Louisville Police and UPS are running a mail theft operation

That's right, @LMPD pays @UPS employees to go through your things and look for your money so that they can steal it.
Did you know that when you give your package to the UPS store, that the employee is going to take it to the back room, open it, put everything in a clear plastic bag, and call their "narcotics handler" if they come across money?
It's packed back up. A detective comes, says the drug dog alerted for narcotics (when the employee already went through the package and confirmed there were no narcotics), take the money, say the amount is "undetermined", do no further investigating, and never notify the sender.
Let's be clear: the amount of money isn't "undetermined".

They can count.

Not putting an exact amount allows them to pocket some, or even most, of it.

@LMPD is letting its officers and @UPS employees skim from the top as a reward for running this theft operation.
LMPD was actually caught doing this 5 years ago. The only way they were allowed to do any "parcel interdiction" again was to disband the entire unit who was doing exactly this, and never do it again.

They are clearly doing it again.
In this one, money was being sent from Jacksonville, NC. The money was in Marine Federal Credit Union bank envelopes and being sent to Chicago. Jacksonville has the largest Marine Corp base in the country.

That's right. @LMPD and @UPS are even robbing the troops and vets.
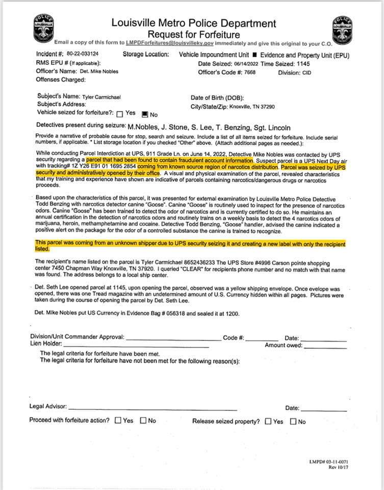
In this one, the detective says the package was coming from a "known source region of narcotics distribution".

The source region?

Unknown.

The @UPS employee had already destroyed the original label and printed one with just the recipient.

They're lying on their own reports.
This is what the war on drugs brings us: Police departments colluding with big business to straight-up rob you.

No trial, no notification, just theft.

Add this to the ever-growing number of reasons to end the war on drugs.

• • •

Missing some Tweet in this thread? You can try to force a refresh
 

Keep Current with Spike Cohen

Spike Cohen Profile picture

Stay in touch and get notified when new unrolls are available from this author!

Read all threads

This Thread may be Removed Anytime!

PDF

Twitter may remove this content at anytime! Save it as PDF for later use!

Try unrolling a thread yourself!

how to unroll video
  1. Follow @ThreadReaderApp to mention us!

  2. From a Twitter thread mention us with a keyword "unroll"
@threadreaderapp unroll

Practice here first or read more on our help page!

More from @RealSpikeCohen

Sep 11
Remember the victims of 9/11:

The 2977 people killed that day.

The 15,000+ troops killed in useless wars in "response" to 9/11.

The 30,000+ vets who took their lives due to PTSD and other conditions from those wars.

The nearly 1 million innocent people killed in those wars.
The 100s of thousands of vets who battle daily with PTSD and other conditions from those wars.

The 100s of millions of Americans whose rights have been robbed by the Patriot Act and other police state policies.

The millions of innocents whose deaths triggered the 9/11 attacks.
And the countless others who I've neglected to mention.

The CIA warned decades ago that the US government's imperialism would cause blowback.

The 9/11 attack was one of the most horrific examples of that blowback.

Our government's response has made things much worse.
Read 4 tweets
Sep 11
2977 people lost their lives on 9/11.

When we hear of deaths in the thousands, it's easy to look at them as numbers, even though we know that each of them had lives, family and loved ones they left behind.

Each one has a story.

I'd like to tell you the story of John W Perry.
John was born with a severe learning disability. He was 9 before he could tie his shoes or read. But he discovered a passion for learning, and helping others, that would last his entire life.

John learned French, Russian, Spanish & Swedish, and graduated from NYU School of Law.
As an attorney, John helped immigrants and asylum-seekers navigate through the ridiculous system so they could remain here.

An active member of @LPQueens and a board member of the @NYCLU, John fought for the rights and freedoms of others.

Then he did something unexpected.
Read 12 tweets
Sep 11
My predictions for UFC 279:

Cutelaba beats Walker

Jingliang beats Rodriguez

Chimaev beats Holland

Diaz beats Ferguson

I am not an expert and would strongly advise against making begs based on my picks.
Congratulations to those who didn't bet on my pick for Walker v Cutelaba
I likely won't be making UFC predictions in the future.
Read 8 tweets
Sep 7
This man's name is Drew Cook, and you're looking at the lowest point in his life, 10 years ago.
Drew was addicted to intravenous drugs for 12 years. It put a strain on his relationships, his career, his whole life.

The only thing that the government offered Drew was jail time and a criminal record. And he could still get drugs in jail.
It all came to a head with this moment in 2012, when he was arrested for the last time.

Drew knew he had to get clean. It wasn't easy and it didn't happen overnight, but eventually, thanks to the help of support groups and his loved ones, he got sober in 2012.
Read 11 tweets
Sep 5
On this day 352 years ago, tyranny received one of its longest-lasting vibe checks.

It's a check we can deliver every time we get a jury summons.
In August 1670, William Penn and William Mead were arrested in London for preaching outside of Grace Church.

The preaching violated the Conventicle Act, which prohibited religious assemblies of more than 5 people without approval from the Church of England, the state church.
To be clear, Penn and Mead were absolutely violating the law. They were preaching their faith without government permission.

After their trial, the jury found them "guilty of speaking in Gracechurch Street", but they refused to add "to an unlawful assembly".
Read 9 tweets
Aug 26
Imagine a game of Monopoly where 3 players play by the rules, and Player 4 gets $1 million from the banker on every turn.

Player 4 would own the board, and everything would cost way more than the other players could afford.

That's central banking and corporate welfare.
Now imagine the other players have to live in constant debt to the banker because they can't afford anything, and have to work for Player 4 because he owns everything.

That's corporatism.
Now imagine Player 4 offers to "help" the other players by using some of the $1 million to pay off some of their debts.

Prices keep rising, Player 4 still owns everything, and the other players think they're benefiting.

That's "social welfare" and "relief spending".
Read 6 tweets

Did Thread Reader help you today?

Support us! We are indie developers!


This site is made by just two indie developers on a laptop doing marketing, support and development! Read more about the story.

Become a Premium Member ($3/month or $30/year) and get exclusive features!

Become Premium

Don't want to be a Premium member but still want to support us?

Make a small donation by buying us coffee ($5) or help with server cost ($10)

Donate via Paypal

Or Donate anonymously using crypto!

Ethereum

0xfe58350B80634f60Fa6Dc149a72b4DFbc17D341E copy

Bitcoin

3ATGMxNzCUFzxpMCHL5sWSt4DVtS8UqXpi copy

Thank you for your support!

Follow Us on Twitter!

:(