Q thread
medrxiv.org/content/10.110…
Still substantial uncertainty about how infectious children are, & still no estimates of age-specific fraction of infections that are asymptomatic.
Previous studies on viral load in kids came from symptomatic children (often very sick children) who might be anomalous.
-Many (60-75%) children symptomatic but so mild could be missed, especially if based on 1 symptom; asymptomatic fraction highest in 6-13 & 50% higher than 0-5, 14-20.
-Higher fraction asymptomatic than meta-analysis (20%) of all ages medrxiv.org/content/10.110…
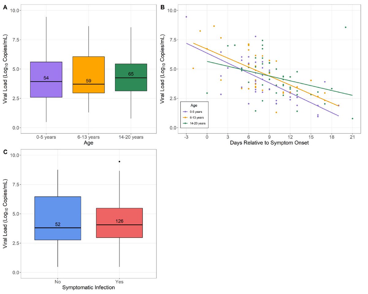
- Viral loads of asymptomatics same as symptomatics. We CANNOT dismiss past studies based on symptoms
- Study on children 0-20 yr so no comparisons can be made b/w kids & adults; but other papers provide bridge across ages & this paper addresses potential biases raised
- Viral loads are proxy for infectiousness; more unbiased contact tracing studies needed


