NEW: Excerpts from @POTUS' #StateOfTheUnionAddress tonight —

"The story of America is a story of progress and resilience…We are the only country that has emerged from every crisis stronger than when we entered it. That is what we are doing again. Two years ago our economy...
... was reeling. As I stand here tonight, we have created a record 12 million new jobs – more jobs created in two years than any president has ever created in four years. Two years ago, COVID had shut down our businesses, closed our schools, and robbed us of so much...
....Today, COVID no longer controls our lives. And two years ago, our democracy faced its greatest threat since the Civil War. Today, though bruised, our democracy remains unbowed and unbroken."
"My economic plan is about investing in places and people that have been forgotten...
...Amid the economic upheaval of the past four decades too many people have been left behind or treated like they’re invisible. Maybe that’s you watching at home. You remember the jobs that went away. And you wonder whether a path even exists anymore for you and your children...
... to get ahead without moving away. I get it. That’s why we’re building an economy where no one is left behind. Jobs are coming back, pride is coming back because of the choices we made in the last two years...
... This is a blue-collar blueprint to rebuild America and make a real difference in your lives."

"To my Republican friends, if we could work together in the last Congress, there is no reason we can’t work together in this new Congress...
... The people sent us a clear message. Fighting for the sake of fighting, power for the sake of power, conflict for the sake of conflict, gets us nowhere...
...And that’s always been my vision for the country: to restore the soul of the nation, to rebuild the backbone of America: the middle class, to unite the country. We’ve been sent here to finish the job!"

• • •

Missing some Tweet in this thread? You can try to force a refresh
 

Keep Current with Andrew Feinberg

Andrew Feinberg Profile picture

Stay in touch and get notified when new unrolls are available from this author!

Read all threads

This Thread may be Removed Anytime!

PDF

Twitter may remove this content at anytime! Save it as PDF for later use!

Try unrolling a thread yourself!

how to unroll video
  1. Follow @ThreadReaderApp to mention us!

  2. From a Twitter thread mention us with a keyword "unroll"
@threadreaderapp unroll

Practice here first or read more on our help page!

More from @AndrewFeinberg

Jan 14
🧵Here’s what happened.

A lawyer who lacks a valid security clearance was looking through a box at @JoeBiden’s home when he discovered a paper with classification markings.

It is illegal for the lawyer to view such papers, so he stopped his search rather than keep looking… 1/
…to see if there were *more* documents that would’ve been a crime for him to look at.

Instead, he called someone who is permitted to look at such things without risk prison time.

That person finished the job and found five more pages, allowing the search to be finished… 2/
…without anyone committing a felony.

Generally, lawyers prefer to get through their day without doing crimes, which is why (per @jdawsey1 / @JaxAlemany) even a Trump lawyer, Alex Cannon, told Trump aides not to go through the boxes stashed at Mar-a-Lago because they… 3/
Read 4 tweets
Nov 22, 2022
So far the 11th Circuit hearing isn't going well for James Trusty (Trump lawyer) — not 30 seconds in he's interrupted and asked if he can cite any case in which a court has used equitable jurisdiction in a pre-indictment scenario.
Trusty starts talking about the "raid" and Circuit Judge Britt Grant interrupts him again to ask if the should be using the term "raid".
Judge: "It is an initial moment of use of equitable powers to allow the parties to intimidate the entire premise of an exercise of this extraordinary kind of jurisdiction would be that the seizure itself is unlawful. And if you can't establish that then what are we doing here?"
Read 9 tweets
Oct 13, 2022
NOW: @January6thCmte chair @BennieGThompson says Trump "attempted a plan that led to an attack on a pillar of our democracy" and calls it "a staggering betrayal of his oath".

