Nicolas Bonneel 🦋 Profile picture
Aug 19, 2021 24 tweets 13 min read Read on X
Une maitre de conf de mon domaine, l'informatique graphique, siège au conseil scientifique d'un gros organe de désinformation covid: reinfocovid.
Parmi leurs dernières bêtises sur la pharmacovigilance: "tout ce qu’on va lire par la suite relève d’une présomption de causalité" 1/X
puis "170 [évènts graves après vaccination Astrazeneca] ont conduit à la mort [en 1 mois en France selon l'ANSM]", puis 761 pour Pfizer, 7 pour Janssen et 44 pour Moderna. Reinfocovid en déduit, avec les données européennes (23k décès en Europe), une létalité réelle de 0.1% 2/X
après un x10 pour prendre en compte la sous-déclaration. Cela ferait environ 36k morts en France. Avec ce même calcul, on obtiendrait 1.4% d'effets indésirables graves.
Bref, la pharmacovigilance implique-t-elle, même approximativement, une causalité ? 3/X
Selon eux: "Les vaccins covid-19 sont les seules substances pour lesquels les effets indésirables sont remis en cause". Mais en vrai ca ne serait pas le cas. Leur argument ? On le voit ci-après: "On est la marmotte qui mange du chocolat". 4/X
Est-ce vrai ? Allez juste sur le site en question: adrreports.eu/fr/index.html Vous y verrez-la notice ci-après en première page qui concerne bien toutes les substances et n'est pas spécifique aux vaccins covid-19. Mensonge numéro 1. 5/X
On notera même la notice de rétractation d'un papier MDPI vaccines qui fait la même erreur de prendre les données de pharmacovigilance pour de la causalité: mdpi.com/2076-393X/9/7/…
6/X
Les chiffres restent-ils plausibles? Il y a en France 3.5 millions de vaccinés de + de 80 ans. Dans cette tranche d'âge, 10% de cette population est morte en 2020, avant les vaccins. Donc chaque jour qui passe, une personne de cette tranche d'âge a 0.027% de risque de décès 7/X
y compris le jour d'une injection. C'est peu. Mais x3.5 millions cela fera 930 pers. de 80+ ans qui mourront le jour d'une injection. Plus généralnt, ci-après la population vaccinée par tranche d'âge, ainsi que le nb moyen de décès quotidien attendu parmi ces vaccinés 1 dose. 8/X
Au total, 1584 devraient mourir le jour de leur 1ère injection. Le double si on compte 2 injections. Encore 7x ca si on considère une semaine entre l'injection et le décès comme suspecte. Encore 4x si finalement on prend 1 mois. Faire grosso modo x10 pour le chiffre européen. 9/X
Beaucoup moins si on considère une étude clinique dont la distribution des âges ne correspond pas à la distribution des personnes vaccinées actuellement (principalement âgées). Aussi il s'agit des chiffres de 2020 qui incluent une importante mortalité covid, sans vaccins. 10/X
Elle annonce par la suite: "une mort subite c'est une mort où on injecte et on meurt quelques minutes après".Non, on peut faire des morts subites plusieurs jours après. La base adrreports qu'ils utilisent inclut d'ailleurs des morts subites 8 j après:
11/X
Bon, pas convaincu ? On peut reprendre les données de phase 2 et 3 des différents vaccins.
- Pour Moderna c'est ici: nejm.org/doi/full/10.10… : 15k vaccinés, 15k placebo, suivi médian de 2 mois. 2 morts vaccinés non liés au vaccin (dont 1 suicide), 3 morts avec le placebo. 12/X
- Pfizer: nejm.org/doi/full/10.10… : 22k vacc, 22k placebo, suivi médian de 2 mois. 2 morts vaccinés non liés au vac, 4 avec placebo.
- Astrazeneca: sciencedirect.com/science/articl… : 24k vacc ; le suivi rapporte sur 6k vacc+6k placebo. 1 mort vacciné non lié au vac, 3 avec placebo. 13/X
- Janssen: nejm.org/doi/full/10.10… : 20k vacc, 20k placebo. 3 morts vaccinés non liés au vac, 16 morts placebo.
Vous voyez 0.1% de létalité sur 63k vaccinés? Les essais contrôlés ils ont pas l'air de connaitre. Mais je sens poindre le "mais ce sont des études de BigPharma!" 14/X
Allons ailleurs:
-Thompson et al. nejm.org/doi/full/10.10… 3179 vacc (Pfizer 67%+Moderna 33%),796 non vacc. Suivi médian 69j. 0mort
-Kadali et al. sciencedirect.com/science/articl… 803 Pfizer+442 Moderna:"no reports of anaphylaxis or death due to the BNT162b2" (Moderna on sait pas),2 hospit
- García-Grimshaw et al. ncbi.nlm.nih.gov/pmc/articles/P… . 704k vaccinés 1 dose (Pfizer). 33 effets indésirables sérieux (donc pas 1.4%, plutôt 0.005%), 0 morts parmi les 17 effets indésirables neurologiques qu'étudie ce papier (pas d'info sur les autres). 16/X
-Modenese.. mdpi.com/2076-393X/9/6/… 74 Pfizer,"No severe adverse effects were observed"
-Menni.. sciencedirect.com/science/articl… "Systemic and local side-effects after BNT162b2 and ChAdOx1 nCoV-19 vaccination occur at frequencies lower than reported in phase 3 trials" (self-report) 17/X
Je vous laisse aussi 2 calculateurs de balance benefice-risque des vaccins covid en fonction de divers paramètres (age, vaccin, sexe,...):
cress-umr1153.fr/covid_vaccines/
et
mediapart.fr/journal/france… 18/X
En quoi ces propos anxiogènes et manifestement faux sur les vaccins sont un problème? ->



