Enrique Barrera Profile picture
Feb 27, 2022 58 tweets 20 min read Read on X
🧵La meteorología es también una rama de la física, por lo que para poder estudiarla se hace uso de herramientas físicas y matemáticas. Vamos a hacer un repasito de todas ellas con diversos ejemplos de meteorología: advección, derivada euleriana, tensor velocidad, vorticidad...🔽
Empezaremos el hilo recordando lo que eran vectores y escalares y luego nos adentraremos en el análisis vectorial con diversos ejemplos. Después hablaremos de la visión lagrangiana y euleriana y el tensor velocidad, que nos ayudarán a describir la vorticidad y otras magnitudes.
Al final veremos cómo surgen de estos conceptos las ecuaciones de movimiento de la atmósfera con ayuda del teorema del transporte de Reynolds. Voy a intentar explicarlo de manera que puedan entenderlo gente sin mucha formación y sin ofender a matemáticos.
Vamos a empezar hablando de magnitudes. Si una magnitud puede tomar únicamente valores numéricos, decimos que es una magnitud escalar. Los ejemplos+ típicos son el tiempo o la temperatura. Si en una habitación a cada punto le diéramos una temperatura, tendríamos un campo escalar.
En cambio, hay magnitudes de las cuáles hay que precisar otras características, son las mangnitudes vectoriales. Al ser vectores tienen módulo, dirección y sentido. Un ejemplo es la velocidad. Te puedes mover hacia delante, hacia arriba y en cada dirección la velocid es diferente
El módulo de la velocidad sería la longitud que tiene el vector en 3 dimensiones. Si fuera el viento eso se mediría con el anemómetro. La dirección y sentido de la velocidad del viento la mediríamos con la veleta. El análogo al campo escalar es el campo vectorial.
Las operaciones más típicas con vectores son el producto escalar y el producto vectorial. Si tenemos dos vectores, en el producto escalar multiplicas cada componente por otra y luego se suman (izq) para dar un escalar y en el vectorial se obtiene un vector perpendicular (dcha).
Imagina que quieres calcular cómo cambia la temperatura a lo largo de una dirección, de abajo arriba por ejemplo. En este caso lo que se usa es la derivada, que nos dice cuanto cambia una función si cambiamos otra variable.
El ejemplo más típico es la velocidad, que nos dice cómo cambia la posición de algo respecto al tiempo. La definición matemática formal se hace a través de límites y la representación gráfica de la derivada en un punto es la pendiente de la recta tangente de la función.
Si una variable depende a su vez de otras variables aparecen las derivadas parciales. En este caso, la derivada se puede expresar como sumas de las derivadas parciales de las otras variables dependientes.Aquí tenéis un ejemplo: z podría ser la temperatura, x el volumen, y presión
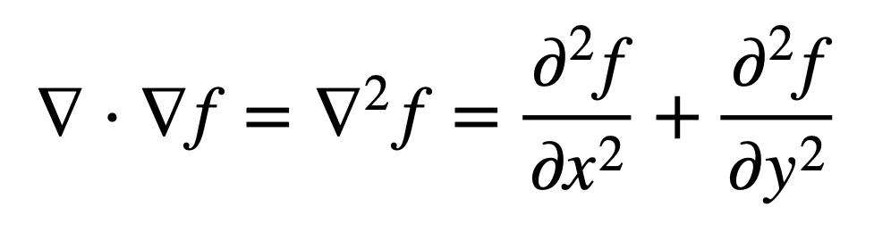
Ahora podemos introducir un operador que consista en la suma de derivadas parciales respecto a cada dirección en esa dirección. Implica que si tenemos un escalar, al aplicar este operador tendremos un vector en las tres direcciones. Cada componente es la derivada en esa dirección
El vector que se obtiene al aplicar el operador nabla a un escalar se llama GRADIENTE. Un ejemplo, si la temperatura es T=4x+5y, el gradiente de T será (4,5) porque la derivada de T respecto a x es 4x y la de 5y respecto a y es 5. Recuerden que (,) expresa coordenadas del vector
Hemos pasado de un campo escalar a un campo vectorial. El gradiente lo que nos indica es la dirección del máximo crecimiento de la función. En este ejemplo de la wikipedia, los colores más oscuros indicarían más temperatura y las flechas indican el gradiente de temperatura.
Como veis el gradiente va de una zona de menos a más temperatura. Pero a los meteorólogos les gusta complicarse la vida y por eso inventaron otro concepto la advección, que será el producto negativo de la velocidad por el gradiente de temperatura (-v∇T)
Si este producto es positivo para, tendremos advección cálida, es decir tendremos movimiento de aire cálido a una zona más fría y si es positivo tendremos advección fría y se dará lo contrario. Se pueden usar otras magnitudes que no sean temperatura como la vorticidad.
Cuando en meteorología se habla de advección, nos solemos referir a movimientos de masas de aire. Mientras el gradiente nos indica la dirección donde crece la temperatura, la advección nos indica hacia donde se mueve esa masa de aire, ¿pero por qué se multiplica por la velocidad?
El gradiente tiene la característica de que es perpendicular a las líneas de nivel en cada punto, por ejemplo el gradiente de presión es perpendicular a las isóbaras (líneas de igual presión). De ahí que la fuerza de los gradientes de presión sean perpendiculares a las isóbaras.
En la física meteorológica tenemos dos visiones del mundo diferente: te puedes mover montado en el tren o fuera de el. En este caso el tren sería el viento. Si observas los fenómenos meteorológicos siguiendo el viento estás en un sistema de referencia lagrangiano.
