Fred Stalder Profile picture
Jan 1, 2023 38 tweets 4 min read Read on X
Manuel pour mener des recherches cliniques frauduleuses sur des médicaments repositionnés dans le cadre du covid-19, afin de montrer qu'ils n'apportent pas de bénéfices (mise à jour janvier 2023).
⤵️
1/n
1/ Protocoles d'essais randomisés :

➖Choisir le mauvais dosage du médicament, trop élevé (HCQ – Recovery, Solidarity) ou trop faible (IVM - Together) en fonction de la sécurité et de l'efficacité du médicament.
2/n
➖Choisir une mauvaise durée de traitement (IVM - Together, etc...),
3/n
➖Choisir le mauvais timing d'intervention : débuter tardivement le traitement lorsque votre essai vise à étudier un antiviral (HCQ – Recovery, Solidarity, Discovery),
4/n
➖Modifier les critères d'inclusion concernant le délai entre les symptômes et le recrutement (Principle : 7 jours , changé en 14 jours),
5/n
➖Ne pas exclure les jeunes patients en bonne santé, il sera difficile de voir une différence entre les groupes (IVM - Lopez-Medina et al.),
6/n
➖Ne pas exclure les patients ayant pris le médicament testé dans l'essai avant le recrutement, (IVM - Together, Lopez-Medina et al.),
7/n
➖S'il est recommandé de prendre le médicament avec un repas, le prescrire à jeun (IVM: Togtether, Activ6, Bramante et al., Vallejos et al.),
8/n
➖Choisir un outcome ‘mou’, comme 'résolution de tous les symptômes après 21 jours' (Lopez-Medina et al.),
9/n
➖Ne pas mesurer la charge virale si vous étudiez un traitement potentiellement antiviral (IVM : Lopez-Medina et al., Activ6, etc...), mesurez la charge virale uniquement lorsque vous commencez le traitement APRÈS la phase virale (HCQ - Discovery),
10/n
➖Et argumenter que ne pas voir de différence de charge virale est un mauvais signe indiquant que le médicament ne fonctionne pas,
11/n
➖ARRÊTER les essais avec de bons protocoles si une fraude flagrante (#lancetgate) est publiée, mais continuer les essais avec de mauvais protocoles en arguant que tout va bien (HCQ-Recovery),
12/n
➖Argumenter que votre étude (bien faite) montrant une réduction de la mortalité de 70 % non statistiquement significative contredit une méta-analyse (médiocre) montrant une réduction de la mortalité de 70 % statistiquement significative (Lim et al.),
13/n
➖Ne pas tester de multi-thérapie (n'oubliez pas qu'il est interdit de sauver des vies en utilisant plus d'un médicament), mais un seul médicament à la fois,
14/n
➖Prescrire un macrolide à 20 % du groupe témoin lorsque votre essai teste l'azithromycine, un macrolide. N'en parlez pas dans l'étude, cachez-le dans les données complémentaires (Recovery),
15/n
➖Inclure les patients déjà guéris dans des essais dont le critère de jugement principal est la "durée des symptômes" (IVM - activ6),
16/n
➖Donner un placebo actif (vitamine C) au groupe témoin, en faisant valoir qu'il ne s'agit pas d'un traitement actif (HCQ - Together),
17/n
➖Surestimer le nombre d'événements attendus dans le bras contrôle, de sorte que les résultats risquent d'être "non statistiquement significatifs" (HCQ : Skipper et al., Boulware et al., IVM : Lopez-Medina et al .),
18/n
➖Ne pas tenir correctement compte du délai d'expédition des médicaments dans l'analyse (PeP-HCQ, Boulware et al.),
19/n
Méta-analyses :

