Michael Gableman, the attorney leading the Wisconsin Assembly’s partisan election review, is testifying before the Assembly TODAY. There are important questions about this taxpayer-funded investigation that the people of Wisconsin deserve to have answered.
americanoversight.org/five-key-quest…
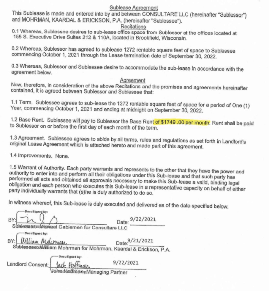
Records we obtained show there are several people receiving payments as part of the investigation. Will Gableman confirm those individuals are investigators on his official staff? Why hasn’t Gableman released the names of all his staff?
ImageImageImage
What business did Gableman have that necessitated a visit to the Pleasant Prairie headquarters of packaging firm Uline (run by major Trump donors Liz and Dick Uihlein) in October 2021?
jsonline.com/story/news/pol… Image
The Thomas More Society worked extensively during the 2020 election to file lawsuits seeking to overturn the will of the voters. Records we obtained show Gableman, now a government contractor, is sharing office space with the organization. Are these arrangements common? Image
See more of the records we uncovered from Wisconsin’s partisan election investigation here:
americanoversight.org/expense-record…

• • •

Missing some Tweet in this thread? You can try to force a refresh
 

Keep Current with American Oversight

American Oversight Profile picture

Stay in touch and get notified when new unrolls are available from this author!

Read all threads

This Thread may be Removed Anytime!

PDF

Twitter may remove this content at anytime! Save it as PDF for later use!

Try unrolling a thread yourself!

how to unroll video
  1. Follow @ThreadReaderApp to mention us!

  2. From a Twitter thread mention us with a keyword "unroll"
@threadreaderapp unroll

Practice here first or read more on our help page!

More from @weareoversight

2 Dec
NEW: Documents we obtained raise significant questions about the accuracy of statements a local Pennsylvania official made to a state Senate committee regarding a 2020 election audit. americanoversight.org/discrepancies-…
On September 8, 2021, Fulton County Commissioner Stuart Ulsh offered sworn testimony to the Pennsylvania Senate’s Intergovernmental Operations Committee regarding a review of the 2020 election in the county.
In his testimony, Ulsh denied being aware of Penn. State Senator Doug Mastriano’s involvement with the election review conducted by the contractor Wake TSI. The company was later involved in the Arizona “audit.” Image
Read 9 tweets
30 Nov
As state officials launched sham election reviews to push the Big Lie that the 2020 election was stolen, we sprung to action and filed dozens of public records requests to investigate. This #GivingTuesday , here’s an overview of what we’ve uncovered about sham election reviews.
I: Arizona. Soon after the election, the Arizona Senate, led by Senate President Karen Fann, subpoenaed Maricopa County, the state’s most populous county, for images of mail-in ballots, voting equipment, and other documents.
Records we later obtained showed that Fann boasted about having “numerous conversations” with Trump attorney Rudy Giuliani during this period, and had received a “personal call from President Trump thanking us for pushing to prove any fraud.”
Read 20 tweets
30 Nov
New Documents: South Dakota Gov. Kristi Noem spent tens of thousands of taxpayer dollars on decor and furnishings for her office and governor’s mansion, records we obtained and @argusleader reported on show.
americanoversight.org/new-records-de… Image
Since 2019, Noem has spent more than $58,000 on renovations and decor, including design service, chairs, lamps, televisions, and more. Noem purchased 14 rugs for the governor’s residence. Image
The responses to our public records requests also indicate there are outstanding projected expenditures, including $14,846 for flooring, $4,776 for an architecture firm, $160,765 related to Noem’s residence’s elevators.
Read 4 tweets
30 Nov
Michael Gableman, the attorney leading the Wisconsin Assembly’s election review, traveled to the Arizona “audit” and to Mike Lindell's "cyber symposium."

Records we obtained show taxpayers paid for the trips, even though Speaker Vos said they wouldn’t.
jsonline.com/story/news/pol…
The records further detail the expenses of Gableman and members of his staff. Gableman’s office has sought to keep the identities of several taxpayer-funded staff members secret.
americanoversight.org/expense-record…
The records we uncovered indicate that Carol Matheis has been working with Gableman as “Investigator 1” since at least Sept. 1; Andrew Kloster has been “Investigator 2” since at least July 26. Although unidentified, the records reference a third investigator.
Read 7 tweets
29 Nov
This #GivingTuesday, support our investigation into the “Big Lie,” including the bogus voter-fraud myth at its core; the attempts to stop the certification of the 2020 election; the Jan. 6 attacks; new voting-restriction bills; and sham election reviews.
actionnetwork.org/fundraising/gi…
We recently published an in-depth look at the “Big Lie” — that the election was “stolen” from Trump because of voter fraud — and the array of allies who for years have been sowing the seeds of this democracy-undermining lie.
americanoversight.org/from-voter-fra…
Those allies include his own inner circle of lawyers as well as grassroots leaders; legislators who used the Big Lie to restrict voting rights in their states; deep-pocketed conservative groups; & state attorneys general who backed outlandish legal challenges to the 2020 results.
Read 6 tweets
22 Nov
In May, we sued the Arizona Senate for records related to its partisan election “audit.” More than 6 months later, the Senate is still fighting transparency.

But we’ve already uncovered thousands of records that show three key things. Here’s a thread with a lot of receipts.
First, the Trump administration and its intermediaries were involved from the beginning in urging the Arizona Senate to discredit the election results by claiming there was widespread fraud.
On Nov. 14, 2020, Arizona Senate President Karen Fann emailed Senate Republicans and said: “We are working with our Congressmen, State Party, Boards of Supervisors, Trump team etc to either prove or disprove concerns.”
documentcloud.org/documents/2107…
Read 20 tweets

Did Thread Reader help you today?

Support us! We are indie developers!


This site is made by just two indie developers on a laptop doing marketing, support and development! Read more about the story.

Become a Premium Member ($3/month or $30/year) and get exclusive features!

Become Premium

Too expensive? Make a small donation by buying us coffee ($5) or help with server cost ($10)

Donate via Paypal

Or Donate anonymously using crypto!

Ethereum

0xfe58350B80634f60Fa6Dc149a72b4DFbc17D341E copy

Bitcoin

3ATGMxNzCUFzxpMCHL5sWSt4DVtS8UqXpi copy

Thank you for your support!

Follow Us on Twitter!

:(