Ryan Hisner Profile picture
Jun 6 18 tweets 6 min read Twitter logo Read on Twitter
What's going on with ORF7b? Something unusual has occurred in ORF7b in two unrelated variants—two of the only non-XBB variants that remain competitive. They took entirely different routes to reach the same end point: a new ORF7b protein.
But first a short primer on ORF7b. 1/
SARS-CoV-2 genes are often divided into three categories:
1. Non-structural proteins (NSPs)
2. Structural proteins (spike, envelope, membrane, nucleocapsid or S, E, M, N)
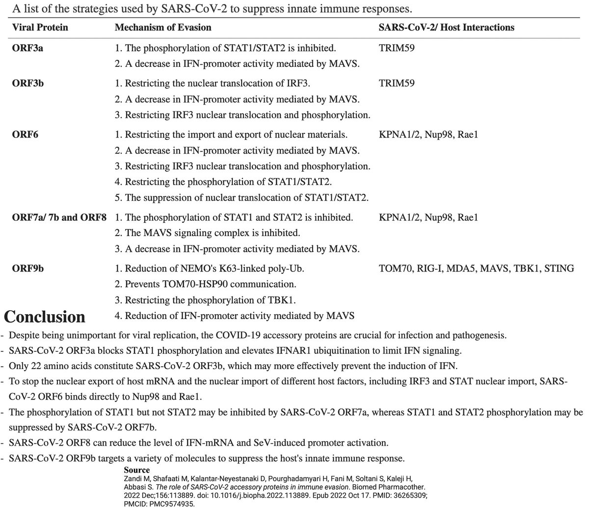
3. Accessory proteins 2/ Image
The 16 NSPs are in ORF1ab & make up the first ~2/3 of the genome. They have diverse functions, but most are primarily involved in viral replication in one way or another. Here are descriptions of the functions of the 16 NSPs from a few different sources. 3/ ImageImage
Structural proteins (envelope, membrane, spike, nucleocapsid—E, M, S, N) compose the physical structure of the virus. N has also been implicated in innate immune evasion.
4/ Image
Accessory proteins (ORF3a, ORF6, ORF7a, ORF7b, ORF8, ORF9b, & possibly others) are less essential than the first two categories, & seem to be mainly involved in immune evasion. 5/ Image
But it's not always clear what accessory proteins do. ORF8, after having had dozens of powerful functions attributed to it, has been nearly erased, resulting in an apparent increase in fitness. ORF7a has also been destroyed repeatedly. 6/
ORF7b is the smallest protein, at 43 amino acids (AA), & early ORF7b stop codons, which prematurely halt protein construction, have made regular appearances (though not as commonly as in ORF8). At first, the new ORF7b mutations seem similarly destructive of ORF7b. 7/ Image
Each AA is coded by a "codon" made up of 3 nucleotides (nt), so any deletion not divisible by 3 completely changes the composition of the AA appearing after it. This is called a frameshift. Example: a 1-nt deletion in ORF6 in XBB.1.28.1 (spotted by @shay_fleishon). 8/ Image
Frameshifts usually quickly lead to a stop codon, truncating the protein & making it incapable of carrying out its previous function. The 1-nt deletion in ORF6 in XBB.1.28.1, for example, finds a stop codon at AA site #11, hacking off the last 84% of ORF6. 9/ Image
One variant—XBC.1.6, a Deltacron—has a 2-nucleotide deletion in ORF7b codon 13, causing a frameshift. But this frameshift doesn't lead to a stop codon until codon 32-33. 10/ Image
The other variant—FR.1, a BN.1 descendant (which is a BA.2.75 descendant)—has a 1-nucleotide insertion at the same location. This causes a frameshift *identical* to the 2-nuc deletion in XBC.1.6, the only difference being an extra F residue in FR.1. 11/ Image
So the new, frameshifted ORF7b is about ~75% as long as the old version. But the amino acid composition drastically differs, particularly in the number of polar vs nonpolar AA residues. Post-frameshift, 7 of the first 14 AA are polar vs 0/14 in the old ORF7b. 12/ Image
But 10 of the last 11 AA residues of the original ORF7b are polar/hydrophilic, & the new, truncated ORF7b lacks these altogether. I think it's safe to say these are two very different proteins. 13/ Image
But what does it all mean? The fact that two of the most competitive non-XBB variants have both stumbled on the same new protein through different routes suggests it may be beneficial in some way, perhaps throwing a spanner in the works of our immune response. 14/
Or the new ORF7b could be a junk protein w/no function. ORF7b likely isn't important enough to have a major impact. But I think this illustrates the sort of evolutionary surprises that are possible. Even as some are erased (ORF8), entirely new proteins can be created. 15/
Indeed at least one already has! It resulted from a 3-nucleotide mutation in N, creating a new TRS-B & leading to the production of the N* protein, which has been shown to interfere with the immune response and increase viral loads. 16/ nature.com/articles/s4146…
N* is now universal except for in Deltacrons like the XBC lineage. It's was a major development that hasn't seemed to get the attention it merits. But that would be an entirely different thread. Time to end this one. 17/
As always to the labs, lab workers, and researchers doing the groundwork, without which none of this would be possible. As funding is reduced and sequencing decreases, their work is more important than ever. 18/end

• • •

Missing some Tweet in this thread? You can try to force a refresh
 

Keep Current with Ryan Hisner

Ryan Hisner Profile picture

Stay in touch and get notified when new unrolls are available from this author!

