My Authors
Read all threads
I'm bored and people seem to like @bennpeifert vol explainers so here's a dollar store version of Shreve and Bjork's intro to stochastic calc for option pricing. A very rough guide to learning one way Black Scholes is derived
The simplest stochastic process is a random walk. You flip coins and either go +1 or -1.
Easy stuff
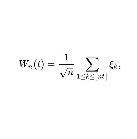
This is fun and all but how do you make this continuous? What if you flip coins *infinitely fast*? You would immediately have an unbounded process. So to make this process not go to infinity, we scale by sqrt(n) and get a Wiener process en.wikipedia.org/wiki/Wiener_pr…
There's all sorts of fun properties of this - continuous everywhere, differentiable nowhere, the distribution is normal with mean zero and variance t
How does this apply to stocks? Well stocks tend to go up over time but with some volatility.
So let's create a stochastic process driven by a Wiener process that has positive upwards drift (because stocks only go up, duh), and a random component. Geometric Brownian motion en.wikipedia.org/wiki/Geometric…
This has the fun property that stock returns are normal while the stock price is lognormal. I'm also going to handwave stuff about Girsanov theorem and Radon-Nikodym derivatives and P/Q measure. That mu of expected stock returns magically becomes the risk free rate.
the GBM process can be solved in closed form by using Ito's Lemma on d log(St) and integrating the result. See Wikipedia or quant StackExchange for an explanation. Because Wt is just a normally distributed variable, you get a distribution that can be integrated analytically
Solving for the price of a call is just calculating the expectation of the call by integrating over Z (a standard normal variable with mean 0 variance 1). With enough change of variable and other shenanigans this can be done on pen and paper, see quant.stackexchange.com/questions/2571…
The solution to this integral is the good ole Black Scholes formula. It's literally high school calculus en.wikipedia.org/wiki/Black%E2%…
I handwaved through a lot of stochastic calculus but barring those bits, it's fairly simple freshman continuous probability distributions and calculating expectations by integral.
There are other derivations but this one has always been the easiest. One derivation is 'what if I hold a call and want the value of my portfolio to always be perfectly delta-hedged' but I always found this explanation harder.
The Kolmogorov backwards equation is also used to turn geometric Brownian motion into the Black Scholes partial differential equation en.wikipedia.org/wiki/Kolmogoro…
The inverse of this is using Feynman-Kac to turn the Black Scholes PDE into a stochastic differential equation en.wikipedia.org/wiki/Feynman%E…
This is why I tell people you can sound really smart saying this - you can solve option pricing in PDE-land using Crank-Nicholson or Runge-Kutta, where everything is deterministic, or in SDE-land using Monte Carlo.
The ability to go between PDE and SDE is because of the properties of Kolmogorov backwards eqn and Feynman-Kac. It's really neat and elegant.
Missing some Tweet in this thread? You can try to force a refresh.

Keep Current with Office of Unspecified Services

Profile picture

Stay in touch and get notified when new unrolls are available from this author!

Read all threads

This Thread may be Removed Anytime!

Twitter may remove this content at anytime, convert it as a PDF, save and print for later use!

Try unrolling a thread yourself!

how to unroll video

1) Follow Thread Reader App on Twitter so you can easily mention us!

2) Go to a Twitter thread (series of Tweets by the same owner) and mention us with a keyword "unroll" @threadreaderapp unroll

You can practice here first or read more on our help page!

Follow Us on Twitter!

Did Thread Reader help you today?

Support us! We are indie developers!


This site is made by just two indie developers on a laptop doing marketing, support and development! Read more about the story.

Become a Premium Member ($3.00/month or $30.00/year) and get exclusive features!

Become Premium

Too expensive? Make a small donation by buying us coffee ($5) or help with server cost ($10)

Donate via Paypal Become our Patreon

Thank you for your support!