Buenas noches, les recuerdo que la fuente de datos es:
github.com/CSSEGISandData
El estado de los casos acumulados y casos nuevos a nivel global es el siguiente:
El estado de los decesos y la letalidad a nivel global es el siguiente:
Para México la proyección para el día de hoy era de 1,261,021 casos y 115,005 decesos. La @SSalud_mx reporta 1,255,974 casos y 114,298 defunciones. La proyección para mañana es de 1,266,877 casos y 115,286 decesos.

Tasa de letalidad: 9.1%
El porcentaje de aumento de casos contra el día anterior fue del 0.47%. Se llegará a 1.3 millones de casos confirmados el 18 de diciembre.
El número de casos contra el día anterior disminuye, tuvimos 5,930 casos nuevos, 2,678 menos que ayer.

7.3% menoss casos que hace una semana.

Una variación promedio del 7.4% para los últimos 7 días.
Recuerden que las curvas epidémicas para los estados y municipios y la distribución de los decesos por grupo de edad se actualizan todos los días y las pueden consultar en los tableros interactivos que están publicados en Tableau.

public.tableau.com/profile/el.zor…
Sigan en sus casas si pueden, para evitar propagar la infección y cuídense mucho!

@threadreaderapp unroll

• • •

Missing some Tweet in this thread? You can try to force a refresh
 

Keep Current with El Troll Ebus

El Troll Ebus Profile picture

Stay in touch and get notified when new unrolls are available from this author!

Read all threads

This Thread may be Removed Anytime!

PDF

Twitter may remove this content at anytime! Save it as PDF for later use!

Try unrolling a thread yourself!

how to unroll video
  1. Follow @ThreadReaderApp to mention us!

  2. From a Twitter thread mention us with a keyword "unroll"
@threadreaderapp unroll

Practice here first or read more on our help page!

More from @ZorlakRules

17 Dec
Buenas noches, les recuerdo que la fuente de datos es:
github.com/CSSEGISandData Image
El estado de los casos acumulados y casos nuevos a nivel global es el siguiente: ImageImageImageImage
El estado de los decesos y la letalidad a nivel global es el siguiente: ImageImageImageImage
Read 8 tweets
16 Dec
Buenas noches, les recuerdo que la fuente de datos es:
github.com/CSSEGISandData Image
El estado de los casos acumulados y casos nuevos a nivel global es el siguiente: ImageImageImageImage
El estado de los decesos y la letalidad a nivel global es el siguiente: ImageImageImageImage
Read 8 tweets
15 Dec
Este artículo es absolutamente incorrecto al hacer está aseveración, un hilito rápido para explicarlo. Image
Las vacunas de ARN mensajero no funcionan dando instrucciones a las células para que produzcan copias atenuadas o débiles del virus. Primero hay que empezar por explicar la anatomía del virus.

Simplificando, el virus está compuesto de varias partes, una cadena de ARN +
Que son las instrucciones completas para enseñarle a la maquinaria de nuestras células como hacer copias del virus completo. La receta pues.

Este ARN está rodeado por una capa de grasas y proteínas, la cápsula, y está cápsula a su vez tiene patitas de proteínas. +
Read 12 tweets
14 Dec
Resumen semanal de la epidemia de COVID-19 en México.

Les recuerdo que la fuente de datos es:

gob.mx/salud/document…
En el panorama nacional, cerramos la semana 50 con 1,175,580 casos donde la CDMX, el estado de México y Nuevo León acumulan la mayor cantidad de casos.
Los municipios con mas casos son Iztapalapa, la alcaldía Gustavo A. Madero y la Alcaldía Álvaro Obregón desplazando ya al municipio de Puebla..
Read 16 tweets
14 Dec
Buenas noches, les recuerdo que la fuente de datos es:
github.com/CSSEGISandData
El estado de los casos acumulados y casos nuevos a nivel global es el siguiente:
El estado de los decesos y la letalidad a nivel global es el siguiente:
Read 8 tweets
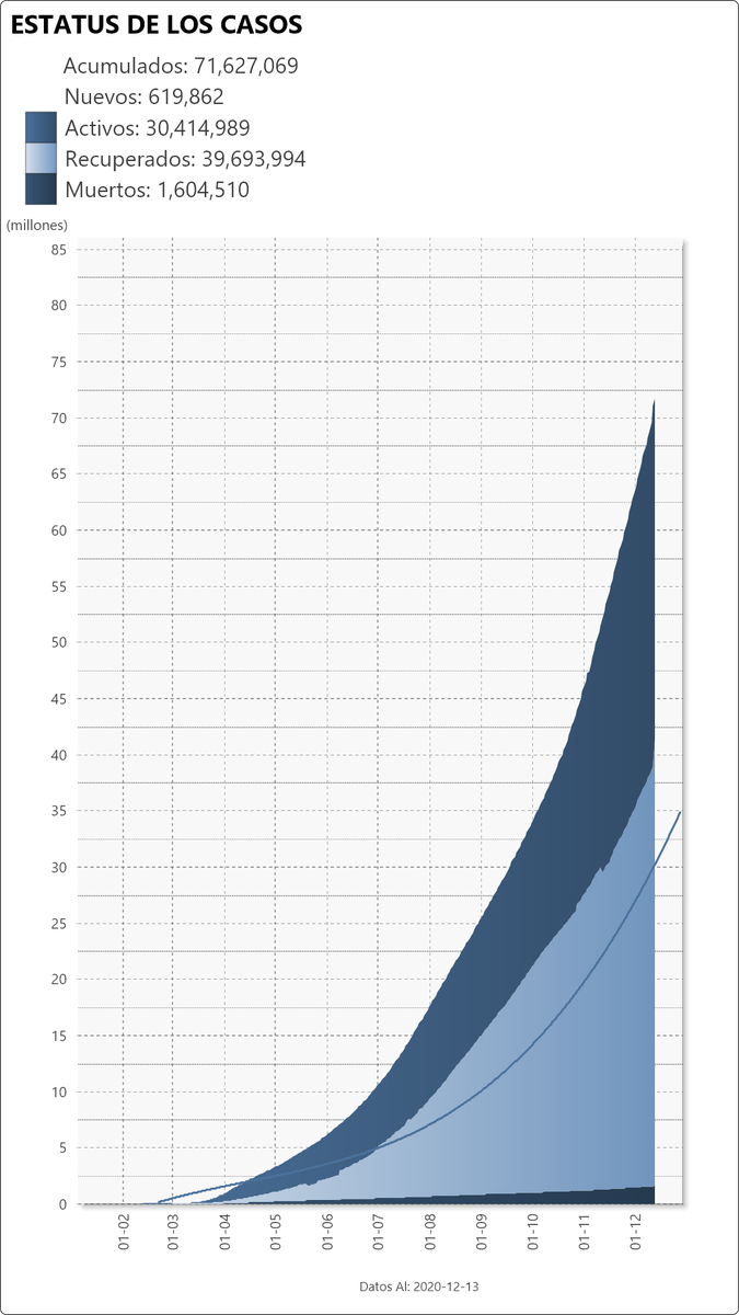
13 Dec
Buenas noches, les recuerdo que la fuente de datos es:
github.com/CSSEGISandData
El estado de los casos acumulados y casos nuevos a nivel global es el siguiente:
El estado de los decesos y la letalidad a nivel global es el siguiente:
Read 8 tweets

Did Thread Reader help you today?

Support us! We are indie developers!


This site is made by just two indie developers on a laptop doing marketing, support and development! Read more about the story.

Become a Premium Member ($3/month or $30/year) and get exclusive features!

Become Premium

Too expensive? Make a small donation by buying us coffee ($5) or help with server cost ($10)

Donate via Paypal Become our Patreon

Thank you for your support!

Follow Us on Twitter!