Andrew Lee Profile picture
Oct 1, 2020 13 tweets 6 min read Read on X
The key to better control of the #covid19 pandemic may be in identifying & preventing #superspreading, through backward tracing to identify clusters. Need to rethink our approach.

Good article by @zeynep explaining the rationale.
theatlantic.com/health/archive…
Contact tracing seeks out where the infection has come from (look for source) & where it is going (contacts of the index who may be susceptible). An assumption is that all infections are equal (i.e. every infected person has a similar chance of infecting someone else).

1/n Image
So with COVID19, we assume with R0=2.6, 1 infected person infects 2.6 others. But this is an erroneous assumption if superspreading is a key mode of transmission. Some infected persons are more infective!

2/n Image
It has been evident that superspreading occurs in COVID19
80% of infections come from 20% of cases. In around 70% of cases, they don't infect anyone else.

3/n Image
This figure from an article in nature beautifully illustrates this dichotomy between superspreading and isolated cases

Source: nature.com/articles/s4159…

4/n Image
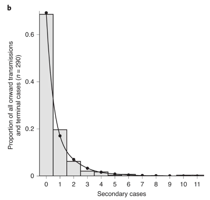
From the same paper they report this skewed distribution of proportion of onward transmissions. So most cases infect 0-1 others, but a tiny proportion infect many.

5/n Image
Likewise, this case report of a superspreading event in Ohio demonstrates this same phenomenon.

HT

6/n Image
So if we only looked for onward (forward) transmission from the index we would be missing other infections and it would be low yield effort. If we included backward tracing to find the source who is more likely to be a superspreader we could uncover more chains of infection.

7/n Image
This is what the Japanese realized early on.

Source: mhlw.go.jp/content/109000…

8/n Image
Hence their emphasis on backward tracing.

HT to @AdamJKucharski who tweeted this back in August
Image
The other useful suggestion in @zeynep article is the proposition that the lower sensitivity but high specificity tests could be deployed to help guide quarantine decisions. These tests may miss "true positives", but are unlikely to miss "true negatives".

10/n
So if you test a cohort of contacts, & they are all negative, highly unlikely there are cases there. But if you get a single positive, then chances are there are more cases in that cohort. This approach could be useful e.g. testing care homes, healthcare, education settings.
11/n
Final thought: I'm not convinced of the evidence for a blunderbuss approach to mass testing. It risks consuming much resource & is a distraction. Far more value in deploying finite test resources to uncover these clusters to target quarantine/isolation to stop transmission.

• • •

Missing some Tweet in this thread? You can try to force a refresh
 

Keep Current with Andrew Lee

Andrew Lee Profile picture

Stay in touch and get notified when new unrolls are available from this author!

Read all threads

This Thread may be Removed Anytime!

PDF

Twitter may remove this content at anytime! Save it as PDF for later use!

Try unrolling a thread yourself!

how to unroll video
  1. Follow @ThreadReaderApp to mention us!

  2. From a Twitter thread mention us with a keyword "unroll"
@threadreaderapp unroll

Practice here first or read more on our help page!

