Eric Feigl-Ding Profile picture
Sep 28, 2020 23 tweets 10 min read Read on X
HUGE. **Rapid** 15 min tests approved by @WHO—a bold & right step for #COVID19. Akin to home pregnancy tests, rapid antigen tests better than PCR where labs scares & lag is long. Rapid tests are cheap & identifies *infectious* cases & fast isolation. Game changer for pandemic! 🧵
2) Rapid antigen testing is described as “The plan that could give our lives back”. Leading advocate is Harvard epidemiologist Dr Michael Mina @michaelmina_lab. He believes if we need to deploy millions of antigen tests to epidemic hotspots.

theatlantic.com/health/archive…
3) For those needing a background, unlike PCR tests which tests for the RNA genome of the coronavirus, the antigen tests for protein parts of the virus. PCR slightly more sensitive but PCR often finds RNA 🧬 fragments of non infectious virus pieces even when later can’t transmit.
4) But advantage of antigen test is not only is it fast (<15 min) and cheap ($5 or less, hopefully $1 when mass produced), and not require delicate logistics of sending to a lab and waiting for days or even a week... but think of use by masses and resource limited settings.
5) Currently, WHO only approved for low and middle income countries where resource low. And US FDA has only approved Abbott’s BINAXNOW via an EUA. Weird thing is HHS bought up all 150 mil rapid antigen tests—for entire 2020. But very unclear deployment. hhs.gov/about/news/202…
6) The other odd thing is that FDA’s EUA approval for antigen test BINAXNOW is only for symptomatic. But HHS Asst Sec Brett Grior also endorses using it “off label” for asymptomatic as well. I don’t disagree per se, but it’s ironic HHS asst sec goes around FDA’s EUA intent. 🤷🏻‍♂️
7) To be clear, people without symptoms of #COVID19 often have similar viral loads as symptomatic people, and both can be infectious. That’s why @michaelmina_lab endorses using antigen tests for ‘screening’ as well for testing anytime—not just diagnosing overtly sick patients.
8) That said, “clear evidence that “Abott didn’t just have symptomatic diagnostics in mind here, but also screening of asymptomatic people.” Symptomatic people are much more likely to have the virus, decreasing the chance of a false positive...”
9) “... For asymptomatic people, even in an area with lots of infections, Andersen worried that Abbott’s test isn’t accurate enough, and would generate many false positives.” theatlantic.com/science/archiv…
10) But there are “solutions to increase specificity. For example, a future version of the test could look for two viral targets. Or two tests could be packaged together, one of which would be a slightly more expensive test that you’d take if you got a positive on the first.”
11) Dr @michaelmina_lab calls this multi test confirmatory approach “orthogonal” testing—using a PCR test as followup or even a DIFFERENT antigen test (yes, you can test for different antigens to the virus—lots of possible targets on a virus). Akin to an independent verification.
12) An analogy—think of it this way, if we want to find a hidden enemy submarine, is it better to drop one sonar buoy (PCR test) every 100 miles that reports weekly, or drop a 90%-as-good sonar buoy every mile that reports every 15 min? Latter of course. That’s antigen testing!
13) Besides WHO, airlines like @lufthansa has gotten into the rapid antigen test game, offering tests for passengers starting October. But at first for First/Business class passengers—which is SUPER LAME and nonsensical. If limited, it should be randomly or for economy pax first!
14) BOTTOMLINE: the era of rapid cheap antigen testing is soon upon us, which would radically change the pandemic response and allow us to quickly isolate the sick and stop community transmission faster. But we need more/faster—& for FDA to approve antigen tests for ‘screening’.
15) Clarification about the other Abbot “rapid” test ID NOW touted in spring— a quicker PCR test but not cheap & it still needs a machine & lots of reagent cartridges, & not as accurate as other PCRs. The new rapid antigen lateral flow tests are akin to home pregnancy test.
16) UPDATE—The @WHO is in fact providing ***120 million*** such rapid antigen tests to low/middle income countries to fight #COVID19! Such a great move for these countries that don’t have enough lab resources and HC infrastructure. Bravo.
17) Further: In areas with little or no access to PCR tests, @mvankerkhove says rapid #COVID19 antigen tests can help:

