Bajo la sombra del teseracto Profile picture
Feb 20, 2023 11 tweets 3 min read Read on X
Al hablar de imágenes de objetos muy lejanos, como las obtenidas por el JWST, hay un término que se repite mucho: corrimiento al rojo o redshift. ¿Qué significa esto? ¿Por qué se produce? Vamos a intentar explicarlo. Ilustración esquemática div...
Todos conocemos el ruido de la sirena de una ambulancia. Cuando se acerca se escucha más aguda y cuando se aleja más grave. Esto es consecuencia del efecto Doppler y se produce porque la longitud de la onda se percibe de forma diferente en ambos casos.
El caso del corrimiento al rojo es similar aunque su causa difiere, pues el cambio en la longitud de onda de los fotones no se produce por el movimiento de la galaxia observada sino por la expansión del universo. Recorte de la parte izquier...
Lo que sucede es que la luz parte de la galaxia que estamos observando y, mientras se desplaza hacia nosotros, la distancia que debe recorrer está aumentado. El universo se está expandiendo y con él aumenta la longitud de onda de la luz. Esquema divido en dos parte...
Una mayor longitud de onda implica menor frecuencia y viceversa. Las longitudes de onda más grandes tienden al rojo, mientras las más pequeñas tienden al azul. En cuanto más lejos está la galaxia que queremos observar mayor es este corrimiento al rojo. Recorte de la imagen inicia...
La forma de medir esto es aprovechar los espectros de absorción de los elementos que podemos medir de estas galaxias (o de cualquier cosa que queramos medir), pero ¿eso cómo se hace?
Grosso modo, se basa en el hecho de que los niveles energéticos alrededor del núcleo atómico están muy definidos y van siendo ocupados por los electrones, desde el más bajo al más alto. Pudiendo haber 2 en cada nivel. Uno con spin arriba y otro con spin abajo.
La única forma de que un electrón “promocione" a un nivel superior es que se le dé la energía exacta que necesita. Por tanto, cuando la luz, en cualquiera de sus posibles frecuencias, atraviesa al átomo absorbe la que tenga la frecuencia con dicha energía.
Esto genera el espectro de absorción que nos sirve para identificar de qué elemento se trata puesto que este será característico de este elemento. Más aún, nos sirve para medir el corrimiento al rojo, puesto que será directamente proporcional al desplazamiento de este espectro. Imagen con dos espectros de...
En cuanto más lejos está la galaxia que queremos observar más importante será este desplazamiento hacia al rojo. De ahí que con el despliegue del JWST se haya hablado de este fenómeno, puesto que se espera poder estudiar galaxias muy lejanas con él. Recorte de la parte derecha...
Créditos primera imagen: NASA, ESA, Leah Hustak (STScI).

• • •

Missing some Tweet in this thread? You can try to force a refresh
 

Keep Current with Bajo la sombra del teseracto

Bajo la sombra del teseracto Profile picture

Stay in touch and get notified when new unrolls are available from this author!

Read all threads

This Thread may be Removed Anytime!

PDF

Twitter may remove this content at anytime! Save it as PDF for later use!

Try unrolling a thread yourself!

how to unroll video
  1. Follow @ThreadReaderApp to mention us!

  2. From a Twitter thread mention us with a keyword "unroll"
@threadreaderapp unroll

Practice here first or read more on our help page!