En el caso contrario estás en un sistema euleriano. Los cambios de una magnitud en un sistema lagrangiano se expresan con derivadas parciales y en uno euleriano con derivadas totales. Mirad el ejemplo que puse antes con ambas derivadas.
Pongamos el ejemplo de una burbuja de aire que sube y cambia su temperatura.
-Sistema lagrangiano: vas a ir midiendo los cambios de T siguiendo al viento, por lo que tú también asciendes con la burbuja.
-Sistema euleriano: lo haces desde un punto fijo, el suelo, mientras esta ⬆️
La relación entre ambas derivadas es esta, que usa las propiedades entre derivadas totales y parciales. Se aprecia como aparece el término v∇f, que es la advección. De ahí que se utilice la velocidad para describir la advección.
En resumen:
Sistema lagrangiano: sigues al fluido. La magnitud que mides solo depende de coordenadas espaciales.
Euleriano: observas al sistema desde un punto fijo. La magnitud depende de coordenadas espaciales y del tiempo.
Hasta ahora hemos hablado del gradiente de un escalar, del cual se obiene un vector ¿pero qué pasa si le aplicamos el gradiente a un vector? Pues que obtendremos otra entidad matemática, el tensor. Este concepto genera muchos memes y chistes a los físicos.
Como dice el meme y para el caso de las dimensiones espaciales, el gradiente del vector velocidad va a ser una matriz. Esto tiene fácil explicación, cada componente de la velocidad puede variar a lo largo de las 3 dimensiones. La velocidad en la componente x varia en x, y, z.
Por eso no puede surgir un vector, como era el caso de la temperatura, que al ser un escalar solo necesitábamos 3 derivadas. En el caso de un vector tenemos 3 direcciones que pueden variar a lo largo de otras 3. 3x3= 9 componentes tendrá la matriz.
Al gradiente de la velocidad se le llama tensor velocidad de deformación y se suele descomponer en varias partes. Para empezar se divide en una matriz simétrica y con traza y en otra matriz simétrica y sin traza. Traza quiere decir que sus elementos diagonales no son 0.
En una matriz simétrica la componente a12 sería igual a la a21, es decir que intercambiar los dos índices de a no produce ningún cambio (izquierda), pero en la antisimétrica estos dos elementos tienen signo diferente al intercambiarlos. Ejemplos sacados de la wikipedia.
La matriz del tensor deformación de velocidad se puede descomponer en estos tipos de matrices, ya que se puede expresar como suma de otras. Esta sería la descomposición en matriz simétrica y con traza (u_ij) y antisimétrica y sin traza (j,i).
De esta matriz van a surgir cosas que a los físicos les sonarán: la divergencia y el rotacional, pero vamos a ver primero que son.
La traza de la matriz (suma de componentes diagonales) es lo que se conoce como divergencia y es el resultado de aplicarle el operador nabla al vector. Cuando se aplicaba al escalar se obtenía al vector, ahora obtenemos un escalar.
¿De qué os suena la divergencia? De la ley de Gauss. Recordad que en un campo eléctrico la divergencia nos mostraban que las líneas de campo salían o entraban de una carga, dependiendo de su signo. A la derecha tendríamos el caso para un campo de velocidades.
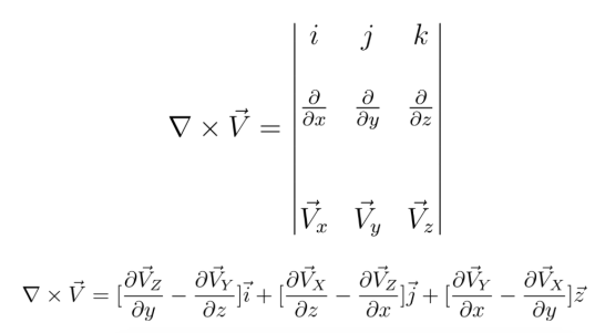
La parte antisimétrica del tensor se conoce como vorticidad y en términos de operadores se puede expresar como el rotacional del campo vectorial. Es aplicar el producto vectorial entre el operador nabla y el vector interesado, la velocidad.
El caso más clásico en Física es el del campo magnético, una corriente eléctrica en el eje z genera un campo magnético, que gira circularmente. O también está la ley de faraday (derecha)
La vorticidad (el rotacional de la velocidad) cuantifica de forma microscópica la rotación de un fluido, por lo que es indispensable en la meteorología. La forma macroscópica se llama circulación y se obtiene al evaluar la integral de la circulación en una superficie cerrada.
Mientras la vorticidad es una magnitud vectorial, la circulación es una escalar. Ambas son muy importantes en meteorología y se relacionan gracias al teorema de Stokes, que seguro que os suena también del campo magnético. Ya hablaremos de estas magnitudes en otro hilo.
Podéis compararlo con el momento angular, que es otra medida de rotación, pero la ventaja de la vorticidad es que no se necesita un eje de referencia, algo difícil de usar en un fluido.
La parte simétrica del tensor de velocidad no tiene operador asociado pero se conoce como la deformación y nos dice esencialmente que el campo de velocidad se puede estirar o dilatar a lo largo de una dirección. El mejor ejemplo de esto serán la cizalladura, como luego veremos.
Un ejemplo de todo lo que hemos visto del tensor de velocidad de deformación lo tenéis en este hilo de frentes que hice, donde pudimos ver como la confluencia puede generar frontogénesis.