"The facts and testimonies are clear, consistent, and undisputed," he adds.
.@BennieGThompson says hearing will show "new testimony from additional Republicans who served in the Trump administration, never before seen footage of congressional leaders on January 6" and "new materials" from @SecretService.
Thompson also says committee may vote on "further investigative actions" today
Read 4 tweets
Aug 22, 2022
NEW: This appears to be the "major motion" Donald Trump has been talking about storage.courtlistener.com/recap/gov.usco…
Some problems with the filing that I've noticed so far:

1. Trump's lawyers discussing allegedly executive privileged materials admits he stole government property (presidential records) and is not helpful for asking for a special master since its no longer his privilege to claim
2. After the search of his home for evidence of crimes, Trump's lawyers asked for a whole bunch of information no self-respecting prosecutor would give to a defense attorney.

Prosecutors said no.
Read 7 tweets
Jun 28, 2022
Cassidy Hutchinson was not a "coffee [person]". Here she describes the level and frequency of her contact with senior Trump officials and GOP members of Congress
Hutchinson recalls a conversation with @RudyGiuliani regarding plans for 1/6: "We are going to the Capitol, it‘s going to be great, the president is going to be there, he‘s going to look powerful. Talk to [@MarkMeadows] about it. He knows about it."
Holy crap. Hutchinson says there was talk of Proud Boys and Oath Keepers involvement before 1/6 when @RudyGiuliani was present in the White House.
Read 18 tweets
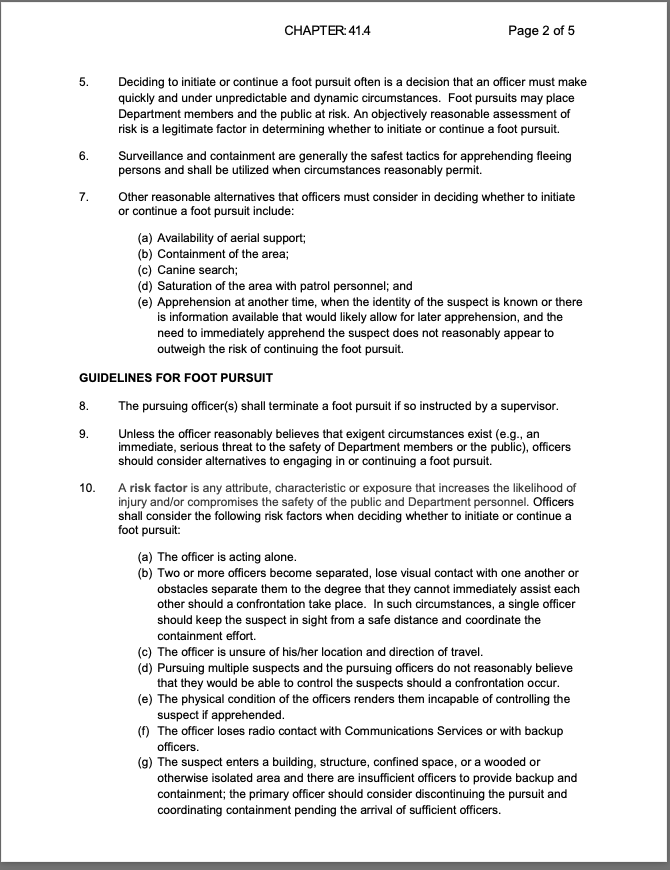
Jun 22, 2022
Fox people appear stunned by police departments having rules on when officers can chase suspects
New Orleans
Pasadena
Read 4 tweets

Did Thread Reader help you today?

Support us! We are indie developers!


This site is made by just two indie developers on a laptop doing marketing, support and development! Read more about the story.

Become a Premium Member ($3/month or $30/year) and get exclusive features!

Become Premium

Don't want to be a Premium member but still want to support us?

Make a small donation by buying us coffee ($5) or help with server cost ($10)

Donate via Paypal

Or Donate anonymously using crypto!

Ethereum

0xfe58350B80634f60Fa6Dc149a72b4DFbc17D341E copy

Bitcoin

3ATGMxNzCUFzxpMCHL5sWSt4DVtS8UqXpi copy

Thank you for your support!

Follow Us on Twitter!

:(