Contango Profile picture
Dec 15 14 tweets 12 min read
Aaaaan we're live.

Trade the first expirables in #DeFi on contango.xyz

Code is unaudited. So before apeing in, maybe read a few notes below. 
👇
Contango's expirables are derivative instruments to buy or sell assets at a specific price and date in the future.

Read how they differ from futures and forwards: bit.ly/3UThLR4

Also, remember @FTX_Official? If you are looking for a DeFi alternative, we got you fam.
@FTX_Official We have a debt ceiling capped at 10k per pair, per currency, on the underlying fixed-rate market (@yield) so that you degens are not gonna degen too much. 🐒

Try the beta with small amounts & provide feedback on Discord or through this survey: bit.ly/3VQk4Wx
@FTX_Official @yield What's this 10k debt ceiling thing?

Basically, every time you open a position on Contango, you post some margin (collateral) and the missing capital is borrowed on the underlying fixed-rate market. That's your debt.
@FTX_Official @yield On Contango right now you can go long/short on:
1️⃣ ETHUSDC
2️⃣ ETHDAI
3️⃣ DAIUSDC

And you can choose between 2 maturities:
📆 December 22
📆 March 23
@FTX_Official @yield So, for instance, on the ETH/USDC pair, Contango can only borrow as much as 10k of ETH and 10k of USDC on @yield (so 20k per pair).

Since 3 pairs and 2 maturities are available, the total debt ceiling is:

$20k * 3 * 2 = $120k
@FTX_Official @yield Remember that Contango's pricing mechanism uses:

1) interest rates from a fixed-rate market (now @yield, soon @NotionalFinance)

2) spot prices (@Uniswap

Consider this when assessing smart-contract risk.
@FTX_Official @yield @NotionalFinance @Uniswap Depending on the side you take on e.g. ETHUSDC, you'll post collateral:

- in USDC if you're going long 
- in ETH if you're going short

Confused? Read this: bit.ly/3FwwlZ3
@FTX_Official @yield @NotionalFinance @Uniswap We currently provide 3.5x leverage on ETH pairs, and 10x leverage on stable vs stable pairs.

Always monitor your margin & liquidation price: if your collateral loses value, top up or reduce position size.

Liquidations are carried out by the underlying fixed-rate markets.
@FTX_Official @yield @NotionalFinance @Uniswap What can you use Contango for?

1️⃣ trade expirable contracts on-chain (goodbye CeFi 👋)
2️⃣ arb prices between CeFi and DeFi
3️⃣ arb stable vs stable pairs with 10x leverage
4️⃣ arb interest rates on different chains & protocols (coming soon)
@FTX_Official @yield @NotionalFinance @Uniswap Oh, almost forgot: trading fees are set to 0.

Read that again.

Yes, we’re not charging you anything to trade on Contango (you’re welcome).
@FTX_Official @yield @NotionalFinance @Uniswap We'll soon launch on L1. We're working closely with @yield to deploy these new contracts. This way you'll have an expirable quoted on 2 different chains, arbitrum and mainnet. Price differences = arb opportunity.
@FTX_Official @yield @NotionalFinance @Uniswap Indeed we expect Contango to help bring rates into equilibrium across different chains and protocols.

We also expect Contango to bring alignment between CeFi and DeFi rates.
For now, expect price differences between Contango and major CeFi futures venues like @binance. But that's good news, it's an arb opportunity.

Excited? Go try the beta and RT/like our first tweet 👇

• • •

Missing some Tweet in this thread? You can try to force a refresh
 

Keep Current with Contango

Contango Profile picture

Stay in touch and get notified when new unrolls are available from this author!

Read all threads

This Thread may be Removed Anytime!

PDF

Twitter may remove this content at anytime! Save it as PDF for later use!

Try unrolling a thread yourself!

how to unroll video
  1. Follow @ThreadReaderApp to mention us!

  2. From a Twitter thread mention us with a keyword "unroll"
@threadreaderapp unroll

Practice here first or read more on our help page!

More from @Contango_xyz

Dec 12
In a few days we’ll launch a public beta version of Contango on @arbitrum.