Aquí tenéis un ejemplo de cada cosa que hemos visto hasta ahora y a la derecha un ejemplo de combinación de divergencia y deformación. Vamos a pasar ahora a relacionar todo esto del tensor velocidad de deformación con la ecuación de movimiento de la velocidad.
Falta una última cosa para completar. Normalmente para calcular una densidad volumétrica hay que integrarlo, pero si además queremos ver cómo cambia con el tiempo esta propiedad ( ψ) esto puede ser complicado porque a veces no podemos meter la derivada dentro de la integral
Esto ocurre porque los límites de integración (posición y forma del volumen) son también variables. Por eso se usa el teorema del transporte de Reynolds, que usando las propiedades de las derivadas lagrangianas permite desarrollar una expresión más fácil.
Este teorema nos permite desarrollar ecuaciones en la descripción euleriana del movimiento atmosférico. Por ejemplo si la ψ fuera la densidad (ρ), se obtendría la ecuación de continuidad o conservación de la masa. En el Salby lo describen muy bien el proceso
Este teorema se puede aplicar a la energía o al momento lineal (ρ v), por lo que se puede aplicar para obtener la segunda ley de Newton (masa por aceleración). Si aplicamos el teorema al momento lineal obtendremos la siguiente ecuación, que seguramente os recuerde a algo.
Esto es después de todo una ecuación de balance. Nos dice que una propiedad que varía con el tiempo es igual a su producción de materia mas una componente que se va por la paredes. Por ejemplo la ecuación del calor en termodinámica o el teorema de Pointyng en electromagnetismo.
Pues al aplicarlo al momento lineal vamos a tener que la variación de esta con el tiempo va a ser igual a las fuerzas internas por unidad de volumen que actúan sobre el cuerpo y a las que actúan sobre la superficie.
En nuestro caso pueden salir de la integral y se obtiene lo de la izquierda. En el caso de la atmósfera la primera componente sería la aceleración por unidad de masa, lo segundo sería la fuerza de gravedad (la fuerza que actua en la atmósfera) y lo tercero el tensor de esfuerzos
Esta ecuación tiene un nombre muy conocido, la ecuación de Navier-Stokes para fluidos. La interpretación del tensor de esfuerzos es fácil si consideramos que la atmósfera es un fluido newtoniano, que se caracteriza por tener viscosidad que no cambia espacialmente.
Para el caso del fluido newtoniano, el tensor de esfuerzo no es más que la parte simétrica del tensor velocidad de deformación del que hablamos antes. Entonces lo podremos dividir en parte con traza y sin traza, de aquí nos saldrán dos conceptos interesantes.
La parte simétrica del tensor son derivadas de cada componente en la misma dirección, al que luego le aplicarán otra vez la derivada en la ecuación de movimiento. Dimensionalmente son fuerzas por unidad de área, ¿qué era esta magnitud? La presión.
Es decir, la parte diagonal de este tensor de esfuerzos es el gradiente de presión, otra de las fuerzas características de la atmósfera. Por otro lado, la parte no diagonal del tensor representan las deformaciones.
La parte no diagonal del tensor se ejemplifica con un cubito al que se le aplica en la parte de arriba una fuerza en la dirección x, el cubo se deformará porque en la parte de abajo no hay fuerza aplicada. La fuerza por área se conoce como tensión de cizalladura.
Por ejemplo, si la fuerza cambia con la altura (la dirección y) y la aplicamos en la direccion x, esta fuerza de cizalladura sería igual a una constante (la viscosidad) por la segunda derivada de la componente x de la velocidad respecto a y.
La parte del tensor que no es diagonal se corresponden con fuerzas de viscosidad o de rozamiento con la superficie en la atmósfera. A veces se usa también para representar las fuerzas turbulentes.
En casos más simples se usa el laplaciano para representar esta fuerza, ya que resulta de derivar dos veces la velocidad. El laplaciano es la divergencia del gradiente. Es muy útil para ondas porque es proporcional a la -magnitud a la que se aplica
Tenemos entonces ya todas las componentes de la ecuación de movimiento explicada. En próximos hilos iremos completando esta ecuación y os hablaré más de las fuerzas de la atmósfera, además que hay que tener en cuenta las fuerzas rotatorias.
Referencias:
-Wikipedia y Salby para la mayoría de imágenes de ecuaciones.
-Physics of Atmosphere and Climate capítulo 10, viene explicado bien todo lo del tensor y la deformación de Reynolds.
-Para herramientas matemáticas, consultad Mid Latitude Atmospheric Dynamics, de Martin
Un extra para que entendáis mejor el concepto de tensor con simplemente unos palitos de madera y cubos. El vídeo tiene subtítulos en español también. En internet tenéis miles de ejemplos de los otros conceptos que vemos visto y vídeos muy ilustrativos

