Tivadar Danka Profile picture
Nov 16, 2022 18 tweets 6 min read Read on X
Matrix multiplication is not easy to understand.

Even looking at the definition used to make me sweat, let alone trying to comprehend the pattern. Yet, there is a stunningly simple explanation behind it.

Let's pull back the curtain! Image
First, the raw definition.

This is how the product of A and B is given. Not the easiest (or most pleasant) to look at.

We are going to unwrap this. Image
Here is a quick visualization before the technical details.

The element in the i-th row and j-th column of AB is the dot product of A's i-th row and B's j-th column. Image
Now, let's look at a special case: multiplying the matrix A with a (column) vector whose first component is 1, and the rest is 0.

Let's name this special vector e₁.

Turns out that the product of A and e₁ is the first column of A. Image
Similarly, multiplying A with a (column) vector whose second component is 1 and the rest is 0 yields the second column of A.

That's a pattern! Image
By the same logic, we conclude that A times eₖ equals the k-th column of A.

This sounds a bit algebra-y, so let's see this idea in geometric terms.

Yes, you heard right: geometric terms. Image
Matrices represent linear transformations. You know, those that stretch, skew, rotate, flip, or otherwise linearly distort the space.

The images of basis vectors form the columns of the matrix.

We can visualize this in two dimensions. Image
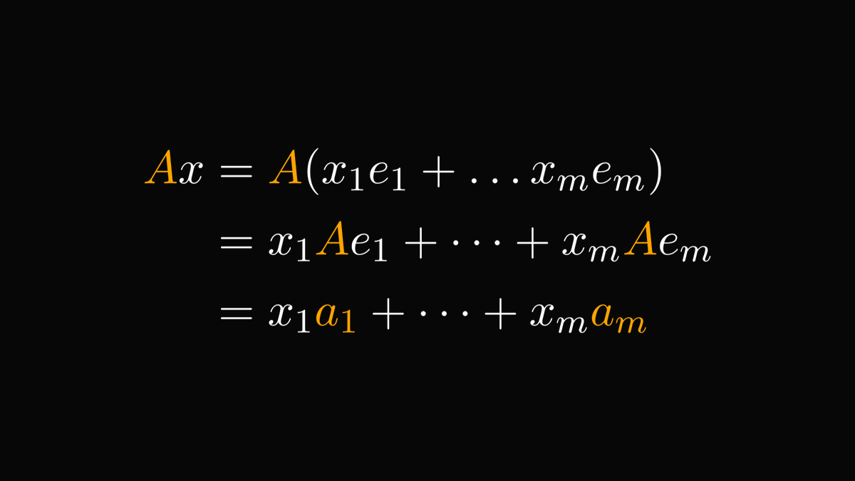
Moreover, we can look at a matrix-vector product as a linear combination of the column vectors.

Make a mental note of this, because it is important. Image
(If unwrapping the matrix-vector product seems too complex, I got you.

The computation below is the same as in the above tweet, only in vectorized form.) Image
Now, about the matrix product formula.

From a geometric perspective, the product AB is the same as first applying B, then A to our underlying space. Image
Recall that matrix-vector products are linear combinations of column vectors.

With this in mind, we see that the first column of AB is the linear combination of A's columns. (With coefficients from the first column of B.) Image
We can collapse the linear combination into a single vector, resulting in a formula for the first column of AB.

This is straight from the mysterious matrix product formula. Image
The same logic can be applied, thus giving an explicit formula to calculate the elements of a matrix product. Image
Linear algebra is powerful exactly because it abstracts away the complexity of manipulating data structures like vectors and matrices.

Instead of explicitly dealing with arrays and convoluted sums, we can use simple expressions AB.

That's a huge deal.
Peter Lax sums it up perfectly: "So what is gained by abstraction? First of all, the freedom to use a single symbol for an array; this way we can think of vectors as basic building blocks, unencumbered by components."
Without a doubt, linear algebra is one of the most important mathematical tools for a machine learning practitioner.

I wrote the book to get you from high school math to linear algebra mastery. Get your copy now!

(Lifetime updates included.)

tivadardanka.com/books/linear-a…
Read the unrolled thread here:

tivadardanka.com/blog/behind-ma…
If you have enjoyed this explanation, share it with your friends and give me a follow! I regularly post deep-dive explainers such as this.

• • •

Missing some Tweet in this thread? You can try to force a refresh
 

Keep Current with Tivadar Danka

Tivadar Danka Profile picture

Stay in touch and get notified when new unrolls are available from this author!