📌Respond to suspected outbreaks in remote settings

📌Support cluster investigations around 1 case detected w/ PCR

📌Monitor trends in high-risk populations
18) Dr @mvankerkhove points out further details on the WHO guidance. Notably WHO issued the guidance recommendations for rapid antigen testing on September 11th, over 3 weeks ago! apps.who.int/iris/bitstream…
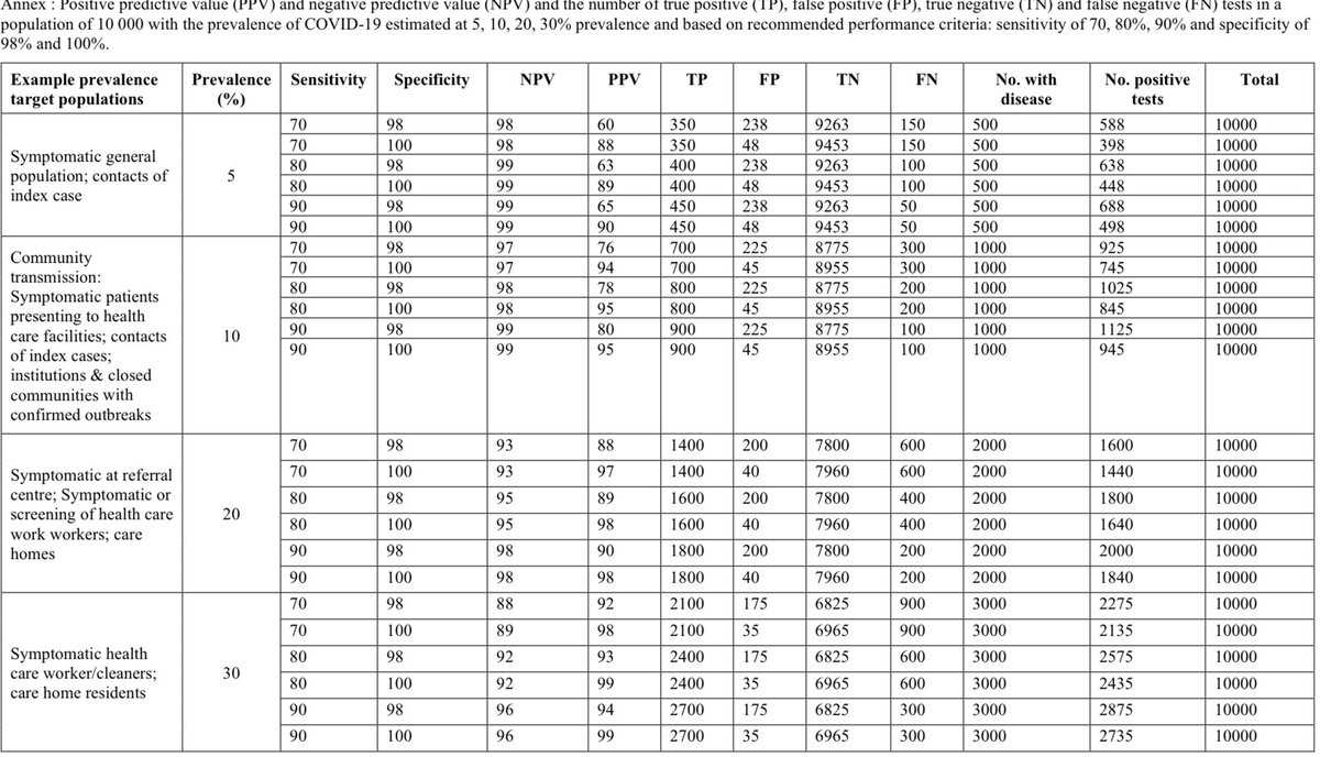
19) The sensitivity of the rapid antigen test varies between 70%-90% in different WHO modeled scenarios. But @michaelmina_lab points out that antigen identifies intact proteins of virus, instead of virus RNA fragments. And even if miss, rapid antigen tests can be repeated daily.
20) Antigen tests do “perform best in areas of active transmission and when collected from a case when they have their highest viral loads: -2 days before & up to 5-7 days after symptom onset” says @mvankerkhove, assuming symptoms at all. Many asymptomatic have similar loads too.
21) Here again, the above submarine-hunting sonar analogy comes back - even if 70-90% imperfect, it’s better to have more rapid daily tests (dense & fast sonar buoys) reporting rapidly on the spot than a slow cumbersome PCR tests done infrequently and reporting very slowly.
22) And while false positives are low at 1-2%, it’s not super low. Hence why @michaelmina_lab suggest the multi testing “orthogonal” tests & use in outbreak hotspots.

Altogether, the rapid testing allows for ➡️ rapid isolation ==> faster control of spread, even if imperfect.
23) Trump WH today just made a very misleading and flimsy announcement about BinaxNOW rapid antigen testing. Bottom line: their plan and test volume is a JOKE!!

