Acrylamide ni terhasil bila benda berkarbohidrat dipanaskan pada suhu tinggi, contohnya panggang, fry atau bake.

Roasted coffee beans, cereal, cookies, fries ada ja byk acrylamide.

Benda normal. Depa saja buat teruk, nak burukkan palm oil dan promote canola/ corn oil.
Dah biskut Hup Seng sedap dan guna palm oil, sebab tu depa tak puas hati.

Berdekad dah isu ni, just nak create kontroversi dan jejas harga pasaran.

Till today, tadak satu artikel saintifik pun yang cakap pasal keburukan ketara palm oil dan Hup Seng.

Tenang.
Malaysian Palm Oil Council (MPOC) pun ada bagitau banyak kuasa pasaran besar luar yang tak puas hati dengan minyak sawit.

Bukan produk Malaysia tak bagus atau pekerja Malaysia tak buat kerja. Cuma biasalah orang luar tak senang duduk.

Depa berani bising dalam artikel media ja.
Ada yang tanya kenapa palm oil lebih bagus.

Secara asasnya, minyak yang ada purata asid linoleic dan asid linolenic rendah adalah lebih bagus.

Tahan lebih lama dan suhu tinggi. Nilai asid rendah sebab tu tak mudah teroksida.
Perbandingan jenis minyak pula, linoleic acid ialah asid lemak tak tepu (ada double bond) dan lebih bagus berbanding asid stearic dalam majerin susu dan lelain.

Lemak tak tepu mudah hadam dan tingkatkan kandungan kolesterol baik, High Density Lipoprotein (HDL) dlm badan.
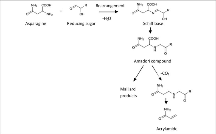
Persoalan seterusnya, apa sebenarnya acrylamide.

Acrylamide ialah hasil tindakbalas antara asid amino asparagine (dari protein lemak) dengan glukosa pada suhu tinggi. Nama proses ni ialah Mailard reaction.

Warna brown pada biskut, roti, biji kopi dan fries tu lah acrylamide.
Canola oil dan soy oil ada kandungan asid amino asparagine yang tinggi, dan menyebabkan penghasilan acrylamide dan peroksida yang tinggi. Tak bagus.

Whereas, palm oil pula rendah.

Alih alih, palm oil dan biskut Hup Seng jugak yang kena. Heran.
Lastly, menjawab soalan besar. Selamat tak makan biskut Hup Seng ?

Selamat dan lebih digalakkan berbanding biskut keluaran luar negara lain.

Benda dah lama lalai, kita yang rancang.

Pi bagitau geng fb. Sekian. Save Hup Seng.

• • •

Missing some Tweet in this thread? You can try to force a refresh
 

Keep Current with Mas Faiz

Mas Faiz Profile picture

Stay in touch and get notified when new unrolls are available from this author!

Read all threads

This Thread may be Removed Anytime!

PDF

Twitter may remove this content at anytime! Save it as PDF for later use!

Try unrolling a thread yourself!

how to unroll video
  1. Follow @ThreadReaderApp to mention us!

  2. From a Twitter thread mention us with a keyword "unroll"
@threadreaderapp unroll

Practice here first or read more on our help page!

More from @masfaizhakim

5 Jul
Sorry lambat. Saya cuba terangkan dari sudut laut, geo-petrochem dan macam mana boleh terbakar dan padam.

Ni ialah kebocoran pipeline system dari salah satu pelantar minyak Pemex (Petroleos Mexicanos) iaitu Ku Maloob Zaap, sedalam 100m laut.

Pemex ni macam Petronas.
1. Struktur laut

Secara asasnya, laut ada banyak bahagian. Tapi saya nak sentuh dua ja iaitu, shallow-water dan deep-water region.

Bawah kerak bumi, ada minyak mentah (crude oil) dan gas asli (natural gas) hasil daripada mendapan hidupan organik bertahun.
Kapal yang sedut minyak dipanggil FPSO (Floating Production Storage and Offloading) ship.

Dekat deep-water region, depa drill dan extract minyak dari bawah tanah direct terus ke kapal dan simpan di pelantar minyak.
Read 15 tweets
26 May
Bila perlu makan panadol?

• Lepas vaksin. BUKAN sebelum•

Since ramai update makan panadol sebab sakit kepala, jadi saya nak cerita apa kandungan, kebaikan dan side effect dia.

Panadol, nama sebenar ialah Para-acetaminophenol.

Ada 6 jenis kebiasaan di Malaysia.

