olafgarber Profile picture
Feb 17, 2022 11 tweets 4 min read Read on X
Fremdschutz ist die Begründung des BVG zur Impfpflicht. Die Datenbasis des RKI wurde jedoch gefiltert um eine Wirksamkeit der Impfung gegen Omikron nachzuweisen, eine Quelle im RKI beweist dies jetzt.

Thread mit allen Details:
Kritiker des BVG-Urteils verloren den Glauben an die Rechtsstaatlichkeit, da ihnen aus Dänemark bekannt war das bei Omikron die Geimpften sich etwas öfter anstecken als Ungeimpfte, Fremdschutz also nicht möglich ist. Image
In Großbritannien werden Geboosterte inzwischen fast doppelt so häufig krank wie Ungeimpfte, also eine katastrophal negative Impfeffizienz. Die Booster sind dort schon länger her als in Kontinentaleuropa und verlieren ihre Wirksamkeit. Image
Nur in Deutschland haben die Ungeimpften mehr Fälle pro 100.000 als die Geimpften. Aber die Y-Achse verrät: Dänemark und UK haben jeden Bürger erfasst, das RKI jedoch hat nur wenige Fälle mit Angaben zu geimpft/ungeimpft gemeldet bekommen Image
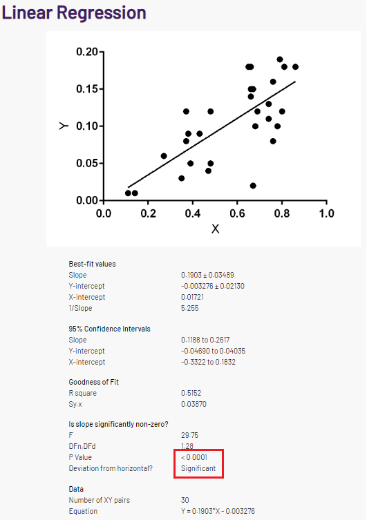
Der Hinweis aus dem RKI betrifft die plötzlich trotz Omikron steigende Impfeffizienz Image
In Wirklichkeit ist sie auch in D gefallen, so sieht die Graphik wirklich aus. Die Impfeffektivität ist ohne Booster negativ, d.h. auch hier stecken sich Geimpfte öfter an als Ungeimpfte.
Mit Booster nur noch geringe Wirksamkeit. Image
Die Politik hat den Chaos-Daten des RKI nicht mehr vertraut und deshalb per Gesetz verlangt das die Deutsche Interdisziplinäre Vereinigung für Intensiv- und Notfallmedizin e. V. (DIVI) die Daten aller Intensivstationen mit Angabe zu Geimpft/Ungeimpft zentral erfasst.
Und DIVI beweist eindeutig das das RKI über seine komplizierte Meldekette viel zu wenig geimpfte COVID-Fälle erfasst:
Sub-Thread mit allen Details
Somit ist Fremdschutz durch Geimpfte mit Omikron nicht mehr möglich, eine Impfpflicht für Gesundheitspersonal ist nicht mehr begründbar.
Auch Selbstschutz vor schweren Verläufen liegt nur noch bei 61% für mindestens vollständig Geimpfte, und fällt 10 % pro Woche. (DIVI-Daten) Image
Wenn diese Daten bekannt sind könnte hier auch die Spaltung der Gesellschaft überwunden werden. Impfpflicht-Befürworter verstehen dann die Motivation der Gegner, und die Gegner verstehen das das BVG nicht willkürlich sondern “nur” aufgrund falscher Daten des RKI geurteilt hat.
Die Politik wollte die DIVI-Daten um klar zu sehen was los ist. Jetzt sind sie da, wem müssen sie gezeigt werden?
@rki_de, @Karl_Lauterbach, @Tim_Roehn,

• • •

Missing some Tweet in this thread? You can try to force a refresh
 

Keep Current with olafgarber

olafgarber Profile picture

Stay in touch and get notified when new unrolls are available from this author!

Read all threads

This Thread may be Removed Anytime!

PDF

Twitter may remove this content at anytime! Save it as PDF for later use!

Try unrolling a thread yourself!

how to unroll video
  1. Follow @ThreadReaderApp to mention us!

  2. From a Twitter thread mention us with a keyword "unroll"
@threadreaderapp unroll

Practice here first or read more on our help page!

More from @olafgarber

Nov 21, 2022
@tomdabassman @AlexanderKekule Es geht um diese Studie bei @AlexanderKekule
Kekule irrt leider, die Symptome sind bei Geimpften und Ungeimpften gleich bis auf eines: Todesfälle. Hier ist das Risiko für Geimpfte leider deutlich erhöht.
Siehe Supplementary Table 4 #
Thread 1/

nature.com/articles/s4159…
@tomdabassman @AlexanderKekule In Nature wird nur die linke Graphik gezeigt. In Supplementary Table 4 jedoch die bittere Warheit: Ungeimpfte haben bei Reinfektion ein um 67% (gegenüber keiner 2. Infektion) erhöhtes Risiko zu sterben, Geimpfte aber um 97%.
(1 = Baseline ohne 2. Infektion, 1,97 = 97% erhöht)
2/ ImageImage
@tomdabassman @AlexanderKekule Mir wurde übel als ich diesen Anhang zur Studie gefunden hatte. Bitte, bitte hört auf zu boostern. Vor allem da das Risiko von Long Covid höher ist je kürzer der Abstand zum letzten Booster.
Dies ⬇️ist die einzige Studie die bislang nur Omikron betrachtet. Image
Read 4 tweets
Nov 6, 2022
Zu viele Geimpft/Geboosterte auf Intensiv: DIVI-Daten nach Impfstatus werden ab 3.11.22 nicht mehr im RKI-Wochenbericht veröffentlicht. Denn: Kein Schutz vor schweren Verläufen mehr nachweisbar.

