Gilles Demaneuf Profile picture
Sep 21, 2023 35 tweets 15 min read Read on X
1/35 This is a quick thread about NIH Grant R01 A1139092, 'Structure-based design of coronavirus subunit vaccines'

That grant had for principal investigator Lanying Du, alleged wife of Yusen Zhou, the Chinese PLA scientist who apparently died in mysterious circumstances. Image
2/35 Lanying Du works at the New York Blood Centre and is a well-known coronavirus vaccine expert, as was her husband, Yusen Zhou.

He supposedly fell to his death from the roof of his main workplace, the PLA Beijing Institute of Microbiology and Epidemiology.

image: @RdeMaistre Image
3/35 That R01 grant has also a foreign component, which was precisely the PLA Beijing Institute of Microbiology and Epidemiology (Academy of Military Medical Sciences).

Fang Li e-mails that were FOId by @USRightToKnow have the name in clear.
@JamieMetzl
drive.google.com/file/d/1MrxwU3…
Image
4/35 Also on this grant:
- Fang Li (Uni. Minnesota, vaccine design)
- Stanley Perlman (Uni. Iowa, mouse work)
- Jiang Zhu (Scripps, RBDs design & nanoparticles, under a consortium agreement)

Shibo Jiang (Fudan University) pops up too: Image
5/35 We don't know yet who the main contact at the Beijing PLA Institute is.

However the application shows that this R01 grant was in full continuity of previous work done with Lanying Du, with 40 previous publications in common. Image
6/35 If that sounds like Yusen Zhou, it's simply because it's him.

We get confirmation via a very interesting list of Chinese collaborators to NIH grants obtained by @JucicialWatch:
@emilyakopp @RogerMarshallMD
judicialwatch.org/wp-content/upl…
Image
7/35 Note that the list has more entries for Yusen Zhou working with Lanying Du, and also many more for his PLA colleague Wu Chun Cao who is on many grants with various US entities.

Image
Image
Image
8/35 At first, it may not be clear why Shibo Jiang is included in all these emails: Fudan University is not in the grant and he is not designated as a collaborator.

But note that Yusen Zhou is not a recipient of any email in the FOIs, while being part of the project. Image
9/35 Shibo Jiang is known to be a bridge between US and Chinese scientists. Also, Shibo Jiang, Lanying Du, Yusen Zhou and Fang Li have a long history of collaboration on vaccines.

So Shibo Jiang is likely an advisor and possibly a relay to Yusen Zhou.
patents.justia.com/inventor/yusen…
Image
10/35 The grant objective is to design vaccines for highly pathogenic coronaviruses by focusing on the RBDs and RBMs of a selection of these, creating chimeric coronavirus RBDs, optimising them, and then testing these as nanoparticle-carried RBD vaccines on mice, then on monkeys: Image
11/35 Incidentally, the importance of doing both monkey and mouse testing in an R01 grant was explained by Lanying Du in an email exchange with Stanley Perlman, Fang Li and Shibo Jiang (possibly for a different grant proposal, not clear): Image
12/35 Fang Li emails (1,234 pages) have just a few pages about that grant.

In contrast, the NIH emails FOI'd by @JamesCTobias are focused on the grant and are thus redacted aggressively (beyond the mention of China).

For instance: Image
13/35 Here is what the unedited version should look like, thanks to having the name in clear text in Fang Li emails:

drive.google.com/file/d/12LkbSh…
Image
14/35 There was still one accidental giveaway in the otherwise aggressively redacted NIH emails, in the form of the watermark, which I noticed.
Image
Image
15/35 The excellent @RdeMaistre promptly confirmed it as being the PLA Beijing Institute of Microbiology and Epidemiology:

PBS: PLA State Key Lab of Pathogen and Biosecurity (at the Institute of Microbiology and Epidemiology) Image
16/35 You can also see it at the top of the building from which Yusen Zhou is supposed to have fallen sometime in May 2020: Image
17/35 The grant justifies the involvement of the PLA Institute in the following terms:👇🏻

Cost effectiveness.
[..] the experimental cost in the U.S. is ~$6,000/monkey for purchase and $20/day for maintenance, but such costs can be reduced by 6 and 4 times, respectively, in China. Image
18/35 In other words, the NIH was supposed to be happy involving the Beijing PLA institute in DURC research on that grant, because monkeys are cheaper there.

