More Births Profile picture
Sep 13, 2023 9 tweets 5 min read Read on X
What caused the Baby Boom? To fix today's low birth rates, it helps to know how falling fertility was turned around once before.
Economic growth helped. But it turns out there a cultural closeness between men and women unlike anything before or since! A🧵, please share, follow!


Image
Image
Image
Image
A widely read article explained how new appliances, medical progress and more housing all supported family formation.
But this can't be the whole story, because usually as people are better off, fertility goes down.
There was something special in the air at the time. (2/9)
Image
Image
World War II saw young men involved in the war effort at incredibly high rates. In the US, 25% of men and close to 50% of men ages 18-30 served in the military and a further 25% were employed in war work. Other countries had similar or higher rates of deployment. (3/9) Image
Young men were seen by young women in a glowing light, both during the war and after returning home. Young men also matured quickly. What followed was an era of warm feelings between men and women across society, that infected a generation. (4/9) Image
In those days, love meant marriage. And so people married more often and earlier than ever before. In the US, women married at a median age ~20 and 94% of men and women married by age 40!
It turns out that lots of marriages at early ages are the key to high fertility. (5/9)

Image
Image
Image
Economic tailwinds helped. But it takes culture to truly explain how births soared in so many different countries around the same time. (Chart from @WorksInProgMag.) (6/9) Image
If more and younger marriages gave us the Baby Boom, are they an answer for today? Yes, and here is important thread on that! (7/9)
You can get a sense of the very positive atmosphere that existed then between men and women by watching clips of couples from that era.
Here is a couple who married in 1941 and served in the war, talking about love after their 77th anniversary. (8/9)
If you enjoyed or learned something from this thread on the causes of the Baby Boom, and lessons for today, please repost. Also follow and spread the word about this account, which is dedicated to solutions to our fertility crisis. (9/9) Image

• • •

Missing some Tweet in this thread? You can try to force a refresh
 

Keep Current with More Births

More Births Profile picture

Stay in touch and get notified when new unrolls are available from this author!

Read all threads

This Thread may be Removed Anytime!

PDF

Twitter may remove this content at anytime! Save it as PDF for later use!

Try unrolling a thread yourself!

how to unroll video
  1. Follow @ThreadReaderApp to mention us!

  2. From a Twitter thread mention us with a keyword "unroll"
@threadreaderapp unroll

Practice here first or read more on our help page!

More from @MoreBirths

Oct 23
The Cradle of Europe, Fading Fast
Italy is at the center of our world, with more cultural and religious heritage than anywhere else on Earth.

How did Italy, once famous for its family culture, become the most aged country in Europe and what could turn things around? 🧵!Image
Image
Italy's fertility in 2025 is just 1.12 births/woman, one of the lowest in Europe.

There are many statistics that help explain why the birthrate in Italy is so low, but one astonishing number stands out: Some 52% of Italian men aged 25-34 still live at home. 2/8 Image
"Failure to launch" is an unfortunate downside to Italy's famously close-knit family culture, and that hurts birthrates in several ways.

Italy has the EU's lowest marriage rate. On top of this, Italians have children later than any other country in Europe.

Low marriage and late childbearing are a recipe for low fertility on a national scale. 3/8Image
Image
Read 8 tweets
Sep 27
It has gone unnoticed that the most infamous school shooting in US history, the Sandy Hook shooting, may have had its origin in far left, antinatalist ideology.

Adam Lanza's recordings, found in 2021, expressed strong interest in antinatalism as well as p*dophilia. 🧵. Image
Adam Lanza's YouTube channel "CulturalPhilistine" was not discovered until September of 2021, some 9 years after the shooting, after public interest had waned. At the time of the shootings, Lanza's motives were a mystery.

The YouTube channel contained only audio but matched recordings of Lanza's voice. The strongest evidence that the channel belonged to Lanza is that it includes long readings from a 35-page college application essay that Lanza had submitted on the topic of p*dophilia.

Lanza's first and fourth recordings were on the topic of antinatalism and "antinatal" appears 24 times in the transcripts.

"Life is suffering" appears in the title of another recording, and this is a key part of antinatal ideology. 2/6Image
Image
In his recording "antinatalism at light speed" Lanza spoke of 'activist antinatalism' - just one year before he would kill 26 children and teachers at Sandy Hook elementary.