More from @andrewleedr

Sep 22, 2022
The NHS has an abusive relationship with its workforce. Under the guise of "professionalism" & "vocation", many staff are expected to work long hours, often antisocial ones (nights/weekends/bank hols), & work over & above their contracted hours. Staff feel guilty if they don't...
...do the hours. You're shirking/slacking, letting down your patients/colleagues, it's unprofessional, etc.
We select them young (on the basis of them being caring, having a vocation), & indoctrinate them at medical/nursing school, perpetuating this abusive relationship...
The staff (especially medical) take on a lot of risk - anything goes wrong & it's on your head.
Yet they turn up to work with this illusory idea of vocation/professionalism & promise of public respect.
They may sacrifice marriages, family time, personal health/wellbeing, etc...
Read 11 tweets
May 3, 2022
The NHS is under tremendous strain at the moment, & this is occurring across many sectors - primary care, ambulance services, acute hospital care, mental health & community care. The huge demand for care outstrips what the system can currently supply.
1/
hsj.co.uk/quality-and-pe…
This has consequences.
Longer waiting lists, reduced patient access, delayed investigations & treatments, all of which will impact on the experience of care as well as health outcomes.
2/
Some services have been for many years much worse off compared to others, usually community-based services & mental health services, or primary care until recently but not enough to offset years of under-resourcing.
3/
Read 15 tweets
Mar 14, 2022
Operational public health considerations for the prevention and control of infectious diseases in the context of Russia’s aggression towards Ukraine.
Informative @ECDC_EU guidance particularly relevant to refugee health issues
1/
ecdc.europa.eu/en/publication…
Ukrainian refugees may be at risk of certain infectious diseases.
Key ones to watch out for for kids are measles & polio, due to insufficient vaccine coverage (82% & 80% respectively).
Crowded bomb shelters & reception centres can facilitate spread.
businessinsider.com/video-ukraine-…
2/
Ukraine was experiencing its largest COVID-19 epidemic wave just before the war. The precipitous drop you see in the figure below will probably be due to disruption of testing & reporting.
Vaccine coverage low ~35% across all age groups so an under-protected population.
3/
Read 8 tweets
Mar 11, 2022
Effectiveness of 2-Dose BNT162b2 (Pfizer BioNTech) mRNA Vaccine ... cdc.gov/mmwr/volumes/7… via @CDCgov
PROTECT is a prospective cohort study monitoring SARS-CoV-2 infections in participants aged 6 months–17 years in Arizona, Florida, Texas, & Utah. The kids were tested for SARS-CoV-2 weekly from July 2021–February 2022 & had various data collected monthly.
2/
Around half (51%) of all Omicron infections were asymptomatic compared with approximately one third (34%) of Delta infections.
3/
Read 9 tweets
Jan 13, 2022
Self-isolation period for people infected with COVID in England will be reduced to 5 days from Monday 17 Jan. But it's conditional: 2 NEGATIVE tests on days 5 & 6, & no symptoms, & not in certain high risk situations e.g. working with vulnerable people
1/
gov.uk/government/new…
I understand the desire to reduce the isolation period to minimize the impact on the workforce, the economy, strained businesses/NHS & people's lives.
But, this is not a risk-free approach and I'm concerned...
2/
With a shorter isolation duration, you increase the chances of releasing someone who may still be infectious back into the community. This risk is ~1% at 14 days, 5% at 10 days or 7 days with 2 negative LFDs, or 10-30% at 6 days after symptom onset.
3/
ukhsa.blog.gov.uk/2022/01/01/usi…
Read 14 tweets
Jan 11, 2022
🇨🇭 preprint study comparing RNA & infectious viral load between pre-VOC strains & Delta VOC in unvaccinated patients as well as in vaccination breakthru' infections due to Delta and Omicron.
Useful study as virus culture may be a better proxy for infectiousness.
1/
Findings:
🔹Low correlation between RNA genome copies & infectious viral titres.
🔹No correlation between infectious viral load & age & sex of patients
🔹Unvaccinated patients infected with Delta have higher infectious viral load

2/
🔹Vaccinated patients had lower infectious viral load than unvaccinated patients.👉Vaccination makes you less infectious.
🔹At 5 days post symptom onset, detected infectious virus in 54% vaccinated & 85% of unvaccinated patients (so beware shortening isolation duration!)
3/ Image
Read 4 tweets

Did Thread Reader help you today?

Support us! We are indie developers!


This site is made by just two indie developers on a laptop doing marketing, support and development! Read more about the story.

Become a Premium Member ($3/month or $30/year) and get exclusive features!

Become Premium

Don't want to be a Premium member but still want to support us?

Make a small donation by buying us coffee ($5) or help with server cost ($10)

Donate via Paypal

Or Donate anonymously using crypto!

Ethereum

0xfe58350B80634f60Fa6Dc149a72b4DFbc17D341E copy

Bitcoin

3ATGMxNzCUFzxpMCHL5sWSt4DVtS8UqXpi copy

Thank you for your support!

Follow Us!

:(