Greg Bluestein Profile picture
Aug 17 6 tweets 4 min read
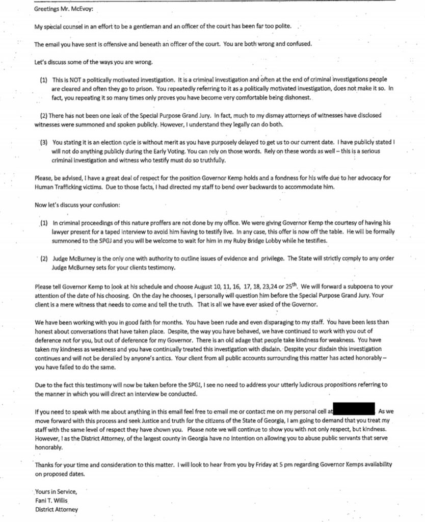
Fulton County DA Fani Willis isn’t messing around. Her letter to Kemp’s lawyer, embedded in the today’s court filing over a pending subpoena of the governor:
“The email you have sent is offensive and beneath an officer of the court. You are both wrong and confused.” #gapol
“There is an old adage that people take kindness for weakness. You have taken my kindness for weakness and you have continually treated this investigation with disdain. Despite your disdain this investigation continues and will not be derailed by anyone’s antics …” #gapol
What led to this broadside directed at Kemp attorney Brian McEvoy? From today’s Jolt: ajc.com/politics/polit…
>@staceyabrams responds to Kemp's attempt to quash the subpoena: #gapol

• • •

Missing some Tweet in this thread? You can try to force a refresh
 

Keep Current with Greg Bluestein

Greg Bluestein Profile picture

Stay in touch and get notified when new unrolls are available from this author!

Read all threads

This Thread may be Removed Anytime!

PDF

Twitter may remove this content at anytime! Save it as PDF for later use!

Try unrolling a thread yourself!

how to unroll video
  1. Follow @ThreadReaderApp to mention us!

  2. From a Twitter thread mention us with a keyword "unroll"
@threadreaderapp unroll

Practice here first or read more on our help page!

More from @bluestein

Aug 17
The Democratic duo is back on the campaign trail in Georgia #gapol #gasen
“Of course I'm always glad to be with my brother, Senator Jon @ossoff. Thank you for your partnership,” says Warnock about hitting the road with his fellow Democrat again. #gapol #gasen
This next stop should be interesting … “just a drizzle,” quips one optimistic Warnock aide amid the blinding rain. #gapol #gasen
Read 5 tweets
Aug 17
Happening now in Atlanta … (📸 @brythomas) #gapol
And yes, that is former Senate/gov/House candidate Vernon Jones alongside Giuliani as he enters the Fulton County courthouse … #gapol
Asked how he arrived in Atlanta, Giuliani quips, “I didn’t walk…” #gapol
Read 4 tweets
Aug 15
The Jolt: Stacey Abrams: ‘If Black men vote for me, I’ll win Georgia.’ #gapol #gasen ajc.com/politics/polit…
More jolt: “We know that this is about democracy,” says Abrams. “If we do not have a governor in 2022 elected and taking office in ‘23, our 270 electoral votes across the country are going to be in jeopardy. Georgia is going to be a pivot point.” #gapol ajc.com/politics/polit…
More jolt: Gov. Kemp is sticking to what his aides believe is a powerful message with a new 30-second spot this morning that highlights the 107 sheriffs who back his reelection. Abrams has twice had to rebut his public safety ads with her own spots. #gapol ajc.com/politics/polit…
Read 4 tweets
Aug 9
In Macon, a few hundred business executives, community leaders and elected officials are gathering for an annual @GAChamber luncheon that’s designed to focus on bipartisanship in a polarizing time. #gapol
Happening now: Republican Rep. Buddy Carter is touting the benefits of a federal bipartisan infrastructure measure that he voted against. (At the time, he said more funding should be devoted to boosting ports, broadband and not a “disguise” for liberal policies.) #gapol
Republican pollster @FrankLuntz starts his speech by entering the crowd, singling out Democratic Rep. Sanford Bishop — and praising him as one of the most remarkable members of the congressional delegation. #gapol
Read 6 tweets
Aug 5
A federal judge ruled Friday that statewide elections for the Georgia Public Service Commission discriminate against Black voters, blocking state officials from holding a November election for two seats that were set to be on the ballot. #gapol

ajc.com/politics/feder…
“While delaying elections for Districts 2 and 3 until a later date will regrettably cause disruption to the candidates currently running for those offices, the court does not find that such disruption outweighs the important VRA interests that are implicated,” the judge wrote.
Former NAACP state President @iMajorWish, a plaintiff in the suit:
“This determination assures us that our current claims of voter suppression are legitimate and that Black voters have for generations been prevented from full access to democracy." #gapol ajc.com/politics/feder…
Read 5 tweets
Aug 3
"The people need to see the differences between Sen. Warnock and Herschel Walker.” Accused of cowardice, Walker says he’ll participate in a Senate debate on Oct. 14 in Savannah -- though we have scant details on the proposed event #gapol #gasen ajc.com/politics/polit…
Warnock aide Quentin Fulks noted the Democrat already accepted three debates.
“Nothing has changed. Reverend Warnock remains committed to debating Herschel Walker and giving Georgians three opportunities to see the clear choice about who is ready to represent Georgia.” #gasen
Walker's campaign says their proposed event would be hosted by WSAV, the Savannah Nexstar affiliate. Warnock had agreed to a WTOC debate in Savannah. #gapol #gasen ajc.com/politics/polit…
Read 4 tweets

Did Thread Reader help you today?

Support us! We are indie developers!


This site is made by just two indie developers on a laptop doing marketing, support and development! Read more about the story.

Become a Premium Member ($3/month or $30/year) and get exclusive features!

Become Premium

Don't want to be a Premium member but still want to support us?

Make a small donation by buying us coffee ($5) or help with server cost ($10)

Donate via Paypal

Or Donate anonymously using crypto!

Ethereum

0xfe58350B80634f60Fa6Dc149a72b4DFbc17D341E copy

Bitcoin

3ATGMxNzCUFzxpMCHL5sWSt4DVtS8UqXpi copy

Thank you for your support!

Follow Us on Twitter!

:(