Read all threads

This Thread may be Removed Anytime!

PDF

Twitter may remove this content at anytime! Save it as PDF for later use!

Try unrolling a thread yourself!

how to unroll video
  1. Follow @ThreadReaderApp to mention us!

  2. From a Twitter thread mention us with a keyword "unroll"
@threadreaderapp unroll

Practice here first or read more on our help page!

More from @TivadarDanka

Jan 20
The single most undervalued fact of linear algebra: matrices are graphs, and graphs are matrices.

Encoding matrices as graphs is a cheat code, making complex behavior simple to study.

Let me show you how! Image
If you looked at the example above, you probably figured out the rule.

Each row is a node, and each element represents a directed and weighted edge. Edges of zero elements are omitted.

The element in the 𝑖-th row and 𝑗-th column corresponds to an edge going from 𝑖 to 𝑗.
To unwrap the definition a bit, let's check the first row, which corresponds to the edges outgoing from the first node. Image
Read 18 tweets
Jan 14
Matrix multiplication is not easy to understand.

Even looking at the definition used to make me sweat, let alone trying to comprehend the pattern. Yet, there is a stunningly simple explanation behind it.

Let's pull back the curtain! Image
First, the raw definition.

This is how the product of A and B is given. Not the easiest (or most pleasant) to look at.

We are going to unwrap this. Image
Here is a quick visualization before the technical details.

The element in the i-th row and j-th column of AB is the dot product of A's i-th row and B's j-th column. Image
Read 17 tweets
Jan 8
Behold one of the mightiest tools in mathematics: the camel principle.

I am dead serious. Deep down, this tiny rule is the cog in many methods. Ones that you use every day.

Here is what it is, how it works, and why it is essential: Image
First, the story:

The old Arab passes away, leaving half of his fortune to his eldest son, third to his middle son, and ninth to his smallest.

Upon opening the stable, they realize that the old man had 17 camels. Image
This is a problem, as they cannot split 17 camels into 1/2, 1/3, and 1/9 without cutting some in half.

So, they turn to the wise neighbor for advice. Image
Read 18 tweets
Jan 1
The single most undervalued fact of linear algebra: matrices are graphs, and graphs are matrices.

Encoding matrices as graphs is a cheat code, making complex behavior simple to study.

Let me show you how! Image
If you looked at the example above, you probably figured out the rule.

Each row is a node, and each element represents a directed and weighted edge. Edges of zero elements are omitted.

The element in the 𝑖-th row and 𝑗-th column corresponds to an edge going from 𝑖 to 𝑗.
To unwrap the definition a bit, let's check the first row, which corresponds to the edges outgoing from the first node. Image
Read 18 tweets
Dec 11, 2025
The single most undervalued fact of linear algebra: matrices are graphs, and graphs are matrices.

Encoding matrices as graphs is a cheat code, making complex behavior simple to study.

Let me show you how! Image
If you looked at the example above, you probably figured out the rule.

Each row is a node, and each element represents a directed and weighted edge. Edges of zero elements are omitted.

The element in the 𝑖-th row and 𝑗-th column corresponds to an edge going from 𝑖 to 𝑗.
To unwrap the definition a bit, let's check the first row, which corresponds to the edges outgoing from the first node. Image
Read 18 tweets
Dec 9, 2025
Matrix multiplication is not easy to understand.

Even looking at the definition used to make me sweat, let alone trying to comprehend the pattern. Yet, there is a stunningly simple explanation behind it.

Let's pull back the curtain! Image
First, the raw definition.

This is how the product of A and B is given. Not the easiest (or most pleasant) to look at.

We are going to unwrap this. Image
Here is a quick visualization before the technical details.

The element in the i-th row and j-th column of AB is the dot product of A's i-th row and B's j-th column. Image
Read 17 tweets

Did Thread Reader help you today?

Support us! We are indie developers!


This site is made by just two indie developers on a laptop doing marketing, support and development! Read more about the story.

Become a Premium Member ($3/month or $30/year) and get exclusive features!

Become Premium

Don't want to be a Premium member but still want to support us?

Make a small donation by buying us coffee ($5) or help with server cost ($10)

Donate via Paypal

Or Donate anonymously using crypto!

Ethereum

0xfe58350B80634f60Fa6Dc149a72b4DFbc17D341E copy

Bitcoin

3ATGMxNzCUFzxpMCHL5sWSt4DVtS8UqXpi copy

Thank you for your support!

Follow Us!

:(