➖Toutes les études satisfaisant l'un des points ci-dessus sont des études à « faible risque de biais »,
20/n
➖Ne pas inclure les essais testant les multi-thérapies (n'oubliez pas qu'il est interdit de sauver des vies en utilisant plus d'un médicament),
21/n
➖Télécharger des données et faire une méta-analyse rapide avant votre inscription sur prospero (Fiolet et al.), faire une vidéo youtube et argumenter que ce n'était que pédagogique,
22/n
➖Inclure les études observationnelles, jusqu'à ce que de grandes études observationnelles positives soient publiées, puis ARRÊTEZ de faire ça ! (HCQ),
23/n
➖Si les résultats pour les patients ambulatoires et les patients hospitalisés sont différents (HCQ), inclure les deux dans une seule méta-analyse pour masquer les résultats positifs (Cochrane : Singh et al.),
24/n
➖Au contraire, si les résultats pour les patients ambulatoires et les patients hospitalisés sont positifs (IVM), séparer les deux dans des méta-analyses distinctes pour masquer les résultats positifs en diminuant la puissance statistique (Cochrane : Popp et al.),
25/n
➖Inclure les essais qui ne correspondent pas à vos critères d'inclusion s'ils ont donné des résultats négatifs (HCQ : Fiolet et al, IVM : Popp et al.),
26/n
➖Évaluer les études à « faible risque de biais » publiées dans une revue à haut facteur d’impact, et toutes les prépublications à « risque élevé de biais ». Oups les revues à haut IF ne sont intéressées à publier que des études négatives sur les médicaments repositionnés😇
27/n
➖Les essais avec des résultats positifs sont "à haut risque de biais", parce que, vous savez, nous savons que c'est impossible...
28/n
➖Choisir le mauvais modèle statistique, selon ce que vous voulez montrer, n'oubliez pas que le modèle à effets fixes produira un CI plus petit (Shankar-Hari et al.)
Argumenter que c'est ok, car tu l'as écrit dans le protocole, nananère !!!
29/n
➖Si un essai montre un résultat positif, IL SUFFIT JUSTE D’INVERSER LES DEUX GROUPES (Roman et al. preprint) 😉
30/n
➖Créer vos propres données imaginaires sur la durée d'hospitalisation d'un essai (Roman et al.),
31/n
➖Écrire une conclusion opposée à ce que montrent les données (Hill et al.),
32/n
➖Si quelqu'un dit que vous avez fait des erreurs et que si vous corrigez des erreurs, cela change le résultat, soutenez que vous trouvez exactement les mêmes résultats que d'autres méta-analyses publiées, donc c'est ok de ne pas les corriger (Fiolet et al.),
33/n
➖Créer de nouveaux critères subjectifs pour exclure les études de la méta-analyse, mais ne pas appliquer ces critères à d'autres médicaments comme le paxlovid (Cochrane : Popp et al., Reis et al.),
34/n
➖Modifier le protocole de votre méta-analyse avant la mise à jour pour masquer une réduction du besoin de ventilation mécanique invasive en excluant cet outcome (IVM : Popp et al.),
35/n
➖ Diminuer le niveau de preuve pour "imprécision" alors que l'intervalle de confiance est petit, en contradiction avec les recommandations GRADE (IVM, OMS),
36/36
➖Si les résultats ne conviennent pas, retarder la publication en arguant qu'il faut absolument suivre les patients pendant plus d'une année avant d'avoir des résultats solides (IVM - Principle).
19b/n
➖Attendre que la population soit largement immunisée avant de faire des essais cliniques sur les antiviraux afin d'atténuer l'efficacité (IVM: activ6, Schilling et al.)
37/

• • •

Missing some Tweet in this thread? You can try to force a refresh
 

Keep Current with Fred Stalder

Fred Stalder Profile picture

Stay in touch and get notified when new unrolls are available from this author!

Read all threads

This Thread may be Removed Anytime!

PDF

Twitter may remove this content at anytime! Save it as PDF for later use!

Try unrolling a thread yourself!

how to unroll video
  1. Follow @ThreadReaderApp to mention us!

  2. From a Twitter thread mention us with a keyword "unroll"
@threadreaderapp unroll

Practice here first or read more on our help page!

More from @sudokuvariante

Nov 16
Oh, Pfizer published the results of the clinical trial on the 2021 covid vaccine booster in a more serious website than the pharma propaganda journal @NEJM:

Strangely, the "live-saving" vaccine doesn't save any life in any clinical trial.
1/n clinicaltrials.gov/study/NCT04955…Image
In summary, mainstream journalists, politicians who bought this product and low IQ academics believe covid mRNA vaccines saved lives 1 life in 400 according to flawed mathematical model published in the Lancet,
2/n
but this vaccine didn't save any life in clinical trials, nor the 2 doses protocol administered to 20'000 participants nor the booster administered to 5'000 participants.
Moreover, the initial Pfizer clinical trial data is not compatible with more than 1 life in 2'300 saved
3/n Image
Read 4 tweets
Nov 4
Un des gros problèmes concernant la façon dont la médecine est pratiquée de nos jours dans le monde occidental, qui a atteint un paroxysme durant la crise covid:

1/n orthomolecular.org/resources/omns…Image
"For more than half a century, randomized controlled trials (RCTs) have been worshipped as the gold standard of medical science. If an intervention fails to pass the RCT test, it is branded "unproven."
2/n
If it passes, it earns scientific legitimacy, insurance reimbursement, and regulatory blessing.
This system might sound rigorous-but it was never designed to capture the complexity of human health. RCTs were created in the mid-20th century to test drugs in controlled settings,
3/
Read 13 tweets
Aug 26
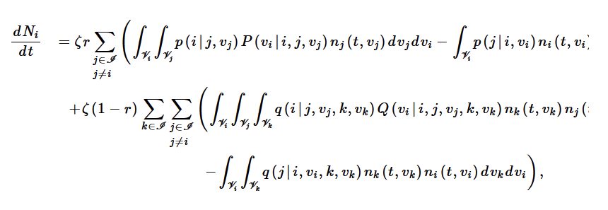
If you want to model SARS-COV-2 epidemics, you have to take into account large heterogeneity of the susceptibility, infectiousness and immunity gained after infection.

So, this is the basic simple formalism you want to solve at the macroscopic level.
1/n onlinelibrary.wiley.com/doi/10.1111/sa…Image
Image
To have a realistic model, you've to:
➖measure empirically all the compartment structuring variables. ⚠️They're time dependent (seasonal) !
➖Take into account waning immunity (⚠️if you add a "vaccinated" compartment)
2/n
➖SARS-COV-2 is not static, so you've to take the viral evolution into account. ⚠️Viral evolution is not independent of population immunity and it's not independent of vaccination of population !
3/n
Read 8 tweets
Aug 12
Je reviens sur un sujet dont j'ai déjà longuement parlé, mais il est crucial pour expliquer comment des "experts" se sont trompés aussi lourdement pendant la crise covid en partant de postulats erronés:
Les modèles épidémiologiques appliqués au covid.
1/n
Les modèles à compartiment homogènes qui nous ont été présentés pendant la crise contiennent de nombreuses hypothèses qui sont toutes erronées:
a) Il n'y a pas d'immunité dans la population au début de l'épidémie.
2/n
b) les êtres humains se comportent grosso modo comme des particules de gaz ayant des mouvements aléatoires.
c) on peut assigner un état spécifique à chaque personne, le nombre total d'états dépend du modèle: 3 état pour le modèle le plus simple: susceptible, infecté, guéri.
3/n
Read 26 tweets
Aug 11
youtube.com/watch?v=yjyj-E…
During this talk about fraudulent practices in research, @lonnibesancon described miss-citation issues, a practice that he ironically used in his own published articles about covid lockdowns, for example here: academic.oup.com/jtm/article/29…
1/n
claiming that studies showed that non-pharmaceutical interventions (NPIs) were effective to reduce transmission while the 3 articles cited nature.com/articles/s4158… nature.com/articles/s4158… science.org/doi/10.1126/sc…
2/n Image
only showed a temporal correlation between the intervention and reduction of the reproduction number as predicted by homogeneous compartmental model.
3/n
Read 7 tweets
Jul 11
Cet article écrit par des mathématiciens anglais détruit le récit pseudoscientifico-politico-médiatique de la crise covid concernant les confinements qui auraient soi-disant "sauvé des millions de vies":

1/nacademic.oup.com/jrsssa/advance…
Pendant la crise, les risques causés par le covid ont été largement surestimés, les risques liés aux mesures largement sous-estimés et l'efficacité des mesures largement surestimée par les décideurs, les médias jouant un rôle déterminant dans la propagation de ces erreurs.
2/n
Des mauvais modèles ont été utilisés à de mauvaises fins. Les auteurs réaffirment ce qu'on savait depuis longtemps et que j'ai déjà largement partagé: l'hypothèse non réaliste d'homogénéité cause une surestimation du risque.
3/n
Read 17 tweets

Did Thread Reader help you today?

Support us! We are indie developers!


This site is made by just two indie developers on a laptop doing marketing, support and development! Read more about the story.

Become a Premium Member ($3/month or $30/year) and get exclusive features!

Become Premium

Don't want to be a Premium member but still want to support us?

Make a small donation by buying us coffee ($5) or help with server cost ($10)

Donate via Paypal

Or Donate anonymously using crypto!

Ethereum

0xfe58350B80634f60Fa6Dc149a72b4DFbc17D341E copy

Bitcoin

3ATGMxNzCUFzxpMCHL5sWSt4DVtS8UqXpi copy

Thank you for your support!

Follow Us!

:(