Tsoof Bar Or Profile picture
Apr 27 17 tweets 7 min read Twitter logo Read on Twitter
משתגעים להבין מה זה כל הGPT הזה?
אני במילואים, עייף וחסר יכולת להשקיע במטלות שלי, אז ברור שזה הזמן לכתוב שרשור.
היום נכנס לנבכי הLLM - "מודלי שפה ענקיים" וננסה להבין מה קורה בקישקע שלהם ואיך הם עובדים כלכך טוב.
כרגיל, לא צריך ידע במתמטיקה או מחשבים.
#פידטק #פידאטה יאללה >> Image
1. נתחיל בהתחלה עם כותרת מפוצצת.
הGPT הוא חלק מקבוצת אלגוריתמים בשם LLM - Large Language Models שמבוססים על רשתות הנוירונים הקלאסיות (NN) עם ים שדרוגים.
אם NN היא קיר, אז LLM הוא סוג של עזריאלי.
אם הרעיון של NN זר לכם, מזמין אתכם לשרשור שלי בנושא >>
1.5. אמ;לק קצר לפני שנתחיל: הLLMs לוקחים את הטקסט, ממירים אותו למספר, חוזים מה המספר הכי סביר הבא, ממירים את המספר הכי סביר הבא לטקסט, והופ - קיבלנו תשובה מChatGPT. עכשיו נרד לעומק של המכונה המשומנת הזו.
איך זה קורה? >> Image
2. בגדול, אפשר לאפיין כל מגדל עזריאלי כזה בעזרת שני רעיונות: פרמטרים וטוקנים.
נתחיל בפרמטרים. ההנחה שעומדת מאחורי הLLMs ממש פשוטה - שפה היא מודל סטטיסטי.
מה הכוונה?
כמו ש"הטלת מטבע" הוא מודל סטטיסטי בו יש סיכוי של 50%>> Image
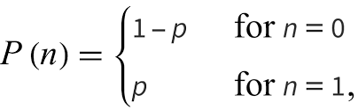
3. שאקבל עץ או פלי, שפה טבעית היא מודל סטטיסטי שבו אם אני אגיד "למה?" יש סיכוי של X% שהתשובה תהיה כובע.
אגב, כדי למדל את ההתפלגות הסטטיסטית של הטלת מטבע צריך פרמטר אחד בלבד, והוא p=0.5. אני יכול למדל מטבע לא הוגן, עם סיכויים אחרים לעץ או פלי עם פרמטר אחר >> Image
4. נגיד 20% סיכוי לקבל עץ, ו80% לקבל פלי (p=0.2).
זה פרמטר אחד כי אפשר לנצל את זה שתמיד יקרה משהו, ואז יש הסתברות משלימה.
מספר הפרמטרים במודל שפה קובע בעצם כמה "חלקים זזים" יהיו לו.
אז אם כדי למדל הטלת מטבע צריך פרמטר אחד לGPT3, המודל שמאחורי הגרסה הפופולארית של ChatGPT יש.. Image
5. 175 מיליארד פרמטרים.
175,000 כפול 1,000,000 מספרים. הגיוני?! כן!
עולם המאורעות של הטלת מטבע כולל 2 מאורעות - עץ או פלי.
שפה היא יותר מורכבת ב-ה-ר-ב-ה, וכדי להצליח לחזות מה ההמשך הכי סביר סטטיסטית צריך מודל מאד "עשיר" ביכולת שלו להתכוונן! >> Image
6. עכשיו נדבר על החלק השני - טוקנים.
מה זה "טוקן"? הטוקן הוא בעצם היחידה הבסיסית ביותר שהמודל יכול לקרוא.
טוקן יכול להיות אות, צמד אותיות, מילה וכן הלאה. השיטה של GPT היא סוג של מידול צמדים של אותיות כדי לפי השכיחות שלהם ל"מילון" >> Image
7. ענק, שלפי מקורות שראיתי בGPT3 הוא סביב ה14.5 מיליון טוקנים, בהמון שפות.