There may be occupational hazards for that price, though, since one may fall off the roof, just like employees at Foxconn
Image
Image
19/35 Now, it gets a bit odd because the letter of acceptance from the PLA Institute mentions that the collaboration would anyway be funded by the Chinese side, through its own grants.

So, actually, the cost to NIH is precisely zero.
Image
Image
20/35 More details about the animal work at the Beijing Institute under that R01 grant:
Image
Image
21/35 Note: At exactly the same time, another R01 grant was taking the same approach to working with countries that may edge towards, or were already, under US restrictions during Trump's presidency.

[Daszak's grant took this to an all new level; more on this another time.]
22/35 The monkeys were supposed to be used to assess the RBD vaccines against live coronavirus challenges, after the initial tests on mice.

Now, we may remember that one strong lab-accident scenario is that SARS-CoV-2 leaked during vaccines challenges in Wuhan. Image
23/35 Basically, as part of a red team that was used to try to infect animals in order to test these vaccines.

Maybe in Wuhan Uni ABSL lab, or in a WIV P2 or P3.
Or even the WIV P4, since, according to a French Intel note, the P4 was running tests with work on class 3 pathogens.
24/35 That is all open to speculation. But what we know for sure is that China was funding such work.

And one can assume that top PLA vaccine designer Yusen Zhou would know what some colleagues (PLA or civilian) would be doing in Wuhan on a similar project.
25/35 This was also the conclusion of the full Senate report into COVID’s origin, released in April 2023, with the mention of two vaccine development efforts and collaboration with the WIV:
@SenMarcoRubio
rubio.senate.gov/public/_cache/…
Image
26/35 For a good illustration, here is a paper received 27 Nov 2019, with Shi Zhengli, Yusen Zhou, Lanying Du and Fang Li as senior authors, and acknowledgement of funding for some of the work via that R01 grant AI139092 (to L.D. and F.L.):
covid-19.conacyt.mx/jspui/bitstrea…
Image
27/35 As seen earlier, the relation between Lanying Du and Yusen Zhou is an old one.

They may have met in about 2000, at the PLA Institute of Microbiology and Epidemiology itself, where Yusen Zhou was a young post doc and Lanying Du was finishing her PhD:

See this 2000 paper:
Image
Image
28/35 Going back to controversy surrounding Yusen Zhou:

The very tight schedule of his COVID-19 vaccine patent has raised a few questions. It was submitted on 24 Feb 2020. Image
29/35 Also, a paper he published showed that he was in possession of human-adapted mice fairly early (September 2019):
30/35 I was eventually able to show that this human-adapted mouse model was actually developed in early 2018:
31/35 Now let's go back to the R01 grant.