For the first time in history you'll be able to trade expirable contracts fully on-chain. No order books. No liquidity pools. Pure #DeFi style. 💃

Here's a sneak peek into our interface.
👇
@arbitrum Opening a new position is as simple as setting the order size (the quantity) and your collateral (margin). Contango provides you with a detailed recap before submitting your trade.

Notice how fees are set to 0.
@arbitrum Once you have opened a position, you can edit it by adding/removing collateral as well as modifying the overall position size, all in one single atomic transaction. So you can save on gas fees (you're welcome).
Read 7 tweets
Oct 3
Why are we alone in this quadrant?

A short thread about how we came up with the current design for Contango and how it is set to become a DeFi primitive. Image
First, why has no one built expirable futures on-chain before? A few reasons:

1) With an AMM design you take on unlimited risk on the protocol side - any perp instead settles on a regular basis via funding fees. Also, with an AMM model you need to attract liquidity to your pools
2) Order-book model, you say? Well, like with an AMM you need liquidity, and market makers too. And above all, it won't be fully on-chain.

How did we solve this? By tapping into the liquidity of fixed-rate markets, so we don't need LPs or market makers and can be 100% on-chain.
Read 7 tweets
Sep 1
Yesterday we had an interesting discussion with the team at @element_fi about:

1. Fixed-rates
2. DeFi innovation
3. TradFi and DeFi
4. Composability
5. Structured products
6. Market efficiency
7. DeFi trends

Here are some hot takes (free alpha?) from the industry experts 👇
@element_fi On fixed-rates:

@KamelAouane: "The next wave of DeFi will see the growth of fixed-rate markets. It's a $130T economy in TradFi but it's still in its infancy in DeFi. If we're serious about eating TradFi, fixed rates are a building block that we must have."
@element_fi @KamelAouane @WindraThio: "Lower risk has become a priority for users. Fixed rates provide easier-to-price products that can be useful for traditional institutions too."
Read 18 tweets
Jul 13
Ok, time to dig deeper into how Contango works. 

We've written an easy-to-digest article 👉 bit.ly/3P0DpRm

Here's the TL;DR 👇
1/ How Contango works

Contango has no liquidity pool, no order book. It simply uses the liquidity of underlying fixed-rate protocols. Futures are priced by replicating their cash flows on spot and fixed-rate markets.

We basically created a derivative market out of thin air 😎
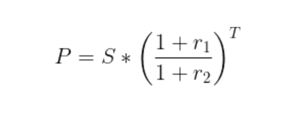
2/ The theory

This formula provides the theoretical model for Contango: it tells us that a futures contract has a price P that depends on the spot price (S), the interest rates (r1 & r2) of the quote and base currencies respectively, and the time to maturity (T).
Read 14 tweets
Jul 11
After 6 months of stealth mode, Contango is finally ready to bring expirable futures to DeFi! 💃 

We're happy to announce that we're an incubated project at @Alpha_Launchpad, @dlabvc & @BlockchainAG - amazing partners!

A sneak peek into Contango👇
@Alpha_Launchpad @dlabvc @BlockchainAG 1/ What is Contango?

Contango is a non-custodial DeFi exchange offering expirable futures without order books or liquidity pools. When a trader opens a position, the protocol borrows on the fixed-rate market, swaps on the spot market, then lends back on the fixed-rate market.
@Alpha_Launchpad @dlabvc @BlockchainAG 2/ Why expirable futures?

Because you need to know your costs upfront & because up until now they didn’t exist in DeFi.

A good recap of the derivatives space by @jump_ 👉 bit.ly/3PJL4nQ
Read 4 tweets

Did Thread Reader help you today?

Support us! We are indie developers!


This site is made by just two indie developers on a laptop doing marketing, support and development! Read more about the story.

Become a Premium Member ($3/month or $30/year) and get exclusive features!

Become Premium

Don't want to be a Premium member but still want to support us?

Make a small donation by buying us coffee ($5) or help with server cost ($10)

Donate via Paypal

Or Donate anonymously using crypto!

Ethereum

0xfe58350B80634f60Fa6Dc149a72b4DFbc17D341E copy

Bitcoin

3ATGMxNzCUFzxpMCHL5sWSt4DVtS8UqXpi copy

Thank you for your support!

Follow Us on Twitter!

:(