אגב, בשפה העברית יש 45K מילים, אז.. זה די הרבה. בעזרת המילון הזה מודל השפה עושה תרגום של הטקסט למספרים אותם הוא באמת מעבד. >> Image
8. האלגוריתם עצמו בנוי בצורה כזו שיש לו "חלון", כלומר הגבלה של מה קלט הטקסט הגדול ביותר שהוא יכול לקבל בבת אחת.
לGPT3.5 יש חלון של 4K טוקנים. זה בעצם כמה שהאלגוריתם יודע "לזכור" אחורה וככה לייצר תשובה שמבוססת על הסתברות מותנית ב4000 טוקנים. די מטורף, לי אין זיכרון כזה. >> Image
9. אוקי, אז איך עובד כל התהליך?
אם נמשיך בדוגמת GPT3, נאסף מאגר מידע ענקי של כמעט 500 מיליארד טוקנים מ-ספרים, ויקיפדיה ועוד המון המון מידע מהאינטרנט. טקסט אמיתי כמובן!
עכשיו יש לנו את כל המידע כדי לאמן את הקישקע של המודל. הוא >> Image
10. לוקח מידע, הופך אותו לטוקנים, מסתיר את הסוף ואז מנסה לחזות אותו, ואז שוב, ושוב, ושוב, ושוב.
בכל פעם המחשבים מזיזים ומשנים את הפרמטרים (מספרים) השונים כדי להצליח לשפר את היכולת לחזות את המספר (כלומר טוקן) הבא >> Image
11. והידד! בנינו מודל שפה.
בנינו סוג של מנוע, שעכשיו צריך לבנות סביבו מכונית.
את זה עושים בעזרת מה שנקרא Fine Tuning.
ברגע שהמודל למד מספיק זמן לחזות את הטוקנים הבאים בצורה טובה, במקרה של ChatGPT לדוגמא >> Image
12. אימנו אותו להחזיר תשובות שלא רק מתאימות למשימת ה"הכי סביר שזה המשך המשפט" אלא גם דומות לשיח עם אדם בצ'אט.
את זה כבר עשו בטכניקה אחרת, של למידה עם חיזוקים, מעבר לscope של השרשור הזה.
הרעיון הוא שאפשר לקחת את אותו מנוע שאומן במשך ימים רבים על מחשבים רבים >> Image
13. ולהתאים אותו בזמן קצר יחסית ובזול יחסית למשימות אחרות.
זאת בעצם הליבה של GPT ושל כל מודלי השפה שמציפים אותנו בחודשים האחרונים - מכונות הסתברות מפלצתיות שמנסות לחזות מה ההמשך הכי סביר לטקסט שנתנו להם + משימות צד נוספות.
על בסיס זה קמו סטארטאפים >> Image
14. שבעזרת גישה למודלים האלה בונים מערכות שמותאמות יותר לקופירייטינג, לכתיבת קוד וכמובן - לצ'אט!
העתיד? מרגש, מפחיד, לא יודע, אבל ככל שהמנועים האלה הופכים חזקים יותר, החיזוי הסטטיסטי הזה מרגיש יותר ויותר כמו מוח שאפשר גם ללמד אותו לחפש ברשת, לקרוא את הטקסט, לראות תמונות >> Image
15. ואפילו לבצע משימות.
עוד הרבה (מאד!) אתגרים לפנינו לפני שנגיע למה שנקרא AGI, בינה מלאכותית "כללית" שבאמת תוכל לעשות הכל, אבל מודלי השפה הם ללא ספק צעד אימתני בכיוון הזה.
לאן אתם חושבים שזה ילך? מה עוד צריך לקרות כדי שהמודלים האלה יחליפו אותנו? עבודה של מי בסכנה?
שתפו בתגובות! Image