In May 2021 (year 5), the grant was modified to remove the PLA Institute and replace it by Georgia State University Research Foundation, which then took on the monkey work from the Beijing Institute.
Image
Image
32/35 At the same time, Lanying Du was transferred from the NY Blood Centre to Georgia State University, with redirection of the NYBC grant money to Georgia State Uni. Image
33/35 In doing so, funds were effectively secured for the additional material and animal costs (as the PLA Institute was previously funding the monkey work through its own Chinese grants).
Image
Image
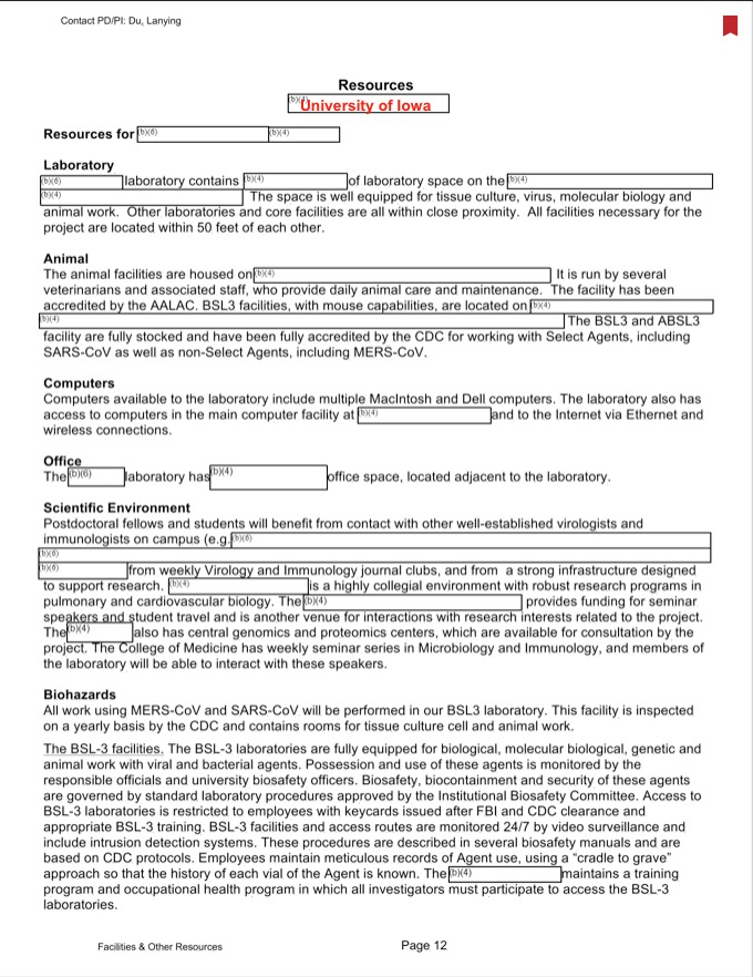
34/35 The mouse work is still done at the University of Iowa (Stanley Perlman).

For some reason, the NIH FOI also removed all references to that University of Iowa, but you have it in clear in the Fang Li emails too. Image
35/35 That was a quick review of that NHS grant involving the mysteriously disappeared Yusen Zhou, his rumored wife, and their alma mater, the PLA Beijing Institute.

I hope you've found this thread helpful.
Follow me @gdemaneuf for more.
Like/Repost the quote below if you can:

• • •

Missing some Tweet in this thread? You can try to force a refresh
 

Keep Current with Gilles Demaneuf

Gilles Demaneuf Profile picture

Stay in touch and get notified when new unrolls are available from this author!

Read all threads

This Thread may be Removed Anytime!

PDF

Twitter may remove this content at anytime! Save it as PDF for later use!

Try unrolling a thread yourself!

how to unroll video
  1. Follow @ThreadReaderApp to mention us!

  2. From a Twitter thread mention us with a keyword "unroll"
@threadreaderapp unroll

Practice here first or read more on our help page!

More from @gdemaneuf

Dec 6, 2025
Worobey is working on a paper showing that the epicenter is a taberna close to the lab.
Holmes has a photo of a well-wined evening there, which he will turn into a paper too.

Places like that are clear zoonotic disasters in the making. Image
All [ASF] viruses currently circulating in the Member States belong to genetic groups 2-28 and not to the new genetic group 29 to which the virus causing the outbreak in the province of Barcelona belongs - very similar to genetic group 1 that circulated in Georgia in 2007.
mapa.gob.es/es/prensa/ulti…Image
Read 5 tweets
Nov 16, 2025
Good luck to the Daszak in suing EHA (through its board of directors) for a total of $4mln.