Jamais ils ne mentionneront les séquelles post-réa ni les covid longs qui peuvent être lourdement handicapants. 19/X
Pour finir avec les discours nauséabonds de reinfocovid: "Le covid tue des personnes âgées [90 ans et +] malheureusement qui auraient dû peut-être mourir 2 années avant". A 90 ans un H a 4 ans à vivre et une F 5 ans. Personne n'aurait dû mourir avant. viager-rentable.com/esperance-de-v… 20/X
Et qlq sources qui rappellent que:
-la pharmacovigilance ne donne pas de causalités:
-ce n'est pas un vaccin experimental:
-rien n'indique que l'ivermectine ( cochrane.org/fr/CD015017/HA… ) ni l'HCQ cochranelibrary.com/cdsr/doi/10.10… marchent. 21/X
@Sonic_urticant @lonnibesancon @OSS117_Helsinki @arikouts @AlexSamTG @HerbelPhilippe @lionel_case @BioHospitalix et +. Et si vous connaissez d'autres gros RCT impliquant les vaccins et faisant un suivi de la mortalité, n'hésitez pas!
(Lire visu des *hospitalisations, pas mortalité)

• • •

Missing some Tweet in this thread? You can try to force a refresh
 

Keep Current with Nicolas Bonneel 🦋

Nicolas Bonneel 🦋 Profile picture

Stay in touch and get notified when new unrolls are available from this author!

Read all threads

This Thread may be Removed Anytime!

PDF

Twitter may remove this content at anytime! Save it as PDF for later use!

Try unrolling a thread yourself!

how to unroll video
  1. Follow @ThreadReaderApp to mention us!

  2. From a Twitter thread mention us with a keyword "unroll"
@threadreaderapp unroll

Practice here first or read more on our help page!

