19 shots are an unmitigated disaster that ruined countless lives.

Even President Trump, who spent 5 years touting Operation Warp Speed as a “brilliant” success, is now listening to RFK Jr. and questioning the lies he was told by Pfizer and Moderna.Image
Image
The evidence against the safety of Covid-19 shots is now overwhelming.

Florida Surgeon General Dr. Joseph Ladapo just declared they are “not fit for human use.”

Bookmark the thread below—he EXPOSED the TRUTH that no “expert” dares to study:🧵
Next, these 9 former CDC Directors credited the CDC with several major public health accomplishments.

This is worth breaking down point by point—because they’re all lies, coverups, or half-truths:🧵
First, they claim that US life expectancy rose from 66 years to 78 years since the CDC was created in 1946.

Here’s what they didn’t tell you:

They’re using outdated numbers.

Since 2020, US life expectancy has taken a sharp downward turn, erasing 25 years of slow progress—and it still hasn’t recovered, 5 years later.Image
Image
Second, they credit the CDC with significantly reducing smoking rates.

But there is a much darker side to this story …

RFK Jr. has EXPOSED that tobacco companies are responsible for turning our food into addictive “poison.”

When smoking rates dropped, tobacco companies started buying up food companies.

Then, they engineered our food into the chemical-laden, poisonous, addictive catastrophe that it is today.

Kennedy: “By the mid-1990s, the two biggest food companies in the world were R.J. Reynolds and Philip Morris.”

“They transferred thousands of scientists that were engaged in making tobacco more addictive to do the same thing with food.”

“They developed in the lab all of these chemicals that are unknown in nature, that make food more attractive.”

“It doesn’t give you nutrition, but you want to eat more and more, so you get obese.”

“But at the same time, you get malnourished.”

So, while Americans don’t smoke at the rate we did 50 years ago …

The same companies that were responsible for that public health issue just turned around and created a much, much larger public health crisis by mass poisoning us with food.

That is hardly a “success” for the CDC or public health.
Third, they held up the East Palestine chemical spill by Norfolk Southern as a success.

This one is SHOCKING.

East Palestine is an unmitigated disaster—and top health officials regurgitated Norfolk Southern’s LIES.

Reporter Jordan Chariton called it Flint, Michigan 2.0.

“They brought people back to town within days of chemically detonating over a million pounds of vinyl chloride.”

“That’s linked to all sorts of cancers, leukemia, reproductive issues in women.”

“We’re starting to see cancers including male breast cancer, which is fairly rare.”

“I’ve talked to fathers who their daughters as young as 7 or 8 are starting to have early puberty and menstrual cycles … and young boys are starting to get hair that you wouldn’t get until you’re 12, 13, 14.”

“The EPA, the federal government, and the state agencies are basically saying, all good, nothing to see here—but the proof is in the residents.”

“They’re sick.”
Meanwhile, Calley Means just EXPOSED that corrupt CDC bureaucrats are circulating a memo on how to “SUBVERT” RFK Jr.

They think the bureaucracy can just overrule the MAHA agenda that Americans voted for.

“There is a memo going around at the CDC and HHS about how to subvert President Trump and Secretary Kennedy.”

“They are saying that we’re gonna outlast them, that the Republicans are gonna lose the midterms, that this is gonna be a flash in the pan.”

@calleymeans
There is more evil under the surface of the CDC’s history than you can imagine.

This is not just a fight to reform a misguided system—it’s a spiritual war:🧵
RFK Jr. is set to testify before the Senate on Thursday.

The firing of CDC Director Dr. Susan Monarez opened the door to the CDC adopting Kennedy’s vaccine reforms—meaning that Pharma’s push to get him ousted is about to reach a fever pitch.

This is a make or break moment for MAHA.

Kennedy’s biggest and boldest reforms are finally on the table—and Pharma is throwing millions of dollars into blocking them.Image
Thanks for making it to the end.

Before you go, follow me @Holden_Culotta and Subscribe for $3/month to support my work!

I’m a Gen Z Independent who covers everything from MAHA and health freedom to UFOs and ancient civilizations. Image

• • •

Missing some Tweet in this thread? You can try to force a refresh
 

Keep Current with Holden Culotta

Holden Culotta Profile picture

Stay in touch and get notified when new unrolls are available from this author!

