Alex Lupsasca Profile picture
Oct 16 7 tweets 2 min read Read on X
Thrilled to share I’ve joined OpenAI for Science, a new team building AI systems to advance scientific reasoning and accelerate discovery in math and physics. 🧵
As a theoretical physicist, I used to think it would be a long time before AI could touch the research frontier. Then GPT-5 Pro arrived, and it completely changed my mind.
This summer I wrote a paper on new symmetries in black-hole perturbation theory:

It is relatively easy to unfold the physical implications of these symmetries once they are known, but the hard part is finding their precise form (or if they even exist).arxiv.org/abs/2506.05298
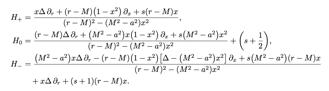
This took me days of tough calculation, as you might guess from the complicated form of the generators of these new symmetries (Eq. 7 of the paper): Image
After GPT-5 Pro launched, I gave it that same problem. To my utter shock, it rediscovered the result in <30min!

See for yourself:

It’s not flawless (it needs priming on the flat-space case before tackling the full problem) but the leap is incredible.chatgpt.com/share/68b006eb…
And it’s not just theory. GPT-5 Pro can also tackle hard questions in observational astrophysics, producing answers that would take a bright grad student several days of research time: chatgpt.com/share/68d154c9…
These examples and many others have convinced me: AI will transform scientific research.

There’s still huge room to grow, and I’m excited to help push those boundaries at OpenAI for Science!

• • •

Missing some Tweet in this thread? You can try to force a refresh
 

Keep Current with Alex Lupsasca

Alex Lupsasca Profile picture

Stay in touch and get notified when new unrolls are available from this author!

Read all threads

This Thread may be Removed Anytime!

PDF

Twitter may remove this content at anytime! Save it as PDF for later use!

Try unrolling a thread yourself!

how to unroll video
  1. Follow @ThreadReaderApp to mention us!

  2. From a Twitter thread mention us with a keyword "unroll"
@threadreaderapp unroll

Practice here first or read more on our help page!

Did Thread Reader help you today?

Support us! We are indie developers!


This site is made by just two indie developers on a laptop doing marketing, support and development! Read more about the story.

Become a Premium Member ($3/month or $30/year) and get exclusive features!

Become Premium

Don't want to be a Premium member but still want to support us?

Make a small donation by buying us coffee ($5) or help with server cost ($10)

Donate via Paypal

Or Donate anonymously using crypto!

Ethereum

0xfe58350B80634f60Fa6Dc149a72b4DFbc17D341E copy

Bitcoin

3ATGMxNzCUFzxpMCHL5sWSt4DVtS8UqXpi copy

Thank you for your support!

Follow Us!

:(