More from @nbonneel

Nov 20, 2023
You probably have a vague idea of how diffusion models work: progressively add noise to images during training, and learn a model to remove that noise. To generate a new image, just denoise a "pure noise" image. Let's provide some intuition to the formulas involved. 🔽 Image
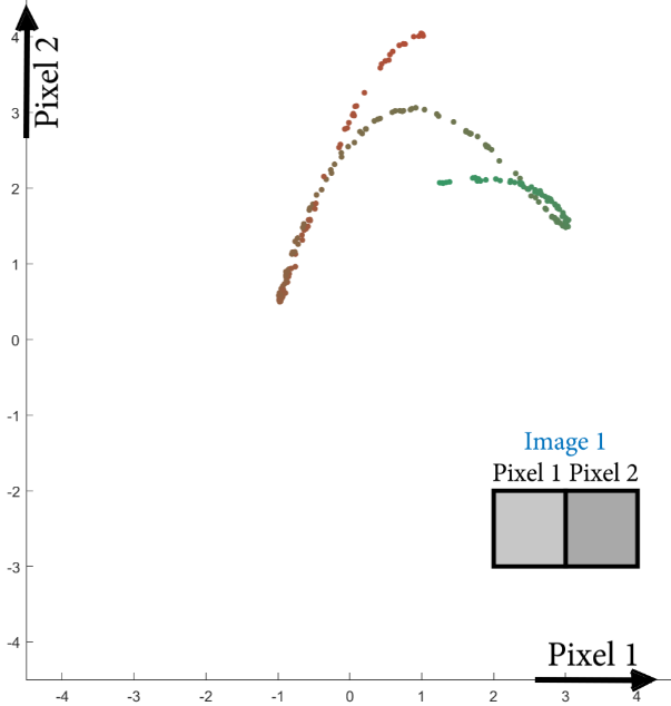
First there is the basic idea that for training, you need to transform your image into some noise. It would be tempting to add a random value (e.g., gaussian) to each pixel to add noise. However, the goal is to completely destroy any signal.
Indeed, ultimately we will sample from a known distribution (e.g. a centered gaussian), and transform that noise into a signal. But if you *add* random values, you do not destroy the signal. I illustrate that with a set of images of 2 grayscale pixels, each plotted as a 2d point. Image
Read 14 tweets
May 5, 2022
Super happy to share our @siggraph paper with @nvidia "MatBuilder: Mastering Sampling Uniformity Over Projections" (@LoisResearch, @nbonneel, @dcoeurjo, JC.Iehl, A.Keller, V.Ostromoukhov) projet.liris.cnrs.fr/matbuilder/. The motivation is that to estimate the value of an integral [1/16]
we can randomly sample the integrand and sum values -- this is Monte Carlo integration. With "well spread" samples instead of naive random values, we can improve the accuracy of the integral estimate a lot -- this is the quasi-Monte Carlo method. [2/16]
For instance, we can use stratified samples: for example, if we want 16 samples to estimates a 2-d integral defined in the domain [0,1]x[0,1], we decompose the domain into 4x4 square cells, and we put one sample in each cell. [3/16]
Read 17 tweets
May 5, 2022
Très content de partager notre papier @siggraph avec @NVIDIA "MatBuilder: Mastering Sampling Uniformity Over Projections", @LoisResearch, @nbonneel, @dcoeurjo, JC.Iehl, A.Keller, V.Ostromoukhov projet.liris.cnrs.fr/matbuilder/. La motiv est que pr estimer la valeur d'une intégrale,[1/16]
on peut échantillonner aléatoirement l'intégrande et sommer les valeurs--c'est l'intégration de Monte Carlo. Avec des échantillons "bien répartis" au lieu de bêtes valeurs aléatoires on améliore bcp la précision de l'intégrale estimée--c'est la méthode de quasi-Monte Carlo [2/16]
Par exemple, on peut choisir des positions stratifiées : par exemple, si on veut utiliser 16 points pour calculer une intégrale en 2D sur le domaine [0,1]x[0,1], on découpe le domaine en 4x4 cases carrées, et on met un point dans chaque case. [3/16]
Read 17 tweets
Jun 15, 2020
Nombre moyen de jours entre la soumission et l'acceptation (revision inclue) au fameux journal "New Microbes and New Infections" pour 140 publications de Raoult dans ce journal. Il y a un outlier... dans le contexte, j'imagine une typo (sciencedirect.com/science/articl…). Ca fait rêver ;)
Pour ceux qui ne connaissent pas le système de publications: d'habitude on soumet un article à un journal, ensuite l'éditeur dispatche aux éditeurs associés (EA) compétents (cela prend qlq jours). L'EA cherche des relecteurs: cela prend generalement plusieurs jours [1/2]
à plusieurs semaines en fonction du prestige du truc, de la popularité du domaine etc. (ca me prend rarement moins d'1 mois pour trouver 3 relecteurs qui acceptent). Les relecteurs ont ensuite plusieurs semaines pour rédiger un rapport (en général 4 à 6). [2/3]
Read 5 tweets

Did Thread Reader help you today?

Support us! We are indie developers!


This site is made by just two indie developers on a laptop doing marketing, support and development! Read more about the story.

Become a Premium Member ($3/month or $30/year) and get exclusive features!

Become Premium

Don't want to be a Premium member but still want to support us?

Make a small donation by buying us coffee ($5) or help with server cost ($10)

Donate via Paypal

Or Donate anonymously using crypto!

Ethereum

0xfe58350B80634f60Fa6Dc149a72b4DFbc17D341E copy

Bitcoin

3ATGMxNzCUFzxpMCHL5sWSt4DVtS8UqXpi copy

Thank you for your support!

Follow Us!

:(