Jonathan Haskel Profile picture
Jan 13 13 tweets 5 min read
Inflation as a distributional conflict – a thread 🧵 using UK data, with @JoshMartin_econ.

Inspired by @ojblanchard1, @paulkrugman, @david_glasner, @delong and others, here is some arithmetic (with apologies for some equations!) #EconTwitter
1/13
I’m using UK National Accounts data and identities to decompose UK inflation.

Identity 1: CPI inflation equals GDP inflation plus the wedge between CPI and GDP inflation.
2/13 Image
Identity 2: nominal GDP [from the income side] equals nominal payments to labour (L) and capital (K). Ignore taxes and subsidies.

So GDP inflation equals unit labour costs, plus the change in the capital/labour share ratio (weighted by capital-share).
3/13 Image
Identity 3: GDP inflation equals inflation in the expenditure components of GDP (e.g. consumption, investment, etc.) times their weights.
(This doesn’t quite add up, so there’s a residual for rounding and index number approximations.)
4/13 Image
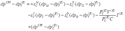
From this, the wedge between CPI and GDP inflation can be expressed as each of the GDP inflation contributions (as above), weighted relative to consumption, plus the difference between consumer expenditure inflation and CPI.
And below we’ll split trade into fuel/non-fuel.
5/13 Image
Combine: CPI inflation adds up to:
(a) labour cost inflation net of productivity growth
(b) relative capital/labour shares
(c) inflation from net trade in fuels
(d) inflation from net trade in non-fuels
(e) residual term (usually small)
6/13 Image
The chart shows UK data for the past and recent quarters.
On average before 2007, inflation from non-fuel trade was slightly negative.
Profit shares changed little. With 2% productivity growth, wage growth was 5%, but inflation was around target (2%).
7/13 Image
From 2010 to the start of the pandemic, inflation was still around target. Profit shares largely unchanged. With weak productivity growth, nominal wage growth was much lower.
8/13
Over the height of the pandemic (2020 to 2021 Q3), furlough, other subsidies and government output measurement make the data volatile. Net fuel trade was not yet a big driver of inflation.
9/13
Since 2021 Q4, inflation is driven, arithmetically, by:
1. Energy inflation via traded fuel (red bars)
2. Slightly rising profit shares in 2022 Q3, but not before (dotted bars)
3. Faster nominal wage growth (blue bars) not offset by productivity gains (green stripes)
10/13 Image
If you want to give this arithmetic a distributional interpretation (overseas, capital, labour), inflation has risen mostly via the rising claims of (mainly overseas) energy producers, somewhat by the rising claims of capital, and somewhat more by labour.
11/13
The terms of fuel trade have turned against us. So the UK is unavoidably poorer, as others have said:
bankofengland.co.uk/speech/2022/oc…
Viewed through the arithmetic of ‘distributional conflict’, to return inflation to target some group must accept lower claims on real income.
12/13
That could either be labour (lower real wages), capital (lower profit shares), or overseas (lower import prices).
Of course, this pressure would be greatly eased by faster productivity growth...
13/13

• • •

Missing some Tweet in this thread? You can try to force a refresh
 

Keep Current with Jonathan Haskel

Jonathan Haskel Profile picture

Stay in touch and get notified when new unrolls are available from this author!

Read all threads

This Thread may be Removed Anytime!

PDF

Twitter may remove this content at anytime! Save it as PDF for later use!

Try unrolling a thread yourself!

how to unroll video
  1. Follow @ThreadReaderApp to mention us!

  2. From a Twitter thread mention us with a keyword "unroll"
@threadreaderapp unroll

Practice here first or read more on our help page!

Did Thread Reader help you today?

Support us! We are indie developers!


This site is made by just two indie developers on a laptop doing marketing, support and development! Read more about the story.

Become a Premium Member ($3/month or $30/year) and get exclusive features!

Become Premium

Don't want to be a Premium member but still want to support us?

Make a small donation by buying us coffee ($5) or help with server cost ($10)

Donate via Paypal

Or Donate anonymously using crypto!

Ethereum

0xfe58350B80634f60Fa6Dc149a72b4DFbc17D341E copy

Bitcoin

3ATGMxNzCUFzxpMCHL5sWSt4DVtS8UqXpi copy

Thank you for your support!

Follow Us on Twitter!

:(