• • •

Missing some Tweet in this thread? You can try to force a refresh
 

Keep Current with Eric Feigl-Ding

Eric Feigl-Ding Profile picture

Stay in touch and get notified when new unrolls are available from this author!

Read all threads

This Thread may be Removed Anytime!

PDF

Twitter may remove this content at anytime! Save it as PDF for later use!

Try unrolling a thread yourself!

how to unroll video
  1. Follow @ThreadReaderApp to mention us!

  2. From a Twitter thread mention us with a keyword "unroll"
@threadreaderapp unroll

Practice here first or read more on our help page!

More from @DrEricDing

Feb 2
⛓️CONCENTRATION CAMPS—D.H.S. is setting up a huge network of detention camps. They are converting the U.S. as a region for eligible for ‘expeditionary military deployment’ & no-bid no-public-comment contracts to build a “ghost network” of 10,000-person concentration camps. Jesus. Image
Image
2) How the Pentagon is Quietly Building Trump’s Concentration Camps

SCOOP: A repurposed Navy contract to funnel tens of billions to ICE for a nationwide "ghost network” of concentration camps—just got a lot bigger.

By @PabloReports
migrantinsider.com/p/how-the-pent…
3) A massive Navy contract vehicle, once valued at $10 billion, has ballooned to a staggering $55 billion ceiling to expedite President Donald Trump’s “mass deportation” agenda.
The mechanism for this expansion is the Worldwide Expeditionary Multiple Award Contract (WEXMAC), originally designed for military logistics abroad. In a move to bypass traditional competition delays, the Navy’s Supply Systems Command has repurposed the vehicle for “TITUS”—Territorial Integrity of the United States.
This $45 billion increase, published just weeks ago, converts the U.S. into a “geographic region” for expeditionary military-style detention. It signals a massive, long-term escalation in the government’s capacity to pay for detention and deportation logistics. In the world of federal contracting, it is the difference between a temporary surge and a permanent infrastructure.
As for taxpayer accountability over how their money gets spent, there is no "grace period" or setup time for contractors. The companies already contracting with the government are grandfathered into future contract increases. The Navy turns a "pilot program" into a permanent, massive-scale operation overnight with fast money incentives like “task orders” that can be issued in days or even hours.
Task orders allow DHS to bypass the months-long public bidding process for every new facility. When the contract says task orders are issued when "specific dates and locations are identified," it means the infrastructure is currently a "ghost" network that can be materialized anywhere in the U.S. the moment a site is picked.
Read 6 tweets
Jan 29
📉25% LOWER ALL-CAUSE MORTALITY! Wowzers—one of the largest long-term safety studies ever undertaken—offers the clearest answer yet: “Among 28 million French adults aged 18–59, those who received an mRNA-based COVID-19 vaccine were less likely to die in the subsequent four years than those who remained unvaccinated, corresponding to a 25% lower risk of death from all causes.”—and works even better among young adults—⬇️35% lower risk for ages 18-29!

Links in thread 🧵 below👇Image
Image
Image
2) Vaccinated individuals had a 74% lower risk of death from severe COVID-19 (weighted hazard ratio [wHR], 0.26 [95% CI, 0.22-0.30]) and a 25% lower risk of all-cause mortality (wHR, 0.75 [95% CI, 0.75-0.76]), with a similar association observed when excluding severe COVID-19 death. Sensitivity analysis revealed that vaccinated individuals consistently had a lower risk of death, regardless of the cause. Mortality was 29% lower within 6 months following COVID-19 vaccination (relative incidence, 0.71 [95% CI, 0.69-0.73]).

jamanetwork.com/journals/jaman…Image
3) also importantly, “The study found no increase in the risk of deaths from cancer, heart disease, accidental injury or any other major category: in every case, vaccinated individuals had equal or lower rates of death.”
gavi.org/vaccineswork/m…
Read 5 tweets
Jan 12
☢️THEY DON’T CARE ABOUT YOUR LIFE—E.P.A. to Stop Considering Lives Saved When Setting Rules on Air Pollution. the EPA plans to calculate only the cost to industry when setting pollution limits, and not the monetary value of saving human lives.