THREAD KIMIA
1. Panadol Actifast

Paling famous, tapi berhati hati. Sebab ada kandungan ion garam Natrium (Na+) yang tinggi sebanyak 173mg per tablet. Ambik maksima 2 biji ja.

Na+ bagi mudah hadam dan diserap laju di usus kecil. Sebab tu fast.

Yang ada darah tinggi, elakkan.
2. Panadol Optizorb

Ni antara formulasi terbaru. Effect terapeutik dia laju jgk dalam 20 minit.

Panadol ni guna Calsium Carbonate (CaCO3) dan alginic acid utk ganti ion Na+ so that senang hadam.

Kandungan Na rendah, so lebih selamat. Tapi sedikit berasid so alas perut dulu.
Read 10 tweets
24 May
As much as i don’t wanna say this, but i think its time.

My mother is an Occupational Health Doctor (OHD). My aunt is a radiologist. My elder brother is an MO.

They have been handling thousands of Covid cases, swab test and injections.

Tak ada sekali pun depa salahkan vaksin.
Tak ada sekali pun depa keluarkan kenyataan dekat whatsapp.

Tak ada sekali pun depa forward mesej jiran sebelah, mak teh atau lain lain.

Tak ada sekali pun depa salahkan mana mana pihak.

They do their job, day and night. They just want to save lives.
So please, stop forwarding nonsense whatsapp messages.

The more people that has been misleaded, the more the ignorance, the more the cases.

The harder the frontliners need to sacrifice.

This has to stop.

Cukuplah.
Read 7 tweets
23 May
Lately ni banyaklah dengar orang cakap patient meninggal sebab blood clot especially lepas vaksin.

Smoking pun blood clot.

Covid pun blood clot.

Tapi, blood clot (darah beku) ni apa sebenarnya dan macam mana boleh jadi?

Jemput baca dan pi bagitau yg lain.

•THREAD KIMIA•
Dalam darah merah kita ada Haemoglobin.

Haemoglobin ialah protein yang mengandungi ion Ferum (Fe), fungsi untuk tangkap oxygen.

Untuk yang tak pernah tengok bentuk molekul darah sendiri, bawah ni ialah molekul Darah Merah kita.

Dalam badan kita ada Iron (Fe) ok.
Ferum dalam badan fungsinya sebagai metal centre, bahasa mudah, macam driver kereta.

Oxygen akan bind dengan Fe dalam Haemoglobin melalui Dative Bond menghasilkan complex (gambar 1)

Haemoglobin ni pulak akan transport oxygen ke seluruh badan kita (gambar 2)
Read 11 tweets
28 Apr
Sistem pendidikan Malaysia needs serious meds. Nazak dah ni.
Silibus makin tak masuk akal.

Cikgu sendiri pun tak reti nak ajar.

Pastu expect student score.

Belajar macam orang gila. Last last, kerja takdak.
Aku koyak. Apa jadahnya kimia f4 tiba tiba belajar dative bond organic mechanism apa semua ?

Student pt3 pun tak jawab. Cikgu sekolah kebanyakkan taktau pun menatang apa dative bond dan fail organic chem.

Tak releven langsung !
Read 8 tweets
26 Apr
Jangan makan ubat dgn minum air gas. Ubat ada ion zinc, magnesium dan zat besi yang lain untuk buatkan ubat larut (soluble)

Interaksi ion ni dgn air gas (carbonic acid) akan buat ubat tak efektif dan makin teruk.

Just nak share, sebab kawan saya suka makan ubat dengan air gas. Image
Ya ubat memang pahit. Tapi lagi pahit badan kita bila minum dengan air gas.

Interaksi asid karbonik dgn ubat akan menyebakan zaf kimia, antibiotik dan sebatian farmakologi pada ubat sukar dicernakan.

Minum air suam atau ais pun okay. Biasalah pahit sikit. Hangpa dah cukup manis
Kesan interaksi ubat dan asid karbonik akan melambatkan tindak balas ubat di dalam tubuh dan turunkan pH badan.

Enzim dan pH badan kita sangat sensitif dgn asid.

Antara complication ialah rasa gelisah, sakit perut, mual, muntah dan heart beat makin laju. Image
Read 4 tweets

Did Thread Reader help you today?

Support us! We are indie developers!


This site is made by just two indie developers on a laptop doing marketing, support and development! Read more about the story.

Become a Premium Member ($3/month or $30/year) and get exclusive features!

Become Premium

Too expensive? Make a small donation by buying us coffee ($5) or help with server cost ($10)

Donate via Paypal Become our Patreon

Thank you for your support!

Follow Us on Twitter!

:(