• • •

Missing some Tweet in this thread? You can try to force a refresh
 

Keep Current with Tsoof Bar Or

Tsoof Bar Or Profile picture

Stay in touch and get notified when new unrolls are available from this author!

Read all threads

This Thread may be Removed Anytime!

PDF

Twitter may remove this content at anytime! Save it as PDF for later use!

Try unrolling a thread yourself!

how to unroll video
  1. Follow @ThreadReaderApp to mention us!

  2. From a Twitter thread mention us with a keyword "unroll"
@threadreaderapp unroll

Practice here first or read more on our help page!

More from @tsoofbaror

Aug 29, 2022
לקח לי יותר מידי זמן לכתוב את השרשור הזה, אבל אחת ולתמיד:
"רשת נוירונים", מה זה ואיך זה עובד.
בגלל (בזכות!) @StavKislev רוב העוקבים שלי מ #פידרפואה, אז כל האנלוגיות כאן יהיו מהתחום.
#פידאטה , #פידטק 🧵
(כרגיל - אין צורך בידע במתמטיקה או במחשבים. או ברפואה.) Image
(1/16) נתחיל רגע בשאלה פילוסופית - מה המשמעות של הביטוי "ליישם ידע"? מה התוצר של "ללמוד"?
למידה היא כמו מפעל.
אל מפעל כתר נכנסים בלוקים של פלסטיק, ויוצאים כיסאות מהודרים ומוכנים לקטטה. משהו קורה שם באמצע במפעל של כתר.
כשרופא מאבחן מחלה, הוא מכניס אל תוך המוח Image
(2/16) את כל מדדי החולה - ופולט החוצה "עגבת"!
רשת נוירונים היא ניסיון לחקות את מה שקורה שם באמצע, בשפה שמחשב מבין.
הרשת מקבלת המון מספרים, ומוציאה החוצה המון (או מעט) מספרים. כן, זה עד כדי כך פשוט. יש שלושה עניינים מעניינים:
מה הם המספרים האלה, ואיך יוצרים אותם ומה משמעותם. Image
Read 17 tweets
Aug 27, 2022
תוך כדי למידה חשבתי לעצמי: "היי, במקום לסכם, למה שלא אכתוב שרשור?".
אז הנה, היום נדבר על רשתות נוירונים גרפיות (GNNs).
מה זה גרף, למה זה טוב, למי זה עוזר ואיך זה קשור למלחמה בבוטים בטוויטר ול #בינהמלאכותית?
בואו נגלה #פידאטה, #פידטק🧵
(כרגיל - אין צורך בידע במתמטיקה או מחשבים) Image
(1/14) נתחיל בהתחלה. בכיתה ז' פתאום נכנסות אותיות למתמטיקה. לא רק פעולות חשבון, אלא איזה X מוזר שצריך למצוא. גרף הוא רעיון מתמטי כמו זה, שפשוט מגיח לחיים בשלב כלשהו באוניברסיטה. כמו שהX הזה הוא ציור שבא לתאר רעיון, הגרף הוא ציור של נקודות שמחוברות זו לזו, גם הן מתארות רעיון. Image
(2/14) טוויטר הוא סוג של גרף - כל נקודה ("צומת") היא צייצן, ואפשר לחבר אותה לכל מי שעוקב אחריה בחץ ("קשת"). שתי נקודות מחוברות נקראות "שכנות". אפשר להשתמש בחצים כדי לתאר קשר חד צדדי, או בקו לקשר דו"צ. גרפים מתארים המון תופעות בעולם שלנו, לא רק רשתות חברתיות. מולקולה היא סוג של Image
Read 16 tweets
Aug 15, 2022
(1/14) על הקונץ של @ClalitResearch למלחמה בקורונה עם #בינהמלאכותית.
בשרשור הקודם נחשפתי לעובדה המדהימה (!) שכבר במרץ 2020 (!!) היה לקופ"ח כללית מודל מתפקד לחיזוי תמותה של חולי קורונה. מה אפשר ללמוד ממנו? #פידאטה וקצת #פידרפואה על עצי החלטות ויערות 🧵
(2/14) נתחיל באמ;לק רציני: לכללית היה כבר מודל חיזוי לשפעת, אותו הם לקחו ובו ביצעו התאמות לקורונה. זהו, סיימנו, תודה. סתם. האמת שמה שאני באמת רוצה לספר לכם הוא מה עומד בבסיס מודל השפעת. תופתעו לגלות כמה זה פשוט: עץ החלטות (או נכון יותר - יער).
(3/14) עץ ההחלטות הוא אחד מעמודי התווך של עולם ה #AI, והוא עושה משהו ממש הגיוני: הוא יודע לקחת פיסת מידע (נתוני חולה, תמונה וכו) ולשאול עליה המון שאלות. לשאלות תשובות קטגוריות. אפשר כן\לא, אבל גם נגיד על "גיל?" אפשר לענות "מתחת ל30"\"בין 30 ל60"\"מעל 60"
Read 15 tweets

Did Thread Reader help you today?

Support us! We are indie developers!


This site is made by just two indie developers on a laptop doing marketing, support and development! Read more about the story.

Become a Premium Member ($3/month or $30/year) and get exclusive features!

Become Premium

Don't want to be a Premium member but still want to support us?

Make a small donation by buying us coffee ($5) or help with server cost ($10)

Donate via Paypal

Or Donate anonymously using crypto!

Ethereum

0xfe58350B80634f60Fa6Dc149a72b4DFbc17D341E copy

Bitcoin

3ATGMxNzCUFzxpMCHL5sWSt4DVtS8UqXpi copy

Thank you for your support!

Follow Us on Twitter!

:(