Lanza's recordings discuss not only antinatalism, but a more extreme online ideology called efi*ism. 3/6 Image
Image
Read 7 tweets
Aug 29
One of the strongest predictors of fertility for countries is how many children most people consider to be ideal.

This shows that values around children drive birthrates strongly. We also see that actual fertility (1.48) is far below what people say they desire (2.36). 🧵 Image
Notice how strongly fertility ideals predict actual fertility, with the ideal number of children predicting 64% of a country's TFR.

Why does the US have a higher birthrate than Europe even though family policies are much more generous in the EU? A stronger desire for kids. 2/5 Image
This also gets to the root of why Israel, alone among developed countries, manages to have above replacement fertility.

In Israel, the average 18-44-year-old sees 4 as the ideal number of children to have, far more than in other advanced countries. Truly a pronatal culture. 3/5 Image
Read 5 tweets
Aug 22
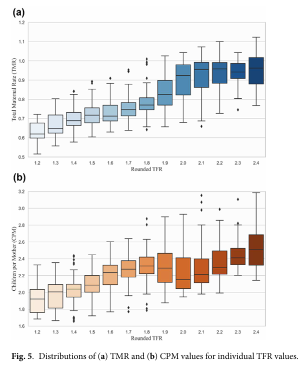
Published today, an important paper proposes a framework dividing total fertility rate into two component parts:
TFR = Total Maternity Rate (TMR) x Children per Mother (CPM)

This lens shows that virtually all recent declines in fertility were due to increasing childlessness. 🧵 Image
Image
Image
Demographer @StephenJShaw realized that these two components of TFR, the total maternity rate (or equivalently, the childless rate) and children per mother move quite independently of each other.

That means one gets much more information from looking at both parts together. 2/6 Image
Image
Unsurprisingly, both lower rates of motherhood and smaller family sizes are contributors to the crisis of low birthrates.

But both factors matter since the policies helping people reach parenthood may be very different from the ones supporting or encouraging larger families. 3/6 Image
Read 6 tweets
Aug 15
All of China has low birthrates, but northeastern China has the lowest fertility of any region in the world, lower than South Korea. Why?
It was in these regions that the one-child policy was most rigorously enforced, completely wiping out natalism from the culture. 🧵Image
China's One Child Policy is gone now, and since July 2021, all birth limits have been removed.

But while the OCP was in force, millions of pregnant Chinese women experienced the tragic brutality of forced abortion, which I explored in this thread (2/5):
But why did population control hit harder in the northeast than elsewhere in 🇨🇳?
First, NE China urbanized earlier and population controllers were more powerful in cities.
Second, most people in NE China worked for state-owned enterprises, putting them directly under the CCP. 3/5 Image
Image
Read 5 tweets
Jul 22
Colombia has had one of the fastest fertility drops in the world, from 2.57 births/woman in 2000 all the way down to 1.2 in 2024.

How can it be that Colombia, with a GDP of 7K per year, has a fertility so much lower than the US? And why is this happening across Latin America? 🧵 Image
Image
Colombia recorded only 445,000 births in 2024, way below UN projections of 701,000 births, for an official fertility rate of just 1.06 births per woman, and just 0.84 in Bogotá. (The true rate may be a little higher with unregistered births.)

Why such a dramatic collapse? 2/10 Image
The biggest cause is the disappearance of marriage.

The rate of marriage in Colombia plunged to just 1.4 per 1000 people in 2022 according to OECD statistics, lowest in the world. (The US which has also seen a big drop still has a marriage rate 4 times as high at 6.0.)
3/10 Image
Image
Read 11 tweets

Did Thread Reader help you today?

Support us! We are indie developers!


This site is made by just two indie developers on a laptop doing marketing, support and development! Read more about the story.

Become a Premium Member ($3/month or $30/year) and get exclusive features!

Become Premium

Don't want to be a Premium member but still want to support us?

Make a small donation by buying us coffee ($5) or help with server cost ($10)

Donate via Paypal

Or Donate anonymously using crypto!

Ethereum

0xfe58350B80634f60Fa6Dc149a72b4DFbc17D341E copy

Bitcoin

3ATGMxNzCUFzxpMCHL5sWSt4DVtS8UqXpi copy

Thank you for your support!

Follow Us!

:(