More from @BTeseracto

Apr 3, 2024
Un neutrino puede atravesar más de un año luz de plomo sin enterarse siquiera de que estaba ahí. Entonces, ¿cómo se puede detectar algo tan sigiloso? Para hacerlo tenemos que ser más inteligentes que el plomo. Hoy te contaremos cómo. Imagen del interior del Super-Kamiokande. La imagen muestra la piscina llena de detectores que forma el observatorio y al fondo dos operarios en un bote inflable.
Fue en 1930 cuando Wolfgang Pauli tuvo que escoger entre dos males, o bien la energía no se conservaba en la desintegración de los neutrones en protones y electrones, o bien ahí faltaba una partícula. Ante la duda, la conservación de la energía siempre gana.
La solución que planteó, con todo su pesar, fue el neutrino, una partícula sin carga eléctrica e indetectable. Lo que para él fue un dilema: estaba aventurando una partícula cuya existencia no podía probar.
Read 21 tweets
Mar 11, 2024
Ni caos ni desorden ¿Qué es la entropía? Dentro hilo. Tumba de Ludwig Boltzmann. Se trata de una placa enorme de mármol, con un pedestal enfrente sobre el que hay un busto del susodicho. En el pedestal aparece su nombre 1844-1906. En la placa de mármol aparece por una parte su famosa ecuación encima del busto, a los lados del pedestal aparecen nombres de parientes.
Empecemos proponiendo un caso concreto bastante típico. Tenemos una caja dividida por una pared: una mitad de la caja está llena de un gas, la otra está vacía. ¿Qué pasará si quitamos la pared separadora?
La respuesta es bastante intuitiva. El gas se expandirá y llenará todo el espacio, y con ello la entropía aumentará. ¿Por qué aumenta? ¿Es porque el sistema ahora es más caótico o está más desordenado? No, como ya hemos dicho la entropía no entiende de desorden.
Read 25 tweets
Jan 15, 2024
La tabla periódica de los elementos clasifica todo cuando compone las cosas que nos rodean. Y, aunque se puede (y se debe) hilar más fino, es muy interesante hablar de los núcleos de estos elementos. Así que, vamos a ello. Imagen de la tabla periódica de los elementos. con el hidrógeno sirviendo de ejemplo para especificar los diferentes datos: masa atómica, símbolo químico, nombre y número atómico.
Los núcleos de los elementos están compuestos por nucleones, valga la redundancia. Es decir, protones y neutrones. Cada elemento tiene una cantidad de protones definida. El núcleo más ligero, el del Hidrógeno está compuesto por un único protón.
Posteriormente tenemos el helio, con dos protones. Y aquí ya empiezan los problemas, puesto que los protones son cargas positivas, y por tanto deberían repelerse. Esto se soluciona con los neutrones, que añaden pegamento nuclear en forma de fuerza nuclear fuerte.
Read 10 tweets
Jan 8, 2024
El muón es una partícula inestable que se genera en la atmósfera y debería desaparecer mucho antes de llegar a la superficie del planeta. No obstante, llega. Y lo hace gracias a la caprichosa relatividad especial. Hablemos de esta curiosa consecuencia de la dilatación temporal. Ilustración de una cascada de partículas producidas por la interacción de un rayo cósmico con la atmósfera. El proceso empieza en más de 30000 metros sobre la superficie y se extiende a lo largo de todo el recorrido hasta el suelo. Varias partículas se crean y al desintegrarse dan pie a otras diferentes.
De cuando en cuando, una serie de rayos cósmicos golpean nuestra atmósfera, lo cual inicia una serie de procesos, entre ellos la creación de muones. Esto suele producirse a unos 15 km sobre la superficie del planeta.
Dichas partículas son extraordinariamente efímeras, pues en promedio tan solo les lleva algo más de dos microsegundos decaer en otras partículas. Es decir, apenas deberían recorrer unos 600 metros antes de desaparecer. Pero, salvan los 15 km que hay hasta nosotros.
Read 9 tweets
Jan 7, 2024
Los agujeros negros (ANs) son difíciles de ver, estables, no se mueven a velocidades relativistas, etc. Cumplen con lo esperado para la materia oscura ¿Podría ser que haya más ANs de los que creemos y eso resuelva el misterio de lo que llamamos materia oscura? Veámoslo. Ilustración de un agujero negro. Se compone de un fondo en el que aparece una nebulosa sobre fondo estrellado y un punto negro en el centro que distorsiona completamente la forma de todo lo que lo rodea.
Dentro de la materia que conocemos (la que podemos encontrar en el modelo estándar) parece ser que la única partícula que podría cumplir con las condiciones necesarias para darnos la masa que nos falta son los neutrinos. Tabla del Modelo estándar de física de partículas. La tabla se compone de 2 columnas primarias que diferencian entre las 3 generaciones de materia (fermiones) y los portadores de fuerza (bosones). Dentro de los fermiones, todos ellos con espín 1/2, tenemos tres columnas por las generaciones I, II y III, y dos subdivisiones en fila entre quarks y leptones. Dentro de los quarks, además de la generación también podemos diferenciarlos por carga: Con carga 2/3 tenemos: I up, II charm y III top. Con carga -1/3 tenemos: I down, II strange y III bottom. Entre los leptones también podemos hacer subc...
El problema es que, por las condiciones que debe de cumplir la materia oscura para explicar la estructura de nuestro universo, dicha materia no debe moverse a velocidades relativistas. Esto es algo que los neutrinos no cumplen.
Read 29 tweets
Jan 4, 2024
(1/8) Al final de la película Interstellar (SPOILERS) para poder alcanzar el siguiente planeta optan por una solución muy particular: se acercan al agujero negro y dejan caer parte de la nave. Este es el proceso de Penrose, una de las posibles formar de extraer energía de un AN.
Imagen de la película Interstellar en la que aparece uno de los personajes pilotando la nave espacial diciendo: “Esta pequeña maniobra nos costará 51 años”.
Ilustración del proceso de Penrose. Aparece un círculo negro que representa un agujero negro con una flecha que indica su eje de rotación. Alrededor de él tenemos la trayectoria que seguiría una hipotética nave. Esta trayectoria se produce en el mismo sentido de rotación del agujero negro y en un punto se divide en dos. Una mitad cae al agujero negro y la otra escapa.
(2/8) Para aprovechar este proceso necesitas lo siguiente:
- Un agujero negro en rotación, a ser posible lo suficientemente grande para no morir al acercarte.
- Algo de lo que puedas desprenderte.
- Mucha sangre fría.
El último punto se explica solo, expliquemos los dos primeros.
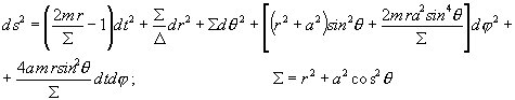
(3/8) En el año 1963 (casi 50 años después de la publicación de la relatividad general) Roy Kerr mostró al mundo la solución para la ecuación de Einstein para un cuerpo en rotación. Con esta métrica era posible estudiar agujeros negros en rotación. Imagen de la expresión matemática de la métrica de Kerr.
Read 9 tweets

Did Thread Reader help you today?

Support us! We are indie developers!


This site is made by just two indie developers on a laptop doing marketing, support and development! Read more about the story.

Become a Premium Member ($3/month or $30/year) and get exclusive features!

Become Premium

Don't want to be a Premium member but still want to support us?

Make a small donation by buying us coffee ($5) or help with server cost ($10)

Donate via Paypal

Or Donate anonymously using crypto!

Ethereum

0xfe58350B80634f60Fa6Dc149a72b4DFbc17D341E copy

Bitcoin

3ATGMxNzCUFzxpMCHL5sWSt4DVtS8UqXpi copy

Thank you for your support!

Follow Us!

:(