• • •

Missing some Tweet in this thread? You can try to force a refresh
 

Keep Current with Enrique Barrera

Enrique Barrera Profile picture

Stay in touch and get notified when new unrolls are available from this author!

Read all threads

This Thread may be Removed Anytime!

PDF

Twitter may remove this content at anytime! Save it as PDF for later use!

Try unrolling a thread yourself!

how to unroll video
  1. Follow @ThreadReaderApp to mention us!

  2. From a Twitter thread mention us with a keyword "unroll"
@threadreaderapp unroll

Practice here first or read more on our help page!

More from @scnycc

Sep 18, 2024
🧵¿Cómo ha cambiado el clima desde el comienzo del Holoceno, hace unos 11.000 años? Lo vemos en este hilo, junto a las principales teorías que explican esos cambios climáticos, también durante la Edad Media y la fría Pequeña Edad de Hielo.¿Por qué es importante estudiarlas?


Image
Image
Image
Image
En el capítulo anterior analizamos los cambios climáticos rápidos que se produjeron en la última era glacial, con alternancia entre periodos largos y fríos,los estadiales y los cálidos y rápidos, interestadiales. Se alternaban en Groenlandia y la Antártida
El Holoceno comenzó después del Reciente Dyras, un periodo frío al final de la última glaciación junto a otros ciclos de cambio climático rápido que se dieron. El clima del Holoceno ha estado controlado sobre todo por la variabilidad solar.
Read 57 tweets
Sep 14, 2024
❄️🌨️¿Cómo se forma el granizo y la nieve? En el hilo de hoy analizaremos la microfísica de nubes frías y cómo se forman los cristales de hielo, que será de forma muy similar a los procesos de nubes cálidas, pudiendo obtener todo tipo de formas