Read all threads

This Thread may be Removed Anytime!

PDF

Twitter may remove this content at anytime! Save it as PDF for later use!

Try unrolling a thread yourself!

how to unroll video
  1. Follow @ThreadReaderApp to mention us!

  2. From a Twitter thread mention us with a keyword "unroll"
@threadreaderapp unroll

Practice here first or read more on our help page!

More from @LongDesertTrain

May 6
Props to @EricTopol & @trvrb for calling attention to the real possibility of an Omicron-like event, where a divergent variant swarms the globe, evading immunity. Reassuring that experts are informing top political figures about this. I doubt they were previously aware. 1/ Image
Experts, including @GuptaR_lab, @PeacockFlu, @SolidEvidence, & others, have warned of the danger of divergent, immune-evasive chronic-infection variants. @GuptaR_lab wrote a preprint on the subject in 2020 & was the rare (only?) expert to predict something like Omicron. 2/ Image
12-month odds of an Omicron-like event (OLE)? No one knows for sure, but Bedford estimates a 40% chance. Other experts estimate 20%.
Crucially, @trvrb point out that Omicron *began in early 2020* with an infection that lasted >1.5 years. We just didn't see it until late 2021. 3/ Image
Read 8 tweets
Apr 28
Very cool to have laboratory confirmation of our hypothesis that the seemingly unimportant C27889T mutation in BA.5 dramatically reduced expression of the ORF8 protein. All signs point toward ORF8 being on the way out. 1/
ICYMI, @PeacockFlu, @siamosolocani, & I co-authored a recent piece on @virological_org describing the recent trend for ORF8 expression to be greatly reduced/abolished by mutations messing with the TRS signal or through early stop codons. 2/
Here's my thread from a few weeks ago describing this evidence in more detail. 3/
Read 18 tweets
Apr 21
Some have begun asking, "Where are the new variants from China?" There has been nothing significant emerge from China, and that's not surprising at all. @JosetteSchoenma explains it well below: little previous immunity + ~zero chronic infections—yet. 1/
But early chronic infections from China have begun to appear. Here are the Usher trees for a few I found yesterday. The two sequences on the middle tree from different patients, so this one has been transmitted. This is just a sampling as there are numerous others. 2/ Image
Chronic-infection sequences take time to "ripen," so it will likely be a few months before chronic-infection variants in China reach a fitness level capable of widely spreading. The most extreme sequences take >1 year to emerge—even >2 yrs for some. 3/
Read 8 tweets
Apr 19
Incredibly honored to be featured in the Nature piece below by @maxdkozlov. I never expected anything resembling this kind of recognition, & it all still feels a bit surreal. I want to mention a few of the people whose work & generosity has been vitally important to me. 1/
@PeacockFlu has been incomparably helpful & astoundingly generous with his time & knowledge. The openness of so many scientists on Twitter has been a revelation to me, and Tom is the paramount example of this. Such an amazing scientist & great human. 2/
Being part of the "variant hunter" community has meant everything. I was a relative latecomer to this group, but I know @CorneliusRoemer was essential in its original formation & has continued to play a critical role in global SARS-CoV-2 surveillance. 3/
Read 5 tweets
Mar 28
This has not been the primary way SARS-CoV-2 has evolved. With the notable exception of the BQ* (& partial exception of BA.2.75*) lineages, major new variants have developed during chronic infections over the course of months or years. 1/
This was recognized when Alpha first emerged featuring 17 amino acid substitutions not shared by other sequences. This was not textbook, stepwise evolution. See great article by @kakape from Dec 2020, featuring @GuptaR_lab & @JeremyFarrar. 2/ science.org/content/articl…
Even before Alpha emerged, @GuptaR_lab, @BillHanage, & others had noted the ability of SARS-CoV-2 to extensively evolve within immunocompromised hosts, esp. during certain treatments—e.g. remdesivir or convalescent serum. 3/
nejm.org/doi/full/10.10… nature.com/articles/s4158…
Read 17 tweets
Mar 3
What is the most fascinating and vitally important mystery of the Covid pandemic? It's not the origins of SARS-CoV-2—it's the Cryptics.
This is one of the most fascinating and well-written articles on Covid I've read. 1/
bloomberg.com/news/features/…
It follows @SolidEvidence on a quest to locate the origins of one of the most bizarre, hypermutated SARS-CoV-2 sequences ever detected—one that makes Omicron look tepid by comparison.
Awesome photo by @NeetaSatam. Major Night King vibes. (from @GameOfThrones) 2/
One of the most distinctive traits of SARS-CoV-2 has been its ability to evolve for months & years inside one body, accumulating immune-evasive mutations until it no longer resembles any other variant. *This is where most variants come from.* 3/
Read 17 tweets

Did Thread Reader help you today?

Support us! We are indie developers!


This site is made by just two indie developers on a laptop doing marketing, support and development! Read more about the story.

Become a Premium Member ($3/month or $30/year) and get exclusive features!

Become Premium

Don't want to be a Premium member but still want to support us?

Make a small donation by buying us coffee ($5) or help with server cost ($10)

Donate via Paypal

Or Donate anonymously using crypto!

Ethereum

0xfe58350B80634f60Fa6Dc149a72b4DFbc17D341E copy

Bitcoin

3ATGMxNzCUFzxpMCHL5sWSt4DVtS8UqXpi copy

Thank you for your support!

Follow Us on Twitter!

:(