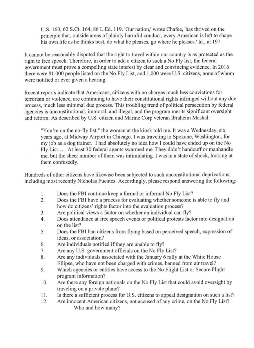
1/5 My first year in office I questioned FISA spying on citizens and have continually voted against its renewal and in favor of civil liberty and freedom.

gosar.house.gov/news/documents…
2/5 Whether it was Obama spying on journalists or Trump campaign, or draconian civil forfeitures, government abuse of citizens is not acceptable. Every citizen is entitled to due process; to be told of the allegations and have the ability to contest it before a neutral court.
3/5That brings me the secretive No Fly List. This secret list is so arbitrary it makes a Stasi agent blush. “"The No Fly List has been used to unjustly target Black and Brown people, particularly Muslims, and is a due process nightmare," Manar Waheed, counsel at ACLU.
4/5The list also targets white veterans, constitutionalists, patriots and law enforcement. What it fails to target apparently is actual terrorists.
5/5 I’ve written to the FBI to get information about this problem. My letter is attached. Today young America First supporters like @NickJFuentes and tomorrow anyone else the regime dislikes. Secret tribunals and no ability to challenge in court is immoral.

• • •

Missing some Tweet in this thread? You can try to force a refresh
 

Keep Current with Paul Gosar

Paul Gosar Profile picture

Stay in touch and get notified when new unrolls are available from this author!

Read all threads

This Thread may be Removed Anytime!

PDF

Twitter may remove this content at anytime! Save it as PDF for later use!

Try unrolling a thread yourself!

how to unroll video
  1. Follow @ThreadReaderApp to mention us!

  2. From a Twitter thread mention us with a keyword "unroll"
@threadreaderapp unroll

Practice here first or read more on our help page!

More from @DrPaulGosar

10 Nov 20
1. Not every county in the country was corrupted. It was not necessary. Key county’s in key states is all that is needed and that was targeted. That allows us to use the honest counties as control groups to demonstrate anomalies and pattern disruptions.
2. Let’s take Mohave County in AZ. There’s no evidence and no allegation of fraud or disenfranchisement there. It’s red but it has 20% registered Democrats and thousands of left of center independents.
3. Did democrats there vote only for Biden and then walk away from the down ballot (something seen in the challenged counties en mass)? The answer: No.
Read 5 tweets
4 Sep 20
A thread on @ronaldjhansen and @RAZ0RFIST

1. The job of correcting what remains of @azcentral is tedious and usually not worth it. But Ron Hansen wrote an amateur take on election fraud that was devoid of facts and reason. He defends ballot fraud and voter disenfranchisement.
2. Without evidence Ron attacks the Oracle labelling him a conspiracy theorist comedian. The term "conspiracy theorist" is what leftists use to attack a person without then feeling the need to address facts.
3. Some facts: the Oracle has 45,000 twitter followers and 266,000 YouTube subscribers. The Az Republic has a circulation of 130,000 and declining. As Seeing Red Arizona says "As a left-wing agenda pusher, it hastens its own demise, without giving an inch to the bitter end."
Read 8 tweets

Did Thread Reader help you today?

Support us! We are indie developers!


This site is made by just two indie developers on a laptop doing marketing, support and development! Read more about the story.

Become a Premium Member ($3/month or $30/year) and get exclusive features!

Become Premium

Too expensive? Make a small donation by buying us coffee ($5) or help with server cost ($10)

Donate via Paypal Become our Patreon

Thank you for your support!

Follow Us on Twitter!

:(