Image
Image
Image
En el anterior hilo vimos la microfísica de nubes cálidas, que recomiendo encarecidamente leer antes porque se van a repetir mucho de los razonamientos y expresiones que salieron 
Cuando hablamos de nubes frías hablamos de nubes cuya temperatura es inferior a 0ºC, por lo que podremos encontrar agua en estado sólido: nieve, granizo, etc. También encontraremos gotitas porque no tienen por qué congelar a 0ºC, lo que llamamos agua superenfriada. Image
Read 31 tweets
Sep 11, 2024
☁️🌧️🧵En el hilo de hoy aprenderemos cómo se forman las nubes atendiendo a procesos microscópicos que hay en su interior. Estudiaremos la microfísica de nubes, desde su aparición por condensación a las gotas de lluvia por colisión-coalescencia.

Image
Image
Image
Hasta ahora en hilos anteriores habíamos supuesto que si una burbuja de aire alcanzaba la saturación o el nivel de condensación por elevación podía formarse una nube o niebla, pero no habíamos tenido en cuenta otras condiciones necesarias para que se formen y a nivel microscópico Image
Todos conocemos los distintos cambios de fase en el agua, para que se den esas transiciones de fase debe superarse una barrera energética, que expresaremos usando la energía libre (-dg), que depende de variaciones de temperatura y presión.
Read 38 tweets
Sep 4, 2024
⛈️🎈📈En este hilo vamos a aprender cómo interpretar los sondeos meteorológico y calcular magnitudes importantes, además de analizar la estabilidad por estratos y ver qué es el CAPE. Los sondeos se estudian para previsión, estudio de tormentas y mucho más.

Image
Image
Image
En este hilo estuvimos viendo los tipos de diagramas meteorológicos que hay. En este usaremos el oblicuo porque es de los más fáciles de usar a la hora de calcular magnitudes, pero las magnitudes se pueden calcular en otro tipo de sondeos.
En los diagramas vamos a ver representadas normalmente estas dos curvas: la que registra el radiosondeo (nuestro globito) y la temperatura de rocío, hay que prestar atención a la primera. En este tuit recordamos lo que es la temperatura de rocío
Image
Read 31 tweets
Aug 29, 2024
🧵Los sondeos meteorológicos han sido y siguen siendo importantes para la meteorología. Se aplican para obtener datos que ayudan a hacer predicciones y en la observación, ayudando a predecir tormentas. En este primer hilo veremos los tipos de diagramas meteorológicos que hay.

Image
Image
Image
En hilos anteriores hemos visto cómo se pueden calcular distintas magnitudes en sondeos meteorológicos. En un segundo hilo haremos un resumen de cómo se calculan magnitudes a través de sondeos meteorológicos wakelet.com/wake/A57G_4kXZ…
Con los diagramas termodinámicos o aerológicos podemos estudiar las estructuras y propiedades locales de la atmósfera. Se obtienen mediantes sondeos (como el lanzamiento de globos meteorológicos) y nos dan valores de presión, Tª y humedad con la altura Image
Read 26 tweets
Aug 23, 2024
🧵En el hilo de hoy analizaremos las situaciones de inestabilidad con aire saturado, los 2 métodos para estudiarlos, conceptos tormentosos como el CAPE, la inestabilidad convectiva, la tente y su relación con la formación de diferentes nubes. ¿Qué hace cambiar la estabilidad?


Image
Image
Image
Image
En el hilo anterior estuvimos viendo las condiciones por las que se da la condensación. Hoy ampliaremos un poco más relacionándolo con las situaciones de inestabilidad y añadiendo el gradiente del aire saturado.
Ya vimos para el aire seco y húmedo las condiciones para la inestabilidad, en este caso el gradiente térmico de la burbuja tenía que ser menor que el del aire. Así la burbuja podría subir más frío que el ambiente. Con aire saturado la cosa cambia. Image
Read 31 tweets

Did Thread Reader help you today?

Support us! We are indie developers!


This site is made by just two indie developers on a laptop doing marketing, support and development! Read more about the story.

Become a Premium Member ($3/month or $30/year) and get exclusive features!

Become Premium

Don't want to be a Premium member but still want to support us?

Make a small donation by buying us coffee ($5) or help with server cost ($10)

Donate via Paypal

Or Donate anonymously using crypto!

Ethereum

0xfe58350B80634f60Fa6Dc149a72b4DFbc17D341E copy

Bitcoin

3ATGMxNzCUFzxpMCHL5sWSt4DVtS8UqXpi copy

Thank you for your support!

Follow Us!

:(