Read all threads

This Thread may be Removed Anytime!

PDF

Twitter may remove this content at anytime! Save it as PDF for later use!

Try unrolling a thread yourself!

how to unroll video
  1. Follow @ThreadReaderApp to mention us!

  2. From a Twitter thread mention us with a keyword "unroll"
@threadreaderapp unroll

Practice here first or read more on our help page!

More from @Holden_Culotta

Sep 4
RFK Jr. just dropped bombshell after bombshell on the Senate floor.

Kennedy was grilled for 3 hours—and he held NOTHING back.

He EXPOSED that CDC proved a link between vaccines and autism—then “destroyed the data.”

He revealed Pharma’s Covid-19 coverup.

But the biggest bombshell of the day came from Senator Ron Johnson.

Johnson SHREDDED Pharma’s lies about Covid-19 shots with VAERS data that revealed tens of thousands of injuries.

Bookmark this thread.

The Senate has never seen fireworks like it just saw today.

🧵THREADImage
Bookmark this thread above.

RFK Jr.’s 3-hour Senate testimony today had more fireworks than Washington has seen in years.

Pharma is spending MILLIONS to try and get Kennedy ousted right now—but he came more prepared than ever:🧵
RFK Jr. opened the hearing by SLAMMING Democrat Sen. Ron Wyden for his SILENCE about the chronic disease crisis.

“Senator, you’ve sat in that chair for 20, 25 years while the chronic disease in our children went up to 76%—and you said NOTHING.”

Kennedy delivered this message to every Democrat in the hearing.

They scream every day that vaccines are “safe and effective”—no exceptions.

But on chronic disease, their silence is deafening.

@RobertKennedyJr @RonWyden
Read 14 tweets
Aug 30
Nicole Shanahan says America doesn’t just need reform—it needs an EXORCISM.

RFK Jr.’s 2024 running mate is holding NOTHING back.

She went to Burning Man for 8 years.

Now, she suspects Burning Man isn’t just a playground for the elites—it’s a playground for demons.

A week before the 2024 election, she said D.C. needed an exorcism.

But politics is downstream from culture.

Maybe American culture needs an exorcism, first.

🧵THREADImage
Bookmark this thread above.

Nicole Shanahan has opened up about her near-death experience during the 2024 campaign—and her journey to Christ—since the election.

Now, she refuses to be silent about what she sees as demonic influence in America, from Burning Man to Washington:🧵
A week before the 2024 election, Nicole Shanahan revealed that a friend questioned her move to run for Vice President with RFK Jr.

Why?

He said D.C. needed “something that politics can’t give it.”

“I think it actually needs an exorcism.”
Read 22 tweets
Aug 27
Florida is going to WAR with Pfizer and Moderna.

Surgeon General Dr. Joseph Ladapo just declared Covid-19 shots are “not fit for human use.”

He EXPOSED the truth—and held nothing back.

“They should NOT be going into human beings.”

And he has a warning for the Republican Party:

“Trying to protect President Trump is not a reason to not take care of MILLIONS of people who have been injured by these mRNA Covid-19 vaccines.”

🧵THREADImage
First, bookmark this thread above.

Florida’s Surgeon General has led the fight for JUSTICE for the millions of Americans injured by Covid-19 shots for four years—and he’s not backing down.

MAHA needs to hear his bombshell press conference:🧵
Florida Surgeon General Dr. Joseph Ladapo opened by sounding the alarm.

“Right now, there’s a tragedy going on in the background.”

Millions of Americans are suffering, and no one in mainstream science or the media is listening.

“First, a product was designed too rapidly without sufficient testing—and that is the mRNA Covid-19 vaccines.”

“Second, that product was pushed out—often forced out—and distributed with coercion to tens of millions of people in this country and millions of people around the world to the tune of billions of people in total.”

“Finally, when people were injured by that inadequately-tested product, the ability to study their injuries, the ability to help them … all of that was demolished.”

“Terrible things happened, and even the ability to rectify those terrible things was not made possible because of … social media censorship.”

“It’s a terrible crime. It’s still happening.”

@FLSurgeonGen
Read 14 tweets
Aug 19
A sitting member of Congress just revealed bombshell UFO whistleblower testimonies.