Institutionen die so etwas machen müssen tun mir leid.
1/5
Das BVerfG hat den Bundestag verpflichtet die Impfpflicht zu kontrollieren: "Allerdings kann eine zunächst verfassungskonforme Regelung später mit Wirkung für die Zukunft verfassungswidrig werden, wenn ursprüngliche Annahmen des Gesetzgebers nicht mehr tragen." (Rn 167)
2/5
Wie soll der Bundestag dem nachkommen ohne genaue Daten?
Auch beim Fremdschutz: RKI unterdrückt Daten zu Ansteckungen seit Geimpfte sich öfter anstecken als Ungeimpfte.

Dies hat mir persönlich den Boden unter den Füßen weggezogen. Das hätte ich in D niemals erwartet.
3/5
Read 5 tweets
Nov 6, 2022
Why are the unvaccinated disappearing from intensive care units?
In January 2022, 60% of Covid patients in intensive care units were unvaccinated, now 88.4% are vaccinated.
@rki_de and DIVI (all German intensive care units) report loss of protection against severe disease
1/3
Average ICU patients are older than 60. This particular population is 89.8% vaccinated.
Vaccinated represent 88.4% of intensive care patients = so no protection against severe courses.
Most people have recognized this and refuse further boosters.
2/3
Unvaccinated middle-aged people were in intensive care before Omicron. Since April 2022 they were replaced by boosted older people.
It looks like a return to a normal age distribution in intensive care, the vaccination no longer makes a difference.
3/3
Read 5 tweets
Oct 21, 2022
Die Übersterblichkeit ist seit April 2022 in geboosterten Ländern deutlich höher als in Ländern mit geringer Boosterquote.
Graphik zeigt offizielle EU-Daten
1/11
In 2021 verlief die Trendlinie genau entgegengesetzt, die Impfung reduzierte Übersterblichkeit.

Deshalb haben die Regierungen sich so sehr für die Impfung eingesetzt.

Der Wechsel von Schutz in 2021 zu 16% Übersterblichkeit ab April 2022 ist eine menschliche Katastrophe.
2/11
Wenn dieser Zusammenhang dauerhaft bestehen bliebe hätten Geboosterte eine Übersterblichkeit von 18%. Dies würde die Lebenserwartung senken.

Der Zusammenhang ist statistisch signifikant
3/11
Read 12 tweets
Aug 28, 2022
Das Gesundheitsministerium verbreitet per Anzeige Fehlinformationen:

5 mal mehr Ungeimpfte als Geboosterte über 60 J. mit Corona im Krankenhaus lt. @rki?

Habe nachgeschaut -
Woche 24 bis 27 in 2022
Hospitalisiert über 60 Jahre:
318 Ungeimpfte
631 mit Auffrischimpfung

(1/5)
Die Werbeagentur hat hier Inzidenz und Fallzahlen verwechselt. Bitte korrigieren, da medizinische Fehlinformation.
Zusätzlich: RKI hat nur kleine, nicht repräsentative Stichprobe; laut DIVI (repräsentativ!) sind nur 16,2% der Intensivpatienten ungeimpft.
2/5
Das RKI veröffentlicht die Impfeffektivitätsdaten zum Schutz vor symptomatischer Ansteckung nicht mehr seit sie negativ wurden, Geimpfte sich statistisch also geringfügig öfter anstecken als Ungeimpfte.
3/5
Read 5 tweets
Aug 27, 2022
Staatliche Electricite de France verkauft Strom für 17,4 cent pro kWh an Endkunden und kauft in Deutschland Strom zum Börsenpreis (über 70 cent).
Milliardenverluste zahlt der französische Staat mit Darlehen der EZB.

Und unser Strompreis steigt weiter...
👇
Ein gemeinsamer Strommarkt funktioniert nicht wenn der Strompreis in vielen Ländern gedeckelt ist (=kein Anreiz zum Energiesparen) und deutsche Verbraucher den vollen Börsenpreis tragen müssen.

Aber unsere Stromversorger sind von den Erzeugern getrennt, zahlen Marktpreise
2/6
Vorschlag @BMWK : Temporäre Erzeuger - Preisdeckelung auch in Deutschland.
Festgelegte (profitable!) Großhandelspreise je nach Erzeugungsart.
Jeder Erzeuger der zu höheren Preisen verkauft (z.B. an EDF) zahlt auf den zusätzlichen Ertrag 100% Steuer.
3/6
Read 6 tweets

Did Thread Reader help you today?

Support us! We are indie developers!


This site is made by just two indie developers on a laptop doing marketing, support and development! Read more about the story.

Become a Premium Member ($3/month or $30/year) and get exclusive features!

Become Premium

Don't want to be a Premium member but still want to support us?

Make a small donation by buying us coffee ($5) or help with server cost ($10)

Donate via Paypal

Or Donate anonymously using crypto!

Ethereum

0xfe58350B80634f60Fa6Dc149a72b4DFbc17D341E copy

Bitcoin

3ATGMxNzCUFzxpMCHL5sWSt4DVtS8UqXpi copy

Thank you for your support!

Follow Us!

:(