Great thread. The dominance of Likert-type outcome measures means that most psychologists don't actually know what a non-arbitrary measure looks like. So here's a thread on how we can make our measures less arbitrary: 1/n
Blanton & Jaccard's (2006) paper revolutionised my thinking about effect sizes and meaningful metrics in psychology. I highly recommend it. psycnet.apa.org/record/2006-00… 2/n
Their key argument is that a metric is arbitrary when it provides no information about where a person is located on the true underlying continuum, or what a 1-unit change means. 3/n
For example, we can generally conclude that a person who scores "9" on a 10-point life satisfaction scale is happier than someone who scores "8", but what are the concrete implications of a 1-unit difference for a person's functioning? 4/n
It is possible to make metrics less arbitrary by calibrating them to meaningful real-world outcomes. Doing so can help us better understand the behavioral implications of commonly-used self-report measures. 5/n
For e.g., Matthias Mehl has used audio recordings of real behavior to show that scoring "4" vs. "2" on measures of extraversion and conscientiousness translated into 10% less time spent alone & 3x more time spent in class, respectively doi.org/10.1111/j.1751… 6/n
@eplebel's dissertation showed that a 1-unit increase in gregariousness and dutifulness translated into attending two more parties per month & 12 km/h slower maximum driving speed, respectively. ir.lib.uwo.ca/etd/174/ 7/n
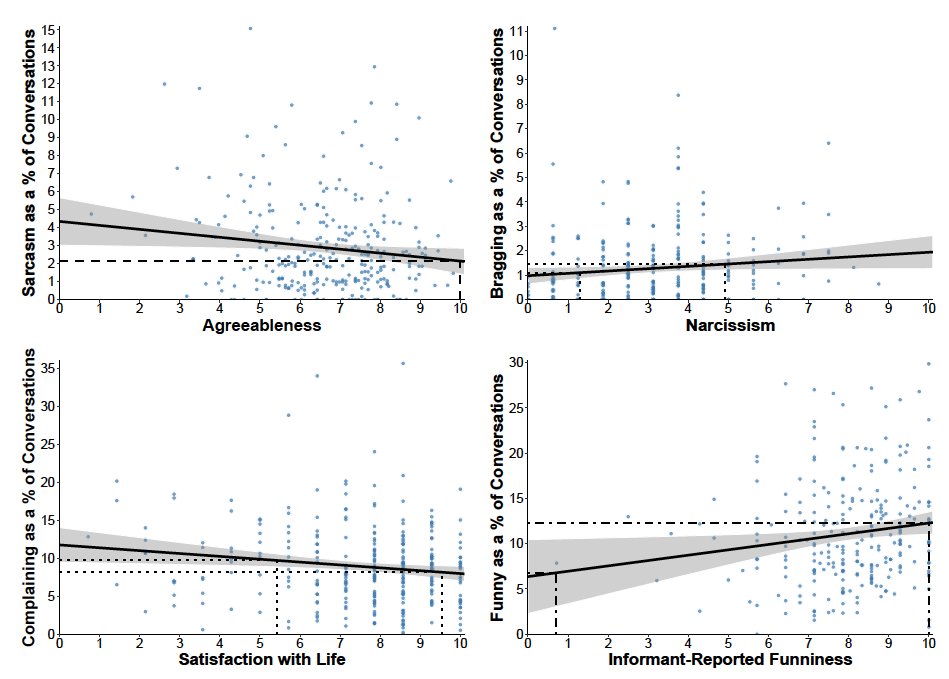
My dissertation (see Chapter 6) showed, for e.g., that a 1-unit increase in life satisfaction & narcissism translated into 0.38% fewer conversations in which the participant complained & 0.10% more conversations in which they bragged. thesiscommons.org/aj94u 8/n
These results provide much-needed context on the meaning of a r = -.27 correlation b/t extraversion & time spent alone or a r = -.15 correlation b/t life satisfaction & conversations spent complaining. 9/n
These kinds of efforts at metric calibration are rare, but are crucial if we are to better understand the practical, real-world implications of higher and lower scores on widely-used self-report measures. Go forth and calibrate! 10/10
Just discovered my failed quote-tweet! This is the "great thread" I was referring to. Oops 😅 11/10

• • •

Missing some Tweet in this thread? You can try to force a refresh
 

Keep Current with Dr. Jessie Sun

Dr. Jessie Sun Profile picture

Stay in touch and get notified when new unrolls are available from this author!

Read all threads

This Thread may be Removed Anytime!

PDF

Twitter may remove this content at anytime! Save it as PDF for later use!

Try unrolling a thread yourself!

how to unroll video
  1. Follow @ThreadReaderApp to mention us!

  2. From a Twitter thread mention us with a keyword "unroll"
@threadreaderapp unroll

Practice here first or read more on our help page!

More from @JessieSunPsych

15 May
Fascinating preprint, @DHBostyn & @xphilosopher! A few journal club thoughts from me and @AllardThuriot (Thread): 1/n
1) We loved the goal of mathematically modelling different shapes of blame/praise judgments, and identifying neutral points. I saw this as very much in line w/ calls to reduce the arbitrariness of measures and define the continua of constructs, e.g.: psycnet.apa.org/record/2006-00… 2/n
Read 14 tweets

Did Thread Reader help you today?

Support us! We are indie developers!


This site is made by just two indie developers on a laptop doing marketing, support and development! Read more about the story.

Become a Premium Member ($3/month or $30/year) and get exclusive features!

Become Premium

Too expensive? Make a small donation by buying us coffee ($5) or help with server cost ($10)

Donate via Paypal Become our Patreon

Thank you for your support!

Follow Us on Twitter!