He is a debarred fraud, likely linked to one of the most destructive events of the last 100 years, who racked millions at EHA, and enjoyed the high life in its colonial revival villa in upstate NY, not far from his favourite ski fields.
But, wait, they were 'incredibly supportive of Peter'. They knew that 'Peter [was] a great scientist, a deeply honest man', etc.

Sure. And pigs fly. Image
Read 6 tweets
Nov 6, 2025
1/24 🚨 New insights into #COVID19Origins! 🔍 In this thread, I reveal previously unreported key aspects:

1️⃣ Direct connections between the CIA and virologist Ralph Baric in U.S.-China virology cooperation and monitoring. 🕵️‍♂️🇨🇳 @SenRandPaul

2️⃣ The complete ODNI BSEG composition as of Sep 2020—never published before.Image
2/24 Context:

The BSEG, est. 2006, is an advisory panel designed to assist U.S. intelligence on biological threats, incl. viruses and biosafety. 🦠

🔒 Meetings are classified and managed by the Office of the Director of National Intelligence. @thackerpd Image
3/24 BSEG stands for Biological Sciences Experts Group.

3️⃣ Additional context on early briefings, biosafety concerns, and international collaborations.

Let's explore! 👇
gillesdemaneuf.medium.com/the-odnis-b-gr…
Read 26 tweets
Sep 5, 2025
DRASTIC Working Notes:
Findings from EHA documents made public by Congress in December 2024.

1️⃣ How the folder was made public:
@RandPaul @thackerpd @SenJoniErnst @BillyBostickson
@RogerPielkeJr Image
2️⃣ The folder content: Image
3️⃣ Our quick summary: Image
Image
Read 6 tweets
Apr 7, 2025
@CD57227 @JanKlimkowski @Florin_Uncovers @DavRoeck @R_H_Ebright @emilyakopp @zeynep Your link does not work unfortunately. Can you give one that works?
Quite a few foundations there (Stiftungen).
@CD57227 @JanKlimkowski @Florin_Uncovers @DavRoeck @R_H_Ebright @emilyakopp @zeynep - Schweizerische Eidgenossenschat, Bundesamt für Kultur (BAK) (some funding if 10% is shot in Switzerland)
- Zürcher Filmstiftung
- Stiftung Volkart
- UBS Kulturstiftung
- Stiftung Corymbo
- Ernst Göhner Stiftung
@CD57227 @JanKlimkowski @Florin_Uncovers @DavRoeck @R_H_Ebright @emilyakopp @zeynep Zürcher Filmstiftung
CHF 60,000 to develop the project, on 16Mar 2021:
filmstiftung.ch/die-forderung/…Image
Read 6 tweets
Apr 6, 2025
You can't make that up..

"Blame" – when the only critical words about Shi Zhengli and Peter Daszak come from a Chinese journalist.💥

Jane Qiu visibly feels uncomfortable. It seems to her as if she is participating in propaganda, she says' Image
In contrast, Variety has a surrealist article:

"Oscar-nominated Swiss director Christian Frei began to experience a feeling that “those who warned us would eventually be the ones who are blamed.

This sentiment, which he calls an “epiphany,” is at the heart of “Blame”. Image
For the inside story, Frei contacted Daszak at end of 2020, to discuss a film project (initially called 'Host').

Shi Zhengli and Linfa Wang, as well as Quammen, were looped in Sep 2020. Image
Read 12 tweets

Did Thread Reader help you today?

Support us! We are indie developers!


This site is made by just two indie developers on a laptop doing marketing, support and development! Read more about the story.

Become a Premium Member ($3/month or $30/year) and get exclusive features!

Become Premium

Don't want to be a Premium member but still want to support us?

Make a small donation by buying us coffee ($5) or help with server cost ($10)

Donate via Paypal

Or Donate anonymously using crypto!

Ethereum

0xfe58350B80634f60Fa6Dc149a72b4DFbc17D341E copy

Bitcoin

3ATGMxNzCUFzxpMCHL5sWSt4DVtS8UqXpi copy

Thank you for your support!

Follow Us!

:(