Gift🎁🔗
nytimes.com/2026/01/12/cli…Image
2) For decades, the Environmental Protection Agency has calculated the health benefits of reducing air pollution, using the cost estimates of avoided asthma attacks and premature deaths to justify clean-air rules.
Not anymore.
3) Under President Trump, the E.P.A. plans to stop tallying gains from the health benefits caused by curbing two of the most widespread deadly air pollutants, fine particulate matter and ozone, when regulating industry, according to internal agency emails and documents reviewed
Read 5 tweets
Oct 14, 2025
🧠DEMENTIA PREVENTION—Almost everyone needs to go out now and get the shingles vaccine ASAP. Don’t wait until age 50 for standard eligibility—ask your doctor for singles vax. MULTIPLE large studies worldwide now show that shingles vaccine strongly prevents dementia onset. Do it. Image
2) Both the RZV vaccine (Shingrix) shown in red, and the ZVL vaccine (purple line) against shingles prevented dementia.

nature.com/articles/s4159…Image
Image
3) In addition to shingles vaccine, the TDAP vaccine (against tetanus, diphtheria and pertussis), flu vaccine, and RSV vaccines all prevent dementia too. Get the shots to save your brain. 🧠

Gift 🎁 link 🔗
wapo.st/4700VJL
Read 5 tweets
Sep 22, 2025
⚠️TYLENOL & AUTISM—RFK Jr and Trump are wrong—the largest & best study in the world in 2.5 MILLION KIDS—found no increased autism risk with acetaminophen (aka paracetamol, Tylenol) use by the mother during pregnancy. A crude unadjusted analysis found only a preliminary 5% risk, but once you adjust for family by matching using sibling controls (who didn’t get autism), the even tiny 5% risk vaporizes to 0% 📉. (Fun fact: I used to do drug safety epidemiology and have been whistleblower against big pharma when their drugs were dangerous—so I know a few things about drug safety data). Thread 🧵.Image
Image
Image
Image
2) “To address unobserved confounding, matched full sibling pairs were also analyzed. Sibling control analyses found no evidence that acetaminophen use during pregnancy was associated with autism…”

jamanetwork.com/journals/jama/…Image
3) “Conclusions and Relevance  Acetaminophen use during pregnancy was not associated with children’s risk of autism, ADHD, or intellectual disability in sibling control analysis. This suggests that associations observed in other models may have been attributable to familial confounding.”

jamanetwork.com/journals/jama/…Image
Read 14 tweets
Jun 16, 2025
📍 THE 17 FIRED MEMBERS OF CDC’s VACCINE ADVISORY COMMITTEE (ACIP) speak out…

📍“As former ACIP members, we are deeply concerned that these destabilizing decisions, made without clear rationale, may roll back the achievements of US immunization policy, impact people’s access to lifesaving vaccines, and ultimately put US families at risk of dangerous and preventable illnesses.” 🔥

Full text:

Vaccines are one of the greatest global public health achievements. Vaccine recommendations have been critical to the global eradication of smallpox and the elimination of polio, measles, rubella, and congenital rubella syndrome in the US. They have also dramatically decreased cases of hepatitis, meningitis, mumps, pertussis (whooping cough), pneumonia, tetanus, and varicella (chickenpox), and prevented cancers caused by hepatitis B virus and human papillomaviruses.1 Recent scientific advancements enabled the accelerated development, production, and evaluation of COVID-19 vaccines, leveraging novel technologies that are estimated to have prevented approximately 1.6 million hospitalizations and 235 000 deaths in the US alone.2
For more than 60 years, the Advisory Committee on Immunization Practices (ACIP)—codified in the federal regulations (42 USC 217a: advisory councils or committees)—has served as a panel of experts that reviews the most up-to-date evidence on vaccines and monoclonal antibodies (eg, against respiratory syncytial virus [RSV]), providing sound recommendations to the US Centers for Disease Control and Prevention (CDC) regarding how vaccines should be used. ACIP recommendations are the cornerstone of the immunization program in this country. First, they serve as guidance and are the national standard for the use of Food and Drug Administration (FDA) authorized and licensed vaccines, providing a unified and trusted approach to vaccinations for the diverse array of immunization providers across the US. Second, they ensure science-based and tested immunization schedules that are optimized for well-timed protection against serious diseases. Third, the recommendations affect insurance coverage and safeguard broad access for vaccines. Fourth, ACIP’s continued monitoring of disease epidemiology and scrutiny of vaccine safety inform timely updates to recommendations that have maintained the trust and protection of the population. This transparent and ongoing surveillance of vaccines is one of the most stringent around the world, historically making the deliberations and decisions of this committee a beacon for immunization programs globally, while also serving as the foundation for recommendations harmonized with leading medical organizations in the US.3,4
ACIP committee members have always been selected through a rigorous process based on their expertise in immunology, epidemiology, pediatrics, obstetrics, internal and family medicine, geriatrics, infectious diseases, and public health. Historically, committee members were chosen because they worked at hospitals, clinics, health departments, universities, and other organizations where they dedicated themselves to caring for patients, conducting research, and helping to prevent and treat infectious diseases. Members’ deep understanding of immunization issues ensured that vaccine policies were grounded in scientific evidence, aligned with the needs of economically, socially, and medically diverse US communities, and always considered the public value, trust, and acceptability of vaccines.
Despite recent suggestions to the contrary, health care providers and the US public trust ACIP. For the past 18 years, the National Immunization Survey has shown that 99 of every 100 children in the US have received at least some recommended vaccines by 2 years of age, consistent with acceptance of ACIP recommendations implemented by trusted clinicians (National Immunization Survey - Childof Healthy People 2030).…Image
2) Full text part 2:

This does not suggest the population is so distrustful that it warrants dismantling the process by which vaccines have been recommended. ACIP standard procedures have minimized the risk of alleged conflicts of interest and biases. For decades, members of ACIP have undergone a thorough application and review process to participate. Proposed members submitted letters of support from other known experts and peers, completed an interview process, underwent a background check, and disclosed financial interests that might be considered a conflict, including any professional or financial relationships of immediate family members. Historically, it has taken up to 2 years for nominees to be approved to join ACIP.
Once part of the committee, ACIP members spent significant time preparing for meetings, reviewing the scientific evidence, and chairing work groups that, along with many CDC public health officials, led to the final recommendations that were determined during public meetings, which also included opportunities for public comment. Recordings of these meetings, agendas, and presentations were publicly available. Additionally, members agreed to ongoing monitoring and disclosure throughout their tenure. For example, potential conflicts of interest were reviewed throughout their time on the committee. Statements about potential conflicts were required during each meeting and before each vote, and members recused themselves from voting if any conflicts were identified. These disclosures have also recently been posted on the CDC website for public scrutiny. ACIP was among the most stringent and transparent of the federal committees, and we hope those criteria will apply to any new members joining the committee.
The abrupt dismissal of the entire membership of the ACIP, along with its executive secretary, on June 9, 2025, the appointment of 8 new ACIP members just 2 days later, and the recent reduction of CDC staff dedicated to immunizations have left the US vaccine program critically weakened.5,6 These actions have stripped the program of the institutional knowledge and continuity that have been essential to its success over decades. Notably, the ACIP charter specifies that committee members serve overlapping terms to ensure continuity and avoid precisely the disruption that will now ensue. The termination of all members and its leadership in a single action undermines the committee’s capacity to operate effectively and efficiently, aside from raising questions about competence.
Compounding these concerns, recent changes to COVID-19 vaccine policy, made directly by the HHS secretary and released on social media, appear to have bypassed the standard, transparent, and evidence-based review process.7 Such actions reflect a troubling disregard for the scientific integrity that has historically guided US immunization strategy. The newly stated strategy to replace ACIP members with individuals who will “exercise independent judgment, refuse to serve as a rubber stamp, and foster a culture of critical inquiry” is already leading to warnings by academic and scientific institutions, professional organizations, and the public who for decades have known well that these sought-after qualities precisely characterized the now-dismissed members of the ACIP.5
3) Part 3:

As former ACIP members, we are deeply concerned that these destabilizing decisions, made without clear rationale, may roll back the achievements of US immunization policy, impact people’s access to lifesaving vaccines, and ultimately put US families at risk of dangerous and preventable illnesses. Vaccines and the anti-RSV monoclonal antibodies are lifesaving, and people in the US deserve to have recommendations and broad access to use them to prevent serious diseases. In this age of government efficiency, the US public needs to know that the routine vaccination of approximately 117 million children from 1994-2023 likely prevented around 508 million lifetime cases of illness, 32 million hospitalizations, and 1 129 000 deaths, at a net savings of $540 billion in direct costs and $2.7 trillion in societal costs.8Finally, as individuals, we remain committed to evidence-based vaccine policy, both through our ongoing work in immunization science, public health, and medical education, and by supporting future efforts to keep America healthy that uphold scientific rigor and the public’s trust.
Read 4 tweets

Did Thread Reader help you today?

Support us! We are indie developers!


This site is made by just two indie developers on a laptop doing marketing, support and development! Read more about the story.

Become a Premium Member ($3/month or $30/year) and get exclusive features!

Become Premium

Don't want to be a Premium member but still want to support us?

Make a small donation by buying us coffee ($5) or help with server cost ($10)

Donate via Paypal

Or Donate anonymously using crypto!

Ethereum

0xfe58350B80634f60Fa6Dc149a72b4DFbc17D341E copy

Bitcoin

3ATGMxNzCUFzxpMCHL5sWSt4DVtS8UqXpi copy

Thank you for your support!

Follow Us!

:(