Buenas noches, les recuerdo que la fuente de datos es:
github.com/CSSEGISandData
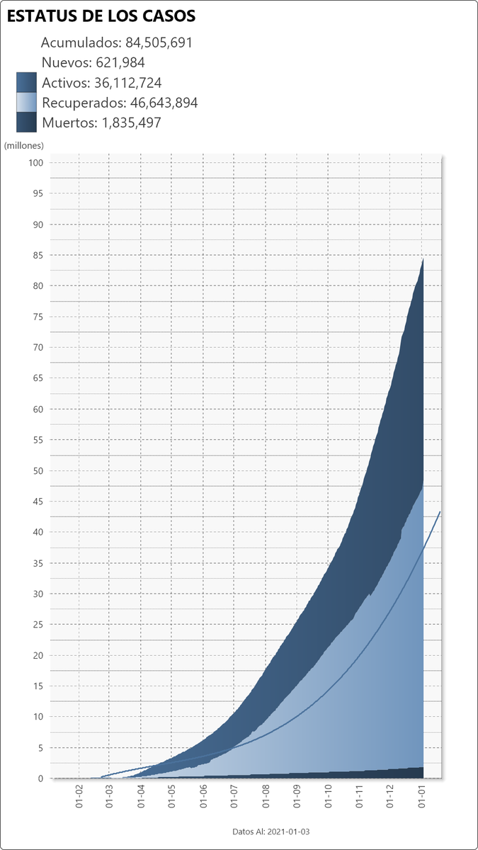
El estado de los casos acumulados y casos nuevos a nivel global es el siguiente:
El estado de los decesos a nivel global es el siguiente:
La proyección para hoy fue de 1,464,871 casos y 128,616 decesos. La @SSalud_mx reporta 1,466,490 casos y 128,822 defunciones. La proyección para mañana es de 1,476,016 casos y 129,594 decesos.

Tasa de letalidad: 8.78%
El porcentaje de aumento de casos contra el día anterior fue del 0.77%. Se llegará a 1.5 millones de casos el 9 de enero de 2021.
El número de casos contra el día anterior aumenta, tuvimos 11,271 casos nuevos, 4,807 más que ayer.

6.84% menos casos que hace una semana.

Una variación promedio del +4.44% para los últimos 7 días.
Recuerden que las curvas epidémicas para los estados y municipios y la distribución de los decesos por grupo de edad se actualizan todos los días y las pueden consultar en los tableros interactivos que están publicados en Tableau.

public.tableau.com/profile/el.zor…

• • •

Missing some Tweet in this thread? You can try to force a refresh
 

Keep Current with El Troll Ebus

El Troll Ebus Profile picture

Stay in touch and get notified when new unrolls are available from this author!

Read all threads

This Thread may be Removed Anytime!

PDF

Twitter may remove this content at anytime! Save it as PDF for later use!

Try unrolling a thread yourself!

how to unroll video
  1. Follow @ThreadReaderApp to mention us!

  2. From a Twitter thread mention us with a keyword "unroll"
@threadreaderapp unroll

Practice here first or read more on our help page!

More from @ZorlakRules

8 Jan
Buenas noches, les recuerdo que la fuente de datos es:
github.com/CSSEGISandData Image
El estado de los casos acumulados y casos nuevos a nivel global es el siguiente: ImageImageImageImage
El estado de los decesos a nivel global es el siguiente: ImageImageImageImage
Read 8 tweets
7 Jan
Buenas noches, les recuerdo que la fuente de datos es:
github.com/CSSEGISandData Image
El estado de los casos acumulados y casos nuevos a nivel global es el siguiente: ImageImageImageImage
El estado de los decesos a nivel global es el siguiente: ImageImageImageImage
Read 8 tweets
5 Jan
Buenas noches, les recuerdo que la fuente de datos es:
github.com/CSSEGISandData Image
El estado de los casos acumulados y casos nuevos a nivel global es el siguiente: ImageImageImageImage
El estado de los decesos a nivel global es el siguiente: ImageImageImageImage
Read 8 tweets
4 Jan
Buenas noches, les recuerdo que la fuente de datos es:
github.com/CSSEGISandData
El estado de los casos acumulados y casos nuevos a nivel global es el siguiente:
El estado de los decesos a nivel global es el siguiente:
Read 8 tweets
3 Jan
Buenas noches, les recuerdo que la fuente de datos es:
github.com/CSSEGISandData
El estado de los casos acumulados y casos nuevos a nivel global es el siguiente:
El estado de los decesos a nivel global es el siguiente:
Read 8 tweets
2 Jan
Buenas noches, les recuerdo que la fuente de datos es:
github.com/CSSEGISandData
El estado de los casos acumulados y casos nuevos a nivel global es el siguiente:
El estado de los decesos a nivel global es el siguiente:
Read 8 tweets

Did Thread Reader help you today?

Support us! We are indie developers!


This site is made by just two indie developers on a laptop doing marketing, support and development! Read more about the story.

Become a Premium Member ($3/month or $30/year) and get exclusive features!

Become Premium

Too expensive? Make a small donation by buying us coffee ($5) or help with server cost ($10)

Donate via Paypal Become our Patreon

Thank you for your support!

Follow Us on Twitter!