One whistleblower said “there is a structure in the deep ocean.”

Another said he spoke to aliens—and they told him the truth about Jesus.

And the most exciting part?

Members of Trump’s Cabinet want the truth to be released—all of it.

🧵THREADImage
Make sure to bookmark this thread above.

@TUPACABRA2 just hosted a bombshell 𝕏 Space with Rep. Eric Burlison.

Multiple sitting members of Congress are now involved in UFO disclosure—and what they’re hearing from whistleblowers will blow you away:🧵
First, Rep. Burlison said he is CURRENTLY traveling to speak with a UFO whistleblower.

While the rest of Congress is fundraising during the August recess, Rep. Burlison is diving into the truth about UFOs and extraterrestrials.
Image
Read 15 tweets
Aug 14
Nicole Shanahan just hosted the most censored woman in America.

This Wall Street executive abandoned her career after a Pharma CEO told her that he knew their new drug would kill people—but “we can still make $7 billion” from it.

Now, she is Pharma’s worst nightmare.

🧵THREAD Image
First, you’ll want to bookmark this thread above.

Ex-Wall Street executive Leslie Manookian just EXPOSED the corruption at the heart of our healthcare system.

And she didn’t stop there.

She has now dedicated her life to destroying medical mandates:🧵
Leslie Manookian spent years working for Goldman Sachs and Alliance Capital.

But she abandoned the finance world after hearing something that felt like “someone had kicked me in the stomach.”

Manookian: “The big breakthrough moment for me was when the CEO, the CFO, the head of investor relations, and the head of R&D of one of the biggest pharmaceutical companies in the world came into our office to reassure us about their stock.”

Their stock was plummeting.

Why?

“Rumors were trickling out from their phase three trials—which is the last phase of clinical trials that a drug goes through before it can apply for licensure from the FDA—that this drug was killing people.”

“The CEO comes in and he says, ‘a few people have died. It’s very, very rare … the bad news is the FDA is going to make us put a black box warning on our packaging. The good news is, we still think we can do $7 billion in peak sales.’”

“I felt like someone had kicked me in the stomach … ”

“He knows they’re gonna kill people—but he thinks that I should be happy because the stock’s gonna go back up, and we’re gonna make money.”
Read 11 tweets
Aug 13
This is not a hoax—it’s a cover up.

Alien mummies were found in Nazca, Peru in 2015.

Forensic experts say they’re real—and they could be extraterrestrial.

Peru’s government even jailed a doctor to try and cover this up.

But a UFO researcher just exposed the TRUTH.

Allegedly.

🧵THREADImage
First, bookmark this thread above.

Jesse Michels @AlchemyAmerican just published the most in-depth documentary on the Nazca mummies from Peru yet.

Let’s break it all down.🧵
The Nazca region of Peru is 1,000+ square miles and home to just 80,000 people—making it the perfect spot for a groundbreaking discovery.

Cave art of beings that resemble tridactyls are all over the region.

But the most shocking part are the Nazca Lines: massive drawings in the desert floor that span up to 30 miles.

These enormous drawings can only be seen from hundreds of meters in the sky—“far higher than any of the closest vantage points on the ground.”

“Unless you have some aerial flying object, the line configurations and the figures they depict are literally incomprehensible.”

Erich von Daniken, author of Chariots of the Gods, theorized that the Nazca Lines are “tributes to ancient alien astronauts, an extraterrestrial group that seeded human civilization.”

@AlchemyAmerican @vonDaeniken
Read 19 tweets

Did Thread Reader help you today?

Support us! We are indie developers!


This site is made by just two indie developers on a laptop doing marketing, support and development! Read more about the story.

Become a Premium Member ($3/month or $30/year) and get exclusive features!

Become Premium

Don't want to be a Premium member but still want to support us?

Make a small donation by buying us coffee ($5) or help with server cost ($10)

Donate via Paypal

Or Donate anonymously using crypto!

Ethereum

0xfe58350B80634f60Fa6Dc149a72b4DFbc17D341E copy

Bitcoin

3ATGMxNzCUFzxpMCHL5sWSt4DVtS8UqXpi copy

Thank you